nhiều ngành công nghiệp khác bởi vì cả người sản xuất và người tiêu dùng đều tập trung vào đặc điểm dịch vụ cá nhân trong du lịch. Yếu tố đầu vào lao động vẫn giữ ở mức cao tại những nơi mà đặc điểm trên được cho là quan trọng (như đại lý du lịch, dịch vụ trên máy bay, nhà hàng hoặc các công ty lữ hành). Vì vậy, thậm chí trong một nền kinh tế có tiền công cao sẽ vẫn còn các doanh nghiệp du lịch cần nhiều lao động (ví dụ, khách sạn Ritz ở Paris hoặc các dịch vụ đặc biệt cho du lịch công vụ của hãng American Express). Khi khách hàng tiêu dùng du lịch mong muốn các dịch vụ có tính chất cá nhân này thì họ thường sẵn sàng trả tiền cho các đặc điểm đó. Như vậy, việc làm trực tiếp và sự phân bổ thu nhập cho tiền công vẫn giữ ở mức cao.
1.2.2.3. Vai trò trực tiếp của du lịch
Trong các phạm vi trên, du lịch có tác động quan trọng đối với nền kinh tế của nhiều quốc gia. Thứ nhất, nó là một ngành phát triển gần đây và vẫn đang tiếp tục phát triển ở nhiều quốc gia. Hiện nay, hầu hết các nước đều xác định du lịch là một ngành "sản xuất" riêng biệt trong nền kinh tế của mình, mà trước đây điều này là không bình thường. Thứ hai, do du lịch có thể có nhiều dạng khác nhau từ "tây ba lô" thích tiếp xúc với người bản địa đến các khu nghỉ dưỡng cao cấp biệt lập, nên nền kinh tế có thể chỉ cần một số thay đổi không đáng kể về cơ cấu phân bố lại các nguồn lực trong du lịch. Đặc điểm này đã khiến chính phủ các quốc gia đẩy mạnh việc tìm kiếm nhiều cơ hội phát triển du lịch. Thứ ba, du lịch có thể phát triển ở những địa điểm đặc biệt với nguồn tài nguyên ít có khả năng lựa chọn kinh tế trong việc sử dụng (có các chi phí cơ hội thấp) như những nơi có phong cảnh đẹp mà lại không có tài nguyên khoáng sản hoặc có giá trị nông nghiệp thấp. Điều đó cho phép sử dụng (hoặc thuê) trực tiếp đất đai như một nhân tố sản xuất ở mức chi phí cận biên thấp.
a. Vai trò trực tiếp của du lịch nội địa
Trong phạm vi một nền kinh tế, chi tiêu du lịch nội địa thường tính là một phần của C + I và về nguyên tắc là sự phân phối lại các chi tiêu
của người tiêu dùng hoặc người sản xuất từ những hàng hóa, dịch vụ khác. Do đó, nó không tạo ra sự tăng thêm về cầu và tiền tệ trong nền kinh tế. Hiệu quả phân phối lại sẽ tuỳ thuộc vào sự trả lời các câu hỏi sau đây:
- Có cơ hội nào khác để sử dụng khoản tiền dành chi tiêu cho du lịch? Điều đó có nghĩa là du khách làm gì với khoản tiền của mình nếu họ không thực hiện các chuyến du lịch?
- Các du khách có "trải rộng" các chi tiêu của họ theo không gian (theo khu vực)?
Có thể bạn quan tâm!
-
Đặc Điểm Và Các Bộ Phận Cấu Thành Của Ngành Du Lịch -
Sự Đóng Góp Của Du Lịch Trong Tổng Sản Phẩm Trong Nước -
Sự Tương Tác Giữa Phát Triển Du Lịch Và Nền Kinh Tế Quốc Dân -
Vai Trò Và Chính Sách Kinh Tế Của Chính Phủ Trong Phát Triển Du Lịch -
Các Chính Sách Kinh Tế Của Chính Phủ Đối Với Sự Phát Triển Du Lịch -
Các Hình Thức Chi Tiêu Của Chính Phủ Nhằm Phát Triển Du Lịch
Xem toàn bộ 188 trang tài liệu này.
- Các điểm đến du lịch nói chung có thu nhập và việc làm ít hơn (hoặc kém hơn) nơi xuất phát của du khách?
- Các chuyến đi có "xui khiến" du khách quay trở lại thường xuyên?

