Phương án 2: Đối tượng khảo sát tiếp xúc một mẫu tờ rơi duy nhất.
Toàn bộ mẫu khảo sát sẽ được chia làm 08 nhóm, mỗi nhóm tiếp xúc với duy nhất 01 mẫu tờ rơi. Đối tượng khảo sát được xem, đọc mẫu tờ rơi như với một mẫu quảng cáo in thông thường, sau đó mẫu tờ rơi được thu hồi và đối tượng được yêu cầu chỉ ra logo và tên thương hiệu mà họ nhận biết trong số 05 phương án đưa ra trên bảng hỏi.
Sử dụng phương pháp này sẽ có những lưu ý sau:
- Ưu điểm: Đối tượng khảo sát không bị ảnh hưởng bởi các mẫu đã được xem trước như tình huống 01 và người nghiên cứu có thể thu nhận được những phản ứng tự nhiên (ban đầu) của đối tượng được khảo sát.
- Hạn chế: Những khác biệt trong mức độ nhận biết thương hiệu của khách hàng có thể xuất phát từ những nguyên nhân chủ quan (đặc điểm tâm sinh lý của đối tượng), bên cạnh do tác động của mẫu tờ rơi.
Sau khi cân nhắc ưu điểm và nhược điểm của mỗi phương án, đồng thời đối chiếu với các các phương án khảo sát của Percy & Rossiter (1983) và Janiszewski & Meyvis (2001), phương án 2 được tác giả lựa chọn bởi sự phù hợp với mục tiêu mô hình nghiên cứu, cũng như điều kiện cho phép. Như vậy, các đối tượng được cho tiếp xúc với duy nhất 01 trong 08 phiên bản của biến kích thích (mẫu TĐQC), trong điều kiện tương tự nhau và được kiểm soát chặt chẽ, cụ thể:
- Không gian (bối cảnh) tiến hành khảo sát là lớp học độc lập trong trường đại học;
- Lần lượt từng mặt hình ảnh tờ rơi được chiếu trên màn hình tại lớp học, trong khoảng 2-3 phút cho cả nhóm khảo sát có thể xem và đọc;
- Phiếu trả lời để xác định logo, tên thương hiệu được phát cùng một thời điểm cho từng đối tượng sau khi tắt màn hình, và được thu hồi cùng một lúc sau khi các đối tượng đã hoàn thành việc trả lời (xác định logo và tên thương hiệu).
- Thời gian xem lần lượt từng mặt và thời gian thu lại bảng xác định logo & tên thương hiệu giữa 08 nhóm khảo sát là như nhau.
3.5. Chọn mẫu và triển khai thu thập dữ liệu
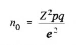
Để dữ liệu thu thập được bằng phương pháp định lượng đảm bảo độ tin cậy khách quan, mẫu điều tra cần mang tính đại diện và phản ánh được chính xác tham số của tổng thể. Có rất nhiều phương pháp chọn mẫu điều tra. Kích thước mẫu điều tra được chọn sẽ phụ thuộc vào quy mô tổng thể và đặc điểm của biến mà chúng ta định ước lượng. Một công thức tính cỡ mẫu thông dụng trong trường hợp tổng thể có quy
mô lớn (như trường hợp nghiên cứu này) là các tác giả Oyeyemi, Adewara và Adeyemi (2010).

(3.1)
Trong đó:
- n: kích thước mẫu
- e: ngưỡng sai số chấp nhận (thông thường là 0.05)
- p: % của tổng thể có mang đặc tính (thường đặt là 0.5)
- q: 1-p
- Z: giá trị tương ứng với ngưỡng sai số chấp nhận (1.96)
Như vậy, một mẫu điều tra gồm tối thiểu 384 quan sát sẽ đảm bảo độ tin cậy. Khách hàng của NHTM bao gồm những cá nhân và tổ chức có nhu cầu về dịch vụ và có giao dịch với các NHTM. Số lượng khách hàng có nhu cầu giao dịch ở Việt Nam là rất lớn, ở nhiều tỉnh thành trong cả nước. Tuy nhiên do tính đặc thù của nghiên cứu thực nghiệm và hạn chế về kinh phí nên tác giả chọn khảo sát trên đối tượng sinh viên đang theo học ở các trường đại học tại Hà Nội. Hiện nay, đây là nhóm khách hàng được nhiều ngân hàng hướng tới do tiềm năng phát triển. Những ý kiến của họ sẽ là thông tin có giá trị đối với nghiên cứu của tác giả.
