Thẩm định dòng tiền là xem xét dòng tiền tính toán có phù hợp hay không. Khi thẩm định dòng tiền dự án, cần chú ý tới loại bỏ chi phí chìm ra khỏi dòng tiền và đưa chi phí cơ hội của dự án vào phân tích.
-Chi phí chìm: là chi phí đã xuất hiện từ trước mà không thể bù đắp cho dù dự án có được chấp nhận hay không. Ví dụ, doanh nghiệp thuê đoàn chuyên gia khảo sát địa chất một khu vực cho việc xây dựng nhà máy, nếu các điều kiện về địa chất không đủ, nhà máy sẽ không được xây dựng. Chi phí thuê đoàn chuyên gia đã phát sinh cho dù dự án có được thực hiện hay không.Vì thế, khi thẩm định cách tính tóan dòng tiền, cần kiểm tra và loại bỏ những chi phí chìm ra khỏi dòng tiền của dự án.
-Chi phí cơ hội: Trong một số trường hợp, dự án có thể sử dụng nguồn lực sẵn có nào đó của doanh nghiệp, mặc dù chi phí thực liên quan đến huy động nguồn lực này không phát sinh hoặc không phản ánh đúng giá trị của nguồn lực này đối với doanh nghiệp. Ví dụ: trong trường hợp dự án đưa vào sử dụng một tài sản cố định đã có sẵn từ trước của doanh nghiệp thì chi phí cơ hội là lợi ích mà các nguồn lực có thể mang lại cho doanh nghiệp nếu được đưa vào sử dụng trong một hoạt động, một dự án khác. Chi phí cơ hội cho thấy một dòng tiền có thể được tạo ra nếu dự án đang xem xét bị bác bỏ. Vì thế cần đưa chi phí cơ hội vào tính toán dòng tiền của dự án. Nhiều chủ đầu tư khi tính toán dòng tiền đã bỏ qua chi phí cơ hội. Khi thẩm định cho vay dự án, ngân hàng cần chú ý tới việc dự án có hay không chi phí cơ hội và nếu có thì có đưa vào tính toán hay không. Ngoài ra, trong trường hợp dự án đã tính đến chi phí cơ hội, cần kiểm tra căn cứ tính toán có hợp lý hay không.
Ngoài ra, một số doanh nghiệp khi tính toán dòng tiền thường không tính toán đến dòng tiền từ vốn lưu động ròng. Khi triển khai dự án, doanh nghiệp cần có một lượng vốn lưu động nhất định và lượng vốn này có thể được bổ sung hoặc thu hồi hàng năm, kết thúc dự án, lượng vốn lưu động này sẽ được thu hồi. Sự thay đổi lượng vốn lưu động hàng năm cũng cần được tính vào dòng tiền của dự án. Nếu dự án chưa tính toán, cần phải bổ sung dòng tiền từ vốn lưu động
ròng. Ngược lại, nếu dự án đã tính toán, cần kiểm tra căn cứ dự tính mức thay đổi vốn lưu động hàng năm.
Bên cạnh đó, các quan điểm khác nhau cũng ảnh hưởng đến việc tính toán dòng tiền dự án. Có hai quan điểm trong thẩm định cho vay dự án là quan điểm ngân hàng và quan điểm chủ đầu tư.
Theo quan điểm ngân hàng, mục đích là xác định được tính khả thi về mặt tài chính của dự án, nhu cầu cần vay vốn cũng như khả năng trả nợ gốc và lãi vay của dự án, theo đó việc trả nợ lãi và gốc vay không được tính vào dòng tiền của dự án. Ngân hàng phải quan tâm đến cách tính toán dòng tiền theo quan điểm này do cách tính này sẽ giúp ngân hàng đánh giá được mức độ an toàn của vốn cho vay.