Câu hỏi thứ nhất cung cấp chìa khoá để đánh giá vai trò của du lịch nội địa ở một số khía cạnh quan trọng. Thứ nhất, nếu du lịch nội địa là sự lựa chọn thay thế cho chi tiêu du lịch nước ngoài thì chi tiêu cho du lịch nội địa sẽ là một dạng của thay thế nhập khẩu, làm giảm sự rò rỉ của M và thực sự tăng C + I. Điều đó có lợi trực tiếp cho thu nhập quốc dân. Sự thực cũng sẽ như vậy nếu thay thế một chuyến du lịch nội địa bằng việc chi tiêu cho các hàng hoá nhập khẩu. Thứ hai, nếu không chi tiêu cho du lịch, mọi người có thể mua các hàng hoá và dịch vụ tại địa phương (ví dụ cải tạo nhà cửa và giải trí), khi đó thu nhập và của cải sẽ có xu hướng vẫn tập trung tại các khu vực đó - khu vực nguồn khách.
Trả lời cho các câu hỏi thứ hai và thứ ba sẽ làm rõ hơn vấn đề nêu ra ở trên. Nếu du khách nội địa trải rộng hoạt động của họ theo không gian thì sẽ có hiệu quả phân phối lại về thu nhập và việc làm từ địa phương này cho các địa phương khác. Tuy nhiên, nếu du khách chỉ tập trung đến một vài địa phương hoặc tính "địa phương hoá" của du lịch nội địa cao sẽ dẫn đến khuynh hướng tạo ra sự dư cầu ở địa phương, làm tăng giá và có thể lại làm giảm thật sự thu nhập thực tế ở các địa phương
nơi đến du lịch. Nếu các khu vực nơi đến khởi đầu với thiếu việc làm và thu nhập thấp một cách tương đối thì du lịch sẽ tạo ra việc làm và có thể làm tăng thu nhập nhưng tuỳ thuộc vào cơ cấu của thị trường lao động du lịch. Điều đó có nghĩa là:
+ Khoản chi của chính phủ (G) cho trợ cấp thất nghiệp có thể giảm xuống.
+ Khoản thuế (T) từ các thu nhập mới kiếm được có thể tăng thêm, mặc dù điều này còn phụ thuộc vào ngưỡng thuế suất và cơ hội chi tiêu của khách du lịch.
+ Xu hướng tiết kiệm cận biên có thể giảm nhẹ vì chi tiêu của du khách chuyển hoá thành thu nhập của những người nghèo mà những người này có xu hướng tiêu dùng cao hơn.
Câu hỏi thứ tư thường cung cấp chìa khoá cho sự phát triển dài hạn của các điểm đến du lịch và vì vậy cho sự phân phối lại các hoạt động kinh tế theo không gian. Ở nhiều quốc gia, khi khách du lịch đến thăm một nơi (thường là các khu vực có bãi biển) làm họ ưa thích, thì họ thường xuyên quay lại trong các kỳ nghỉ hàng năm và thậm chí khi nghỉ hưu họ chuyển đến sinh sống tại đó. Điều này tạo ra một cơ sở cầu cố định cho điểm đến. Một số doanh nhân lại có thể quyết định chuyển doanh nghiệp của mình tới các khu vực dễ chịu mà họ đã đến khi là khách du lịch. Sự di chuyển này ở một số quốc gia (ví dụ ở Anh) còn được các chính sách của chính phủ khuyến khích nhằm phân tán hoạt động kinh tế ra khỏi thủ đô và các thành phố lớn khác. Trừ khi các công ty mang theo tất cả nhân viên của mình, còn sự di chuyển doanh nghiệp thường tạo ra việc làm cho địa phương nơi đến với mức tiền lương mang tính chất quốc gia.
b. Vai trò trực tiếp của du lịch quốc tế
Lợi ích trực tiếp chủ yếu đối với thu nhập quốc dân của du lịch quốc tế nhận khách là sự bơm thêm tiền tệ và cầu từ một nguồn bên ngoài. Điều này tương đương với sự tăng lên về xuất khẩu (X) cho dù
người chi tiêu là khách du lịch giải trí hay đi công việc. Sự khác nhau cơ bản giữa doanh thu du lịch quốc tế và doanh thu xuất khẩu hàng hoá là xuất khẩu thường tạo ra tín dụng nước ngoài tương tự như sự tăng lên của I. Trong khi đó, hầu hết các trường hợp chi tiêu cho hàng hoá và dịch vụ du lịch thực tế lại xảy ra bên trong quốc gia nhận khách mà những chi tiêu này thường được coi là các khoản tiêu dùng (C).
Ngoài những ảnh hưởng đối với cán cân thanh toán quốc tế (sẽ đề cập trong chương 3) thì du lịch quốc tế (nhận khách) có hai tác động chủ yếu khác là: Tác động định hướng và tác động giá cả.