Bảng 3.6. Đối tượng khảo sát nghiên cứu
TÊN NHÓM | ĐẶC ĐIỂM ĐỐI TƯỢNG MẪU | THÀNH PHẦN | TỔNG | |
1 | Sinh viên 1 | Sinh viên đang học tại trường đại học Kinh tế Quốc dân | Sinh viên năm thứ 3 và thứ 4 | 436 |
2 | Sinh viên 2 | Sinh viên đang học tại trường đại học khác trên địa bàn Hà Nội | Sinh viên năm thứ 3 và thứ 4 | 290 |
TỔNG SỐ | 686 |
Có thể bạn quan tâm!
-
Hoạt Động Quảng Cáo Của Các Ngân Hàng Thương Mại Ở Việt Nam. -
Vai Trò Của Logo Và Tên Thương Hiệu Trong Quảng Cáo Của Các Nhtm Ở Việt Nam -
Tổng Hợp Ý Kiến Chuyên Gia Và Cá Nhân Về Thiết Kế Bảng Xác Định Logo Và Tên Thương Hiệu -
Giả Thuyết H4 Ảnh Hưởng Của Kết Hợp Điều Chỉnh Lặp Lại Và Sử Dụng Mầu Sắc -
Những Đóng Góp Mới Về Học Thuật Của Nghiên Cứu -
Hạn Chế Và Hướng Nghiên Cứu Trong Tương Lai
Xem toàn bộ 104 trang tài liệu này.

Nguồn: thiết kế nghiên cứu của tác giả
Phương pháp khảo sát thực nghiệm đòi hỏi nhà nghiên cứu kiểm soát chặt chẽ sự tương đồng của các đối tượng khảo sát. Trên thực tế, mẫu nghiên cứu mà tác giả lựa chọn có một số đặc điểm như sau:
- Các đối tượng khảo sát trong thời gian thực nghiệm không bị ảnh hưởng bởi các yếu tố bên ngoài: không gian (bối cảnh) khảo sát được hiện trong một lớp học tại các trường đại học ở Hà Nội;
- Đều là sinh viên đang theo học tại các trường đại học ngành kinh tế tại Hà Nội;
- Cơ cấu trong các nhóm tuổi không quá chênh lệch do đều là sinh viên năm thứ 3 và năm thứ 4, với độ tuổi 18-22. Bên cạnh đó cũng có một số ít đối tượng trên 23 tuổi (chiếm 9%);
- Tỷ lệ giới tính ở các nhóm không quá chênh lệch, nam chiếm 40-45% và nữ chiếm 55-60%;
- Số lượng các đơn vị mẫu các nhóm: nhóm sinh viên năm thứ ba bao gồm 250 phần tử (chiếm 36%), nhóm sinh viên năm thứ 4 bao gồm 436 phần tử (chiếm 64%).
3.6. Phương pháp phân tích dữ liệu
Kiểm định Chi-Square
Theo Carlos F.Daganzo (2005), kiểm định Chi-Square sử dụng trong kiểm định mối liên hệ giữa các biến định danh hoặc định danh thứ bậc. Phép kiểm định giúp xác định có tồn tại hay không mối liên hệ giữa hai biến trong tổng thể. Trong SPSS, P- Value chính là giá trị Sig. Trong bảng kết quả kiểm định, α là khả năng sai lầm cho phép trong kiểm định tức là khả năng bác bỏ giả thuyết (H0) mặc dù thực tế H0 đúng. Nếu α =5% thì kiểm định chấp nhận khả năng sai lầm tối đa là 5%, từ đó độ tin cậy phép kiểm định (1- α) =95%.