Theo quan điểm chủ đầu tư, mục đích nhằm xem xét giá trị thu nhập ròng còn lại của dự án so với những gì chủ đầu tư có được trong trường hợp không thực hiện dự án. Vì thế, khi tính toán dòng tiền phải cộng vốn vay ngân hàng vào dòng tiền và trừ đi khoản trả lãi vay và nợ gốc. Nói cách khác, chủ đầu tư quan tâm đến dòng tiền ròng còn lại cho mình sau khi đã thanh toán nợ vay.
Khi thẩm định dòng tiền, cần kiểm tra quan điểm tính toán. Nếu dự án chỉ tính toán trên quan điểm chủ đầu tư, phải tính toán lại theo quan điểm ngân hàng và căn cứ kết quả theo quan điểm ngân hàng để đưa ra quyết định. Nếu dự án đã thực hiện việc tính toán trên cả hai quan điểm, cần kiểm tra căn cứ tính toán của từng quan điểm và nếu có sự mâu thuẫn giữa kết quả của hai quan điểm sẽ lựa chọn quan điểm ngân hàng.
- Thẩm định khả năng trả nợ của dự án
Có thể bạn quan tâm!
-
Giải pháp hoàn thiện công tác thẩm định cho vay dự án đầu tư tại ngân hàng thương mại cổ phần ngoại thương Việt Nam - 1 -
Giải pháp hoàn thiện công tác thẩm định cho vay dự án đầu tư tại ngân hàng thương mại cổ phần ngoại thương Việt Nam - 2 -
Thẩm Định Cho Vay Dự Án Đầu Tư Tại Ngân Hàng Thương Mại -
Các Nhân Tố Ảnh Hưởng Đến Hoàn Thiện Công Tác Thẩm Định Cho Vay Dự Án Đầu Tư Tại Ngân Hàng Thương Mại -
Một Số Bài Học Cho Các Ngân Hàng Thương Mại Việt Nam -
Cơ Cấu Tổ Chức Của Ngân Hàng Tmcp Ngoại Thương Việt Nam (Nguồn: [31])
Xem toàn bộ 130 trang tài liệu này.
Đối với ngân hàng, khả năng trả nợ gốc và lãi vay có vai trò quyết định trong việc có chấp nhận cho vay dự án hay không. Dự án chỉ có thể được phê duyệt khi đảm bảo khả năng trả nợ gốc và lãi vay. Nguồn trả nợ chủ yếu từ lợi nhuận sau thuế và khấu hao của dự án. Đối với những dự án vay vốn từ nhiều nguồn, cần kiểm tra trình tự trả nợ của dự án đối với các món vay, đánh giá khả năng trả nợ của dự án đối với món vay từ ngân hàng và từ các nguồn khác. Đối với lịch trình trả nợ mà dự án cung cấp, cần kiểm tra tính xác thực thông qua việc điều tra thực tế. Ngoài ra, cần xem xét tình hình hoạt động và khả năng tài
chính của khách hàng trong những năm gần đây để chắc chắn về khả năng thực

hiện dự án hiệu quả và khả năng trả nợ của chủ đầu tư.
Bước 5:Thẩm định lãi suất chiết khấu
Sau dòng tiền thì lãi suất chiết khấu là cơ sở quan trọng để tính toán các chỉ tiêu tài chính của dự án. Lãi suất chiết khấu là thành phần quan trọng trong phương pháp quy đổi gía trị các dòng tiền dự án trong tương lai về thời điểm hiện tại.
Khi nhà đầu tư vào một dự án tức là nhà đầu tư đã chấp nhận bỏ qua lợi tức kỳ vọng khi đầu tư vào một dự án khác trên thị trường. Ở đây, chúng ta đề cập đến chi phí cơ hội là thu nhập tốt nhất trong số các cơ hội đầu tư bỏ qua để thực hiện dự án. Nhà đầu tư chấp nhận một mức độ rủi ro nhất định để thực hiện dự án và sẽ đòi hỏi một mức lợi nhuận nhất định trong tương lai. Có thể nói lãi suất chiết khấu của một dự án là tỷ lệ sinh lời yêu cầu của nhà đầu tư đối với dự án. Vì vậy, cơ sở để tính toán lãi suất chiết khấu là phân tích rủi ro và khả năng sinh lời của dự án.