Tác động định hướng từ du lịch quốc tế đã được nghiên cứu trong một thời gian dài. Đặc biệt ở các nước kém phát triển, dân cư địa phương quan sát và học theo phong cách sống và các mô hình tiêu dùng của du khách quốc tế và có thể có sự ganh đua với những du khách này trong tiêu dùng. Trên phương diện kinh tế, điều này có thể dẫn đến sự thay đổi các mô hình tiêu dùng và xu hướng nhập khẩu nhiều hơn các loại hàng hoá tiêu dùng giống như của du khách. Hàng hoá nhập khẩu (M) tăng và bù đắp lại một phần các hàng hoá đã xuất khẩu (X).
Khi du khách đến từ một quốc gia có thu nhập và mức giá cả nói chung cao hơn khu vực (quốc gia) điểm đến thì họ có thể mang áp lực giá cả cao đó cho điểm đến. Đây là một dạng của lạm phát nhập khẩu nhưng khác với khái niệm thông thường (đó là hàng hoá, nguyên liệu nhập khẩu giá cao làm tăng chi phí sản xuất địa phương) vì nó hoạt động thông qua áp lực cầu tăng thêm và tác động định hướng. Trong thực tế, những người dân địa phương tham gia vào cung cũng nhận được lợi ích từ mức giá cao hơn này và có sự tăng thêm việc làm và thu nhập ở địa phương. Tuy nhiên, giá cả cao phần nào làm mất đi cuộc sống dễ chịu trước đây và để duy trì các tiêu chuẩn sống của mình, những người dân địa phương phải cạnh tranh với khách du lịch làm giá cả (và tổng cầu) càng tăng thêm. Điều này thường xảy ra với các mặt hàng thực phẩm công nghiệp và thậm chí cả các vật dụng hàng ngày khi chúng trở thành vật lưu niệm ở nhiều điểm đến du lịch.
Sự có mặt của các du khách có thu nhập cao tại điểm đến còn làm phát triển thị trường kép (thị trường hai giá) với giá cả phân biệt theo khách du lịch và dân cư địa phương. Sự phân biệt giá này nhiều khi được thừa nhận chính thức ở nhiều quốc gia trong giá thuê phòng, vận chuyển hoặc tham quan điểm hấp dẫn. Ở một số nơi khác, thị trường kép có thể phát triển không chính thức thông qua sự phân biệt sản phẩm (những người bán hàng lưu niệm chỉ tập hợp ở các điểm hấp dẫn du lịch và bán với mức giá cao mặc dù có mặc cả) hoặc thông qua phương pháp "phát hiện du khách" để có sự phân biệt giá. Với cách này, thu nhập và việc làm được tạo ra nhưng không bộc lộ sự tăng giá một cách giả tạo.
Ngoài ra, còn có những tác động trực tiếp, riêng biệt của du lịch quốc tế trong những hoàn cảnh cụ thể. Ví dụ, sự đóng góp vào thuế (T) của những du khách quốc tế khi đến chơi ở sòng bạc Monte Carlo (Monaco). Trong thực tế, chỉ riêng sự đóng góp này cho ngân sách đã đáp ứng mọi nhu cầu chi tiêu của chính phủ ở quốc gia đó.
c. Vai trò trực tiếp của du lịch ở các quốc gia nguồn khách
Có một số nghiên cứu đã cố gắng phân tích vai trò (nếu có) của du lịch đối với nền kinh tế ở các quốc gia gửi khách (nguồn khách). Điều chắc chắn là hoạt động du lịch ra nước ngoài làm giảm thu nhập quốc dân ở những quốc gia này vì du lịch tạo ra sự rò rỉ (M) khỏi nền kinh tế. Tuy nhiên, sự sản sinh ra loại hình du lịch đại chúng ít nhất có thể tạo ra các tác động sau đây cho các nước gửi khách:
- Việc làm trong các đại lý du lịch, công ty lữ hành gửi khách, hãng vận chuyển và các doanh nghiệp liên quan đến hoạt động marketing ở các điểm đến;
- Sự đầu tư của các hãng chuyên chở, công ty lữ hành và khả năng phát triển các công ty du lịch đa quốc gia;
- Giá cả thời vụ có thể giảm ở một mức độ nhất định trong khi khách du lịch đi xa và cầu không căng thẳng;
- Tăng tiết kiệm ngắn hạn (S) vì mọi người để dành tiền cho các chuyến đi hoặc các doanh nghiệp nhận được các khoản trả trước, đặt cọc;
- Nguồn thu thuế (T) trên những dịch vụ du lịch được đặt mua trước hoặc khi xuất phát.