H0 : 02 yếu tố độc lập
H1 : 02 yếu tố không độc lập (phụ thuộc)
Trong nghiên cứu của này, biến phụ thuộc nhận một trong hai giá trị, Đúng hoặc Sai, tương ứng với việc người trả lời xác định chính xác hay không logo và tên thương hiệu ngân hàng sau khi xem thông điệp quảng cáo.
Dựa trên những lập luận các nghiên cứu trước của Rossiter & Percy (1978; 1980) tác giả dùng hàm Chi-Square để xác định có hay không tác động của các biến độc lập (8 mẫu thông điệp quảng cáo) đến nhận biết thương hiệu của người tiêu dùng (Đúng
hoặc Sai), dùng hàm hồi quy logictics nhị phân (Binary logistic) để xác định chiều hướng và mức độ tác động.
Phân tích tác động bằng mô hình hồi quy Binary Logistics
Phân tích hồi quy logistic là một kỹ thuật phân tích mối quan hệ giữa biến độc lập (trường hợp biến định lượng hoặc biến định tính) với biến phụ thuộc là biến nhị phân.
Y=α + βx (3.2)
Trong hồi quy logistic xét quan hệ phụ thuộc Y chỉ có hai trạng thái là 0 và 1, muốn đổi thành biến số liên tục có thể tính xác xuất của hai trạng thái này. Gọi P là xác xuất của một biến số xảy ra, thì 1-p là xác xuất của biến số không xảy ra. Phương trình hồi quy logistic xác định:
![]()
Log ( =α + βx (3.3) Từ phương trình trên có thể tính xác xuất Odd Ratio (OR)
![]()
= α+βx
P= =Ln (βx+ βx)
Do đó (OR)= Log ( =e β1 + β2x => Log ( = β1 + β2x Log ( = α+ β (X tăng 1 đơn vị, OR tăng 100 β2%)
TÓM TẮT VÀ KẾT LUẬN CHƯƠNG 3
Chương 3 tập trung trình bày bối cảnh nghiên cứu, quy trình nghiên cứu bao gồm thiết kế nghiên cứu, thao tác các biến độc lập và phụ thuộc. Trước hết, tác giả giới thiệu bối cảnh lựa chọn cho nghiên cứu là quảng cáo tờ rơi giả định quảng cáo dịch vụ của các NHTM Việt Nam. Để tiến hành khảo sát, trên cơ sở mô hình nghiên cứu của luận án, tác giả đã thao tác các biến độc lập và phụ thuộc như sau:
(1) Biến độc lập (nhân tố tác động): bao gồm 08 mẫu tờ rơi quảng cáo một dịch vụ NHTM, tương ứng với 08 biến thể (thay đổi về số lần xuất hiện logo và tên thương hiệu trên tờ rơi, kích thước và mầu sắc logo và tên thương hiệu). Quá trình thiết kế được thực hiện qua 03 bước, gồm có thiết kế sơ bộ, tham vấn ý kiến chuyên gia, đại diện người tiêu dùng (đối tượng sử dụng dịch vụ NHTM), chuẩn hóa thiết kế.
(2) Biến phụ thuộc: nhận biết thương hiệu: để xây dựng biến phụ thuộc, tác giả đã tiến hành thiết kế bảng xác định logo & tên thương hiệu. Trong đó, 05 mẫu logo và tên thương hiệu được lựa chọn. Quá trình thiết kế thực hiện qua 03 bước, gồm có thiết kế sơ bộ, tham vấn ý kiến các chuyên gia, chuẩn hóa thiết kế. Cùng với việc thiết kế bảng xác định logo & tên thương hiệu, tác giả xây dựng bảng hỏi chính thức để đo lường trực tiếp nhận biết thương hiệu của người tiêu dùng.