Ngoài ra, dự án được đầu tư khi tỷ lệ sinh lời yêu cầu tối thiểu bằng với chi phí vốn của dự án hay nói cách khác, lãi suất chiết khấu cũng được coi là chi phí vốn của dự án. Do vậy, việc xác định lãi suất chiết khấu cần phải căn cứ vào cơ cấu vốn của dự án.
Tùy theo quan điểm mà có các cách xác định lãi suất chiết khấu của dự án.
- Theo quan điểm chủ đầu tư:
Theo quan điểm chủ đầu tư, lãi suất chiết khấu của dự án là chi phí vốn chủ sở hữu được tính toán trên cơ sở mối quan hệ giữa rủi ro và lợi nhuận kỳ vọng theo mô hình định giá tài sản tài chính (CAPM – Capital Asset Pricing Model).
Theo CAPM, lãi suất chiết khấu được xác định như sau:
R=Rf + β(Rm – Rf)
Trong đó:
Rf : Lãi suất phi rủi ro (Thường được lấy lãi suất trái phiếu
chính phủ có thời hạn 5 năm)
Rm: Lãi suất kỳ vọng trên thị trường.
β : Hệ số mức độ rủi ro của dự án: Đo lường mức độ biến động giá trị mong đợi dự án của dự án so với giá trị thị trường của một dự án tương đương.
- Theo quan điểm ngân hàng (còn gọi là quan điểm tổng vốn đầu tư)
Theo quan điểm ngân hàng, lãi suất chiết khấu được tính bằng chi phí vốn
bình quân của dự án (WACC – Weighted Average Cost of Capital)
WACC = Rd(1 - T)Wd + RsWs
Trong đó:
Rd: Lãi suất nợ vay
Wd: Tỷ trọng nợ vay trên tổng vốn đầu tư
Rs: Chi phí vốn chủ sở hữu
Ws: Tỷ trọng của vốn chủ sở hữu trên tổng vốn đầu tư.
Thẩm định lãi suất chiết khấu là kiểm tra dự án sử dụng lãi suất chiết khấu có đúng không, có phù hợp theo từng quan điểm và căn cứ tính toán các chỉ tiêu thành phần hay không.
Bước 6: Tthẩm định hiệu quả tài chính của dự án
- Giá trị hiện tại ròng - (NPV)
NPV là chênh lệch giữa giá trị hiện tại của các dòng tiền dự tính trong
tương lai và giá trị đầu tư ban đầu. Công thức:
![]()
Trong đó:
t: Thời gian tính dòng tiền
n: tổng thời gian thực hiện dự án
i: lãi suất chiết khấu
CF0 : Giá trị đầu tư ban đầu
CFt : Dòng tiền ròng tại các năm t
NPV là một chỉ tiêu rất quan trọng và thường xuyên được sử dụng trong thẩm định cho vay dự án, nhằm mục đích xem xét giá trị hiện tại của các dòng tiền dự kiến thu được trong tương lai có đủ để bù đắp cho vốn đầu tư ban đầu hay không. Nếu NPV dương có nghĩa dự án tạo ra giá trị tăng thêm. NPV âm có
nghĩa dự án không đủ bù đắp vốn đầu tư, không có hiệu quả về mặt tài chính. Để tính toán được NPV cần phải biết được dòng tiền và lãi suất chiết khấu của dự án. Vì vậy, thẩm định về chỉ tiêu NPV chính là thẩm định về dòng tiền và lãi suất chiết khấu của dự án.
Tiêu chí NPV có ưu điểm là tính toán tới giá trị thời gian của tiền. Tuy nhiên, tiêu chí này cũng có những hạn chế nhất định. Đó là không thấy được lợi ích thu được từ một đồng vốn đầu tư, bị phụ thuộc vào cách lựa chọn lãi suất chiết khấu và không thể áp dụng để so sánh các dự án có vòng đời hay vốn đầu tư khác nhau. Vì vậy, cán bộ thẩm định có thể kết hợp với sử dụng các tiêu chí khác như: IRR, PP, PI… để so sánh và ra quyết định.
- Tỷ lệ hoàn vốn nội bộ (IRR)
IRR là lãi suất chiết khấu mà tại đó NPV bằng 0. IRR cho biết mức chi phí vốn tối đa của dự án là bao nhiêu để NPV không nhỏ hơn 0. IRR càng lớn so với lãi suất chiết khấu thì tính khả thi của dự án càng cao.
Có 2 phương pháp được sử dụng để tính toán IRR của dự án:
- Phương pháp nội suy tuyến tính: lựa chọn một lãi suất chiết khấu i bất kỳ, sử dụng lãi suất này để tính toán NPV của dự án. Nếu NPV = 0, đây chính là IRR của dự án. Nếu NPV>0, tiếp tục nâng mức lãi suất chiết khấu i lên và ngược lại cho đến khi đạt tới sự cân bằng tức NPV = 0, khi đó, lãi suất chiết khấu i chính là IRR của dự án. Phương pháp này có mức độ chính xác cao nhưng tốn nhiều thời gian tính toán.
- Phương pháp tính trực tiếp: Lựa chọn 2 lãi suất chiết khấu i1< i2 với i1 và i2 tính được NPV1 và NPV2 sao cho NPV1 > 0 và NPV2 <0, sau đó áp dụng công thức:
![]()
Phương pháp tỷ lệ hoàn vốn nội bộ đã khắc phục được nhược điểm yếu tố thời gian của phương pháp NPV. Khi sử dụng IRR, có thể so sánh các dự án có thời gian khác nhau. Tuy nhiên phương pháp IRR cũng có những hạn chế nhất định như không phản ánh được quy mô về gia tăng vốn cho các chủ đầu tư.
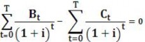
- Thời gian hoàn vốn (PP – Payback period)
Thời gian hoàn vốn là thời gian cần thiết để chủ đầu tư thu hồi được vốn đầu tư vào dự án hay là khoảng thời gian hoàn trả vốn đầu tư ban đầu từ dòng tiền dự án thu được vào mỗi năm:
![]()
Trong đó:
Bt : Khoản thu của dự án ở năm t Ct : Khoản chi của dự án ở năm t T: Thời gian hoàn vốn
Để áp dụng phương pháp này, dự án phải có thời gian thu hồi vốn tối đa có thể chấp nhận được. Dự án có thời gian hoàn vốn ngắn hơn thời gian thu hồi vốn tối đa có thể chấp nhận được sẽ được thực hiện và ngược lại. Khi thẩm định cho vay dự án sử dụng phương pháp này, sau khi xem xét dòng tiền các năm của dự án, cán bộ thẩm định cũng cần xem xét căn cứ xác định thời gian thu hồi vốn tối đa có thể chấp nhận được của dự án.
Phương pháp này có ưu điểm là tính toán đến yếu tố thời gian nhưng cũng có bất lợi. Tiêu chuẩn PP hoàn toàn bỏ qua giá trị thời gian của tiền. Vì vậy trong nhiều trường hợp, kết quả của phương pháp này mâu thuẫn với kết quả theo phương pháp NPV và IRR.
Để khắc phục nhược điểm này, phương pháp thời gian hoàn vốn có chiết
khấu (Discounted Payback - DPP) đã được đưa vào sử dụng:

Trong đó:
T : thời gian hoàn vốn có chiết khấu
Với phương pháp DPP, các dòng tiền trong tương lai sẽ được chiết khấu về
thời điểm hiện tại và so sánh.