Tác giả tiến hành lựa chọn phương án tiếp xúc tờ rơi quảng cáo, trong đó có tham khảo 02 phương án của Percy & Rossiter (1983), Janiszewski & Meyvis (2001), những nghiên cứu thực nghiệm có đặc điểm phù hợp với nghiên cứu khảo sát của luận án. Sau khi phân tích, tác giả lựa chọn phương án đối tượng khảo sát (mỗi nhóm) tiếp xúc một mẫu tờ rơi duy nhất, và bối cảnh được lựa chọn để khảo sát là lớp học độc lập. Việc chọn mẫu được thực hiện theo phương pháp chọn mẫu của Cochran (1977), các đối tượng được lựa chọn khảo sát là sinh viên (năm thứ ba và thứ tư) đang theo học ngành kinh tế tại các trường đại học ở Hà Nội có những đặc điểm tương đối tương đồng. Cuối cùng, tác giả trình bày phương pháp phân tích dữ liệu thông qua kiểm định Chi-Square của Carlos F.Daganzo (2005) để kiểm tra mối liên hệ giữa các biến và phân tích hồi quy logistic đối với biến phụ thuộc là biến nhị phân.
CHƯƠNG 4
KẾT QUẢ NGHIÊN CỨU
4.1 Một số thống kê mô tả về nghiên cứu thực nghiệm
4.1.1 Thống kê số người tham gia khảo sát theo đặc điểm cá nhân
Tác giả đã tiến hành nghiên cứu chính thức với các đối tượng là sinh viên năm thứ 3 và thứ 4 đang theo học ngành kinh tế tại các trường đại học trên địa bàn thành phố Hà Nội. Tổng số lượt sinh viên tham gia thực nghiệm là 800, nghiên cứu thu về được 700 phiếu trả lời, trong đó có 14 phiếu không tiêu chuẩn, như không đủ thông tin, trả lời không đúng theo yêu cầu. Như vậy số lượng phiếu thực tế sử dụng để phân tích là 686, đáp ứng yêu cầu về kích thước mẫu.
Đối tượng tham gia khảo sát gồm 8 nhóm có quy mô từ 81 đến 97 sinh viên, tương ứng với 08 phiên bản tờ rơi quảng cáo (Bảng 4.1). Phần lớn cá nhân nằm trong độ tuổi từ 18-22, là sinh viên đang theo học ngành kinh tế tại các trường đại học tại Hà Nội. Một số ít có độ tuổi lớn hơn 23 cũng đang theo học tại các trường đại học khối kinh tế tại Hà Nội. Do đặc điểm cơ cấu giới tính của sinh viên các trường đại học trong khối ngành này, nữ giới trong mẫu nghiên cứu chiếm tỉ lệ tương đối cao hơn so với nam giới (59%/41%), (Bảng 4.2).
Bảng 4.1. Phân bổ số người tham gia khảo sát theo loại tờ rơi
Số lượng | Tỷ lệ (%) | ||||
Mẫu tờ rơi | Kích thước | Lặp lại | |||
Có mầu | A | Đầy đủ (100%) | 01 lần | 81 | 11.8 |
B | Nhỏ (50%) | 01 lần | 97 | 14.1 | |
C | Đầy đủ (100%) | 02 lần | 81 | 11.8 | |
D | Nhỏ (50%) | 02 lần | 85 | 12.4 | |
Đen trắng | A1 | Đầy đủ (100%) | 01 lần | 83 | 12.1 |
B1 | Nhỏ (50%) | 01 lần | 87 | 12.7 | |