PP và DPP đều là những chỉ tiêu có mức độ tin cậy cao vì khả năng dự báo dòng tiền ở những năm đầu tiên sẽ có độ chính xác cao hơn những năm sau. Tuy nhiên, cả PP và DPP đều có nhược điểm là bỏ qua những dòng tiền được tạo ra sau thời gian hoàn vốn và DPP cũng phụ thuộc nhiều vào việc lựa chọn lãi suất
chiết khấu. Vì thế, PP hay DPP chỉ là những chỉ tiêu bổ sung trong quá trình thẩm định cho vay dự án.
- Chỉ số doanh lợi (PI - Profit index)
Là chỉ số phản ánh khả năng sinh lợi của dự án được tính bằng công thức:
![]()
Trong đó:
PV: giá trị hiện tại của dòng tiền P: Vốn đầu tư ban đầu
PI cho biết một đồng vốn đầu tư bỏ ra sẽ tạo ra bao nhiêu đồng thu nhập.
Vì thế, PI càng cao thì dự án càng có tính khả thi, nhưng tối thiểu phải bằng 1.
PI đã khắc phục được nhược điểm của phương pháp NPV là so sánh những dự án có thời gian khác nhau hay vốn đầu tư khác nhau. Tuy nhiên, vì số tương đối nên PI không phản ánh được quy mô gia tăng giá trị cho chủ đầu tư như NPV. Nếu phải lựa chọn những dự án loại trừ nhau, có quy mô khác nhau thì sử dụng PI có thể đem lại kết quả không chính xác. Các dự án có quy mô nhỏ thường có PI cao hơn, nhưng nếu lựa chọn những dự án này sẽ bỏ qua những dự án có khả năng mang lại giá trị gia tăng lớn. Vì thế cán bộ thẩm định cho vay dự án thường sử dụng PI như một chỉ tiêu bổ sung trong quá trình thẩm định.
- Chỉ số lợi ích chi phí (B/C - Benefits cost)
Là chỉ số phản ánh khả năng sinh lời của chi phí bỏ ra của dự án, được tính toán bằng tỷ lệ giữa giá trị hiện tại của thu nhập và giá trị hiện tại của chi phí trong suốt dòng đời của dự án, được xác định theo công thức:
B/C = PV(B) (Hiện giá lợi ích)
PV(C) (Hiện giá chi phí)
hay:
B/C =
n
t 0
n
t 0
Bt
(1 r ) t
C t
(1 r ) t
Chỉ số B/C cho biết 1 đồng giá trị hiện tại chi phí bỏ ra thu được bao nhiêu đồng giá trị hiện tại doanh thu.
B/C >1: Thu nhập của dự án đủ để bù đắp chi phí bỏ ra. Dự án có khả năng sinh lời cao hay có hiệu quả tài chính.
B/C<1: Thu nhập của dự án không đủ để bù đắp chi phí bỏ ra. Dự án có
hiệu quả tài chính thấp.
Trong nhiều trường hợp, những dự án có quy mô nhỏ, do đó NPV nhỏ nhưng vẫn có B/C cao hơn những dự án có quy mô lớn và NPV lớn. Nếu chỉ sử dụng B/C để lựa chọn dự án trong những trường hợp này có thể dẫn đến sai lầm là bỏ qua những dự án có sự gia tăng giá trị lớn. Vì vậy, khi so sánh những dự án có quy mô khác nhau, chỉ tiêu B/C thường được sử dụng như một chỉ tiêu bổ sung để tham khảo. Nếu có sự mâu thuẫn giữa chỉ tiêu NPV và B/C, cần lựa chọn kết quả của chỉ tiêu NPV.
- Tỷ số khả năng trả nợ (DSCR - Debt Service Coverage Ratio)
Tỷ số khả năng trả nợ là tỷ số đánh giá năng lực trả nợ của dự án được
tính theo công thức:
DSCR = EBIT + Khấu hao
Nợ gốc + chi phí lãi vay
Trong đó:
EBIT (Earning Before interest and tax): lợi nhuận trước thuế và lãi vay DSCR cho biết dự án có bao nhiêu đồng vốn có thể sử dụng được để
chuẩn bị cho mỗi đồng trả nợ gốc và lãi vay hay khả năng dự án có thể cân đối được các khoản nợ gốc và lãi đến hạn hay không.
Dự án được đánh giá có khả năng trả nợ khi DSCR ≥ 1. Đây là một chỉ tiêu cần quan tâm và coi như là một trong các tiêu chuẩn để chấp nhận tài trợ hay không tài trợ đối với dự án.
Nói chung, các phương pháp nói trên đều có những hạn chế nhất định về độ tin cậy. Dự án thường được thực hiện trong thời gian dài, các tính toán đều dựa trên những dự báo về tương lai. Với điều kiện thị trường có nhiều biến động, các dự báo chỉ mang tính tương đối. Vì vậy, tái thẩm định trong suốt thời kỳ cho vay phải được thực hiện trường xuyên nhằm kịp thời đưa ra các đề xuất điều chỉnh phù hợp với biến động của thị trường.
Bước 7:Thẩm định rủi ro
Một dự án được triển khai trong một thời gian dài, việc thẩm định cho vay dự án thường dựa trên cơ sở là các giả định. Theo thời gian, các giả định này có thể sẽ xuất hiện sai lệch, làm cho các dự báo về dự án không còn chính xác, dễ xảy ra rủi ro.
Rủi ro được hiểu chung nhất là khả năng mà một sự kiện không có lợi nào đó xuất hiện, rủi ro dự án được quan niệm là tỷ lệ sinh lời thực tế thấp hơn tỷ lệ sinh lời dự kiến.
Vì vậy, trong thẩm định cho vay dự án, đánh giá rủi ro dự án đóng vai trò rất quan trọng. Để đánh giá rủi ro của dự án, có một số biện pháp sau đây:
- Phân tích độ nhạy
Trong quá trình thực hiện dự án, có rất nhiều nhân tố tác động tới dòng tiền của dự án. Khi một hay nhiều nhân tố thay đổi sẽ dẫn tới dòng tiền của dự án thay đổi và khi đó các chỉ tiêu phản ánh hiệu quả tài chính của dự án cũng sẽ thay đổi.
Phân tích độ nhạy của dự án là xem xét các chỉ tiêu hiệu quả tài chính thay
đổi như thế nào khi các nhân tố tác động thay đổi.
Trong phân tích độ nhạy, các chỉ tiêu tài chính được xem xét sẽ thay đổi như thế nào trong hai trường hợp khi một hay nhiều nhân tố tác động thay đổi ở các mức độ nào đấy.
Trường hợp một nhân tố thay đổi: Các chỉ tiêu tài chính sẽ được xem xét thay đổi như thế nào khi một nhân tố tác động thay đổi và các nhân tố khác giữ nguyên. Phân tích độ nhạy là đưa ra một hoặc nhiều mức biến động của nhân tố tác động và tại mỗi mức biến động sẽ tính toán lại các chỉ tiêu tài chính, sau đó so sánh với mức dự kiến ban đầu.
Trường hợp nhiều nhân tố thay đổi: Trên thực tế, thông thường sẽ không chỉ có một nhân tố tác động thay đổi mà có nhiều nhân tố cùng thay đổi. Vì vậy, việc xem xét sự tác động của nhiều nhân tố cùng một lúc tới các chỉ tiêu tài chính là cần thiết. Trong trường hợp này, phân tích độ nhạy cũng sẽ đưa ra các mức biến động của các nhân tố tác động và xem xét sự ảnh hưởng tổng hợp tới các chỉ tiêu tài chính.