C1 | Đầy đủ (100%) | 02 lần | 89 | 13.0 | |
D1 | Nhỏ (50%) | 02 lần | 83 | 12.1 | |
Tổng cộng | 686 | 100 | |||
Nguồn: Kết quả phân tích dữ liệu khảo sát của tác giả
Bảng 4.2. Phân bổ đối tượng khảo sát theo độ tuổi và giới tính
Giới tính | Tổng cộng | ||
Nam | Nữ | ||
18 đến 22 | 255 | 368 | 623 |
23 đến 40 | 28 | 35 | 63 |
Tổng | 283 | 403 | 686 |
Nguồn: Kết quả phân tích dữ liệu khảo sát của tác giả
Tỷ lệ phân bổ đối tượng khảo sát theo giới tính
41%
Nam
Nữ
59%
Biểu đồ 4.1. Phân bổ theo giới tính
Nguồn: Kết quả phân tích dữ liệu khảo sát của tác giả
Bảng 4.3. Phân bổ các nhóm đối tượng khảo sát theo giới tính/loại tờ rơi
Tỷ lệ nam & nữ | ||||||||
Mẫu tờ rơi | Kích thước | Lặp lại | Tổng | Nam | Tỷ lệ (%) | Nữ | Tỷ lệ (%) | |
Có mầu | A | Đầy đủ (100%) | 01 lần | 81 | 29 | 36 | 52 | 64 |
B | Nhỏ (50%) | 01 lần | 97 | 47 | 48 | 50 | 52 | |
C | Đầy đủ (100%) | 02 lần | 81 | 24 | 30 | 57 | 70 | |
D | Nhỏ (50%) | 02 lần | 85 | 32 | 38 | 53 | 62 | |
Đen trắng | A1 | Đầy đủ (100%) | 01 lần | 83 | 32 | 39 | 51 | 31 |
B1 | Nhỏ (50%) | 01 lần | 87 | 38 | 44 | 49 | 56 | |
C1 | Đầy đủ (100%) | 02 lần | 89 | 38 | 43 | 51 | 57 | |
D1 | Nhỏ (50%) | 02 lần | 83 | 43 | 52 | 40 | 48 | |
Tổng | 686 | 283 | 41 | 403 | 59 | |||
Việc triển khai thu thập dữ liệu theo các lớp học giúp tác giả có thể kiểm soát và giảm thiểu được nhiễu, đảm bảo tính tập trung, độc lập, yên tĩnh, tính tương đồng về trình độ… Tuy nhiên tỷ lệ nam và nữ phụ thuộc vào thực tế của từng lớp học. Thực tế khảo sát tỷ lệ chênh lệch trung bình ở các nhóm là (41% nam) và (59% nữ).
4.1.2 Tỷ lệ nhận biết đúng sai tên thương hiệu và logo sau khi xem quảng cáo
Bảng 4.4. Nhận biết đúng, sai tên thương hiệu và logo sau khi xem quảng cáo
Đúng | Tỷ lệ % | Sai | Tỷ lệ % |
370/686 | 53 | 316/686 | 41.6 |
Nhận biết logo | |||
Đúng | Tỷ lệ % | Sai | Tỷ lệ % |
222/686 | 32.4 | 464/686 | 67.6 |
Nguồn: Kết quả phân tích dữ liệu khảo sát của tác giả
Thống kê cho thấy tỷ lệ nhận biết đúng, sai thương hiệu thông qua tên thương hiệu và logo có sự khác biệt đáng kể, cụ thể: nhận biết đúng qua tên thương hiệu là 370/686 (tỷ lệ 53%) và nhận biết sai là 316/686 (tỷ lệ 41.6%). Trong khi nhận biết đúng qua logo là 222/686 (tỷ lệ 32.4%) và nhận biết sai logo là 464/686 (tỷ lệ 67.6%). Có thể thấy, logo là yếu tố dễ bị nhầm lẫn hơn, khó nhận biết và ghi nhớ hơn so với tên thương hiệu. Đây có thể là một phát hiện rất đáng lưu ý đối với các nhà làm quảng cáo.