Từ phân tích độ nhạy sẽ biết được nhân tố nào sẽ tác động mạnh nhất tới hiệu quả tài chính dự án. Từ đó cho phép lựa chọn các dự án vẫn có hiệu quả khi những nhân tố tác động biến động theo chiều hướng bất lợi - những dự án có mức độ rủi ro thấp. Phân tích độ nhạy chính là một cách dự báo định lượng mức độ tổn thất của dự án trước các rủi ro có thể xảy ra đối với dự án. Khi phân tích độ nhạy, cần xem xét việc lựa chọn nhân tố tác động và các mức thay đổi đã hợp lý hay chưa.
Tuy nhiên, phương pháp phân tích độ nhạy vẫn tồn tại:
-Với một số nhân tố như giá bán hay lượng hàng hóa tiêu thụ của dự án có ảnh hưởng rất lớn tới dòng tiền dự án nhưng trong nhiều trường hợp các nhân tố này đã được quy định, ghi rõ trong hợp đồng, rất khó thay đổi nên dự án có thể vẫn khá an toàn.
-Các nhân tố chỉ được xem xét biến động trong phạm vi nào đó và không được tính toán trên sự phân bố xác suất nên khó có thể lượng hóa được cơ bản các chỉ tiêu tài chính trong trường hợp xấu nhất và tốt nhất để so sánh với cơ sở.
- Phân tích tình huống
Phương pháp phân tích tình huống sẽ giúp khắc phục nhược điểm thứ hai của phương pháp phân tích độ nhạy. Trong phương pháp này, từng mức thay đổi của mỗi nhân tố tác động sẽ được gắn với một xác suất xảy ra. Và các chỉ tiêu tài chính của dự án sẽ được tính toán lại gắn với các xác suất này. Từ đó tính toán độ lệch chuẩn và độ biến thiên của dự án và so sánh với hệ số biến thiên của dự án trung bình để xác định mức độ rủi ro tương đối của dự án. Hệ số biến thiên càng lớn thì rủi ro của dự án cũng càng lớn. Phương pháp này có nhược điểm là việc tính toán các xác suất xảy ra trên thực tế khá khó khăn.
1.2. HOÀN THIỆN CÔNG TÁC THẨM ĐỊNH CHO VAY DỰ ÁN ĐẦU TƯ TẠI NGÂN HÀNG THƯƠNG MẠI
1.2.1. Quan niệm về hoàn thiện thẩm định cho vay dự án đầu tư tại Ngân hàng thương mại
Theo từ điển tiếng Việt phổ thông [50], "Hoàn thiện" là việc tác động để đối tượng nào đó trở nên tốt và đầy đủ đến mức không thể tác động thêm nữa.
"Đối tượng" được hoàn thiện rất đa dạng, có thể là những vật thể hữu hình như tác phẩm nghệ thuật, các sản phẩm do con người sản xuất ra… hoặc những thứ vô hình như: khả năng, kỹ năng của con người, tài sản vô hình, các dịch vụ tài chính, quy trình nghiệp vụ .v.v.