4.1.3 Thống kê nhận biết đúng sai theo mẫu tờ rơi
Loại tờ rơi | Mô tả | Đúng | Sai | Tổng | Tỷ lệ % đúng | Tỷ lệ % sai |
A | Có mầu, KT 100%, không lặp lại (01 lần) | 42 | 39 | 81 | 52 | 48 |
B | Có mầu, KT 50%, không lặp lại (01 lần) | 44 | 53 | 97 | 45 | 55 |
C | Có mầu, KT 100%, lặp lại (02 lần) | 55 | 26 | 81 | 68 | 32 |
D | Có mầu, KT 50%, lặp lại (02 lần) | 37 | 48 | 85 | 44 | 56 |
A1 | Đen trắng, KT 100%, không lặp lại (01 lần) | 32 | 51 | 83 | 39 | 61 |
B1 | Đen trắng, KT 50%, không lặp lại (01 lần) | 26 | 61 | 87 | 30 | 70 |
C1 | Đen trắng, KT 100%, lặp lại (02 lần) | 48 | 41 | 89 | 54 | 46 |
D1 | Đen trắng, KT 50%, lặp lại (02 lần) | 32 | 51 | 83 | 39 | 61 |
Bảng 4.5. Thống kê nhận biết đúng sai theo mẫu tờ rơi
Nguồn: Kết quả phân tích dữ liệu khảo sát của tác giả Bảng thống kê trên cho thấy nhận biết đúng/sai của người tiêu dùng có sự khác
biệt đáng kể theo các mẫu tờ rơi. Cụ thể, người tiêu dùng có khả năng nhận biết đúng
đạt 55/81 (chiếm 68%) đối với mẫu tờ rơi C (có mầu, kích thước 100%, logo và tên thương hiệu xuất hiện 02 lần trong một TĐQC). Ngược lại nhận biết đúng chỉ đạt 26/87 (chiếm 30%) đối với mẫu tờ rơi B1 (đen trắng, kích thước 50%, logo và tên thương hiệu xuất hiện 1 lần trong một TĐQC). Có thể thấy tờ rơi mẫu B1 dễ bị nhầm lẫn so với tờ rơ mẫu C. Đây cũng là một phát hiện có ý nghĩa đối với các nhà làm quảng cáo.
4.2 Kiểm định các giả thuyết về ảnh hưởng của việc điều chỉnh logo và tên thương hiệu
4.2.1 Giả thuyết H1 về ảnh hưởng của mầu sắc
Nhận biết | Đúng | Sai | Tổng | Tỷ lệ % đúng | Tỷ lệ % sai | Pearson- Chi- square | Asymp.Sig .(2-Sided) | |
Nhận biết tên thương hiệu | Đen trắng | 138 | 204 | 342 | 40 | 60 | 8.960a | 0,003 |
Mầu | 178 | 166 | 344 | 53 | 47 | |||
Nhận biết logo | Đen trắng | 83 | 259 | 342 | 24 | 76 | 20,405a | 0,000 |
Mầu | 139 | 205 | 344 | 40 | 60 | |||
Bảng 4.6. Kiểm định Chi-Square so sánh hai trường hợp tờ rơi đen trắng và màu
Nguồn: Kết quả phân tích dữ liệu khảo sát của tác giả Khi chuyển từ đen trắng sang có màu, tỉ lệ nhận biết đúng thương hiệu thông qua
logo và tên thương hiệu tăng lên rõ rệt, và ngược lại tỉ lệ nhận biết sai giảm đi đáng kể. Kiểm định Chi-square có ý nghĩa thống kê mức sig.<0.05
Đối với biến “nhận biết tên thương hiệu”, giá trị Chi-Square = 8.960a (sig= 0,003), đối với biến “nhận biết logo” giá trị Chi-Square = 20,405a (sig= 0,000). Do vậy có thể kết luận rằng, mầu sắc có ảnh hưởng đến nhận biết thương hiệu của người tiêu dùng, giả thuyết H1 được ủng hộ. Bên cạnh đó có thể nhận thấy ảnh hưởng của mầu sắc đến nhận biết thương hiệu qua logo rõ rệt hơn so với nhận biết qua tên thương hiệu.
4.2.2 Giả thuyết H2 về ảnh hưởng của lặp lại
Nhận biết | Đúng | Sai | Tổng | Tỷ lệ % đúng | Tỷ lệ % sai | Pearson- Chi- square | Asymp.Sig .(2-Sided) | |
Nhận biết tên TH | Không lặp lại(tên thương hiệu xuất hiện 01 lần) | 144 | 204 | 348 | 41 | 59 | 6,239a | 0,001 |
Lặp lại (tên thương hiệu xuất hiện 02 lần) | 172 | 166 | 338 | 51 | 49 | |||
Nhận biết logo | Không lặp lại (logo thương hiệu xuất hiện 01 lần) | 92 | 256 | 348 | 26 | 74 | 11,327a | 0,001 |
Lặp lại (logo thương hiệu xuất hiện 02 lần) | 130 | 208 | 338 | 38 | 62 | |||
Bảng 4.7. Kiểm định Chi-Square so sánh hai trường hợp tờ rơi lặp lại/không lặp lại
Nguồn: Kết quả phân tích dữ liệu khảo sát của tác giả Kết quả khảo sát ảnh hưởng của lặp lại đến nhận biết thương hiệu cho thấy khi
lặp lại (logo và tên thương hiệu xuất hiện 02 lần), số đối tượng nhận biết đúng thương hiệu qua tên thương hiệu là 172/338 (chiếm 51%, trong khi với mẫu không lặp lại chỉ có 41% nhận biết đúng). Tương tự như vậy với nhận biết logo, tỉ lệ đúng tăng 26% (mẫu không lặp lại) lên 38% (mẫu có lặp lại).
Như vậy có thể thấy việc lặp lại logo và tên thương hiệu làm tăng rõ rệt nhận biết đúng và làm giảm rõ rệt nhận biết sai đối với cả logo và tên thương hiệu.
Đối với biến “nhận biết qua tên thương hiệu”, giá trị Chi-Square = 6,239a (sig= 0,001), đối với biến “nhận biết qua logo” giá trị Chi-Square = 11,327a (sig= 0,001). Do vậy có thể kết luận rằng, lặp lại có ảnh hưởng đến nhận biết thương hiệu của người tiêu
dùng. Giả thuyết H2 được ủng hộ, đồng thời, ảnh hưởng của lặp lại đến nhận biết thương hiệu qua logo bộc lộ rõ rệt hơn so với nhận biết qua tên thương hiệu.
4.2.3 Giả thuyết H3 về ảnh hưởng của kích thước
Nhận biết | Đúng | Sai | Tổng | Tỷ lệ % đúng | Tỷ lệ % sai | Pearson- Chi- square | Asymp.Sig .(2-Sided) | |
Nhận biết tên thương hiệu | Đầy đủ (100%) | 177 | 157 | 334 | 53 | 47 | 12,582a | 0,000 |
Nhỏ (50%) | 139 | 213 | 352 | 39 | 61 | |||
Nhận biết logo | Đầy đủ (100%) | 140 | 194 | 334 | 42 | 58 | 27,148a | 0,000 |
Nhỏ (50%) | 82 | 270 | 352 | 23 | 77 | |||
Bảng 4.8. Kiểm định Chi-Square so sánh hai trường hợp tờ rơi kích thước đầy đủ và nhỏ
Nguồn: Kết quả phân tích dữ liệu khảo sát của tác giả Kết quả phân tích cho thấy rõ ràng việc thu nhỏ kích thước từ 100% xuống 50%
khiến tỉ lệ nhận biết sai tăng lên rõ rệt, đặc biệt với nhận biết logo.
Đối với biến “nhận biết qua tên thương hiệu”, giá trị Chi-Square = 12,582a (sig= 0,000), đối với biến “nhận biết qua logo” giá trị Chi-Square = 27,148a (sig= 0,000). Do vậy có thể kết luận rằng, kích thước có ảnh hưởng mạnh đến nhận biết thương hiệu của người tiêu dùng, giả thuyết H3 được ủng hộ. Một lần nữa, có thể thấy ảnh hưởng của điều chỉnh kích thước đến nhận biết thương hiệu qua logo là cao hơn so với nhận biết qua tên thương hiệu.
Kết quả kiểm định các giả thuyết H1, H2 và H3 cho thấy ảnh hưởng của mầu sắc, lặp lại và kích thước luôn bộc lộ rõ rệt đối với nhận biết logo hơn là đến nhận biết tên thương hiệu.