Thẩm định cho vay DAĐT tại NHTM là một quy trình nghiệp vụ, là một đối tượng vô hình được nghiên cứu để hoàn thiện hơn trong luận án này. Trong các công trình nghiên cứu trước đây, quan điểm về hoàn thiện các quy trình nghiệp vụ tuy không được trình bày trực tiếp nhưng cũng đã được các nhà nghiên cứu thể hiện ở một số nội dung như: giải pháp hoàn thiện, định hướng hoàn thiện, các tiêu chí đánh giá mức độ hoàn thiện. Đó là các tác giả:
- TS. Trần Thị Mai Hương (2007) trong “Hoàn thiện công tác thẩm định dự án đầu tư thuộc các tổng công ty xây dựng trong điều kiện phân cấp quản lý đầu tư hiện nay”
- Ths. Bùi Anh Tuấn (2011) trong “Hoàn thiện nội dung thẩm định dự án đầu tư tại Ngân hàng Công thương chi nhánh Ba Đình”
- TS. Nguyễn Đức Thắng (2007) trong “Nâng cao chất lượng thẩm định
dự án đầu tư tại Ngân hàng Đầu tư và Phát triển Việt Nam”
Các tác giả trên đã thể hiện quan điểm về hoàn thiện công tác thẩm định dự án đầu tư như sau:
- Hoàn thiện thẩm định dự án đầu tư là nâng cao nhận thức đối với công tác thẩm định dự án đầu tư cho các chủ thể tham gia
- Hoàn thiện thẩm định dự án đầu tư là hoàn thiện về mặt tổ chức thẩm định dự án đầu tư
- Hoàn thiện thẩm định dự án đầu tư là hoàn thiện về nội dung thẩm định
dự án đầu tư
- Hoàn thiện thẩm định dự án đầu tư là hoàn thiện về phương pháp thẩm định dự án đầu tư
NCS cho rằng, quan điểm về hoàn thiện thẩm định cho vay dự án đầu tư ngoài các vấn đề liên quan đến giải pháp hoàn thiện như trên, cần chú ý hơn đến vấn đề tiêu chí xác định mức độ hoàn của công tác thẩm định cho vay dự án đầu tư tại NHTM. Do đó, để giải quyết vấn đề hoàn thiện thẩm định cho vay dự án đầu tư tại NHTM, cần làm rõ 2 nội dung lớn sau:
- Tiêu chí đánh giá, nhận diện mức độ hoàn thiện công tác thẩm định cho vay DAĐT tại NHTM; bao gồm các chỉ tiêu định tính và định lượng. Ngoài ra, việc đánh giá còn phải dựa vào quan sát của nhà nghiên cứu về các ưu, nhược điểm; các mặt hạn chế, nguyên nhân tồn tại của công tác thẩm định cho vay DAĐT tại NHTM
- Các giải pháp hoàn thiện công tác thẩm định cho vay DAĐT tại NHTM được đề xuất để giải quyết những vấn đề còn tồn tại của công tác thẩm định cho vay DAĐT tại NHTM.
1.2.2. Các chỉ tiêu đánh giá mức độ hoàn thiện công tác thẩm định cho vay
dự án đầu tư tại ngân hàng thương mại.
Thẩm định DAĐT là một khâu trong quy trình tác nghiệp của nghiệp vụ cho vay DAĐT. Do đó, có thể sử dụng các chỉ tiêu đánh giá về nội dung, quy trình tác nghiệp thẩm định DA ĐT để đánh giá mức độ hoàn thiện. Ngoài ra, vì là khâu quan trọng nhất trong quy trình cho vay DA ĐT, ảnh hưởng trực tiếp đến chất lượng tín dụng của khoản vay trong tương lai nên có thể dùng một số chỉ tiêu về chất lượng tín dụng trung và dài hạn để đánh giá mức độ hoàn thiện như. Qua quá trình nghiên cứu, NCS đã khái quát lại các chỉ tiêu đánh giá mức độ hoàn thiện công tác thẩm định cho vay DAĐT tại NHTM như sau:
1.2.2.1. Các chỉ tiêu định lượng
a. Thời gian thẩm định cho vay DAĐT
Thời gian thẩm định cho vay DAĐT là khoảng thời gian được tính từ lúc khách hàng có yêu cầu vay vốn đến khi bộ phận thẩm định hoàn thành công việc thẩm định, hoàn thành báo cáo thẩm định và tiếp tục các bước tiếp theo.






![Cơ Cấu Tổ Chức Của Ngân Hàng Tmcp Ngoại Thương Việt Nam (Nguồn: [31])](https://tailieuthamkhao.com/uploads/2022/04/23/giai-phap-hoan-thien-cong-tac-tham-dinh-cho-vay-du-an-dau-tu-tai-ngan-hang-7-120x90.jpg)