1.2.2.4. Vai trò gián tiếp của du lịch
Thu nhập từ du lịch tạo ra một "dòng chảy lan truyền" khắp nền kinh tế quốc dân nên ngoài các vai trò trực tiếp (hoặc tác động sơ cấp) nó còn có các vai trò gián tiếp (tác động thứ cấp) đối với nền kinh tế, đặc biệt về thu nhập và việc làm. Đây là một trong những lĩnh vực được các nhà nghiên cứu kinh tế du lịch bàn luận nhiều nhất. Một số kỹ thuật đã được sử dụng để đánh giá vai trò gián tiếp này của du lịch, trong đó các kỹ thuật chủ yếu nhất là bội số du lịch và phân tích đầu vào - đầu ra.
a. Bội số du lịch
Các bội số du lịch được phát triển dựa trên cơ sở các nguyên lý của Keynes về sự lưu thông trở lại của một phần thu nhập do những người nhận được chi cho tiêu dùng, sau đó khoản chi tiêu này lại gây ra thu nhập và việc làm tiếp theo. Cơ sở của một bội số đơn giản là sự bơm trực tiếp tiền mặt vào một nền kinh tế, ví dụ từ chi tiêu du lịch quốc tế. Điều đó có nghĩa là các nhà cung ứng dịch vụ du lịch sẽ nhận được một mức thu nhập. Thu nhập của du lịch được phân phối một phần dưới dạng tiền công và tiền lương, tiền thuê, lãi suất và lợi nhuận và một phần là thu nhập gián tiếp cho các nhà cung ứng hàng hoá và dịch vụ cho các doanh nghiệp du lịch như các nhà cung ứng thực phẩm và đồ uống, công ty điện lực và bưu điện, nhà cung ứng nhiên liệu, nhà in... Thu nhập gián tiếp lại được phân phối cho các nhân tố sản xuất và các khoản thanh toán cho nhà cung ứng tiếp theo.
Tất cả những người nhận được phần thu nhập tăng thêm ở trên sau đó có thể chi tiêu hoặc tiết kiệm các phần tăng thêm này. Trong trường hợp họ lựa chọn để chi tiêu cho các hàng hoá và dịch vụ được sản xuất trong nền kinh tế địa phương thì một vòng các giao dịch kinh tế đó tạo
nên thu nhập phái sinh tăng thêm đối với các nhà cung ứng thứ cấp. Sau đó, những người này có thu nhập nhiều hơn để chi tiêu và quá trình tương tự tiếp tục diễn ra. Nguyên lý này được tóm tắt trong hình 1.76.
1000
200
1
500
250
100
Du khách quốc tế
Ngành du lịch
Nhà cung ứng
Nhập khẩu (28,5%)
Xu hướng nhập khẩu bằng 2/7 chi tiêu
Hình 1.7. Sự hoạt động của một bội số du lịch cơ bản
* Bội số đơn giản
Giá trị của bội số đơn giản biểu hiện tổng số thu nhập (hoặc bất cứ một biến số đo lường nào chẳng hạn như việc làm) trong mối quan hệ với chi tiêu du lịch ban đầu. Trong ví dụ ở Hình 1.7, chi tiêu ban đầu là 1.000 đơn vị (đv) tiền tệ, trong đó 500đv được chi tiêu lại trong nền kinh tế từ thu nhập gián tiếp và phái sinh. Trong 500đv này có 250đv được lưu thông trở lại và quá trình tiếp tục diễn ra. Tổng giá trị của thu nhập tạo ra sau một thời gian là tổng của cấp số nhân:
1000đv + 500đv + 250đv + 125đv + ... = 2000đv
6 Theo: Bull, A. (1998), The Economics of Travel and Tourism, 2nd edition, Longman, Melbourne.
Vì tổng giá trị thu nhập là 2.000đv gấp đôi 1.000đv chi tiêu ban đầu nên giá trị của bội số (hệ số nhân) trong trường hợp này bằng 2. Giá trị bằng 2 liên quan trực tiếp đến tập quán tái chi tiêu của những người nhận thu nhập - ở mỗi vòng đã chi tiêu đi 1/2 thu nhập thêm và đây chính là xu hướng tiêu dùng cận biên MPC (marginal propensity to consume). Giá trị của bội số (hệ số nhân) đơn giản là nghịch đảo của (1 - MPC).

* Sự rò rỉ
Chỉ một phần của thu nhập thêm (trong ví dụ trên là 1/2) được chi tiêu trở lại trong nền kinh tế địa phương vì còn có những yêu cầu khác cần phải thực hiện trên thu nhập đó. Những yêu cầu này làm tách một phần thu nhập ra khỏi dòng chảy và không chi tiêu trở lại trong các giao dịch ở địa phương. Những yêu cầu cơ bản đó là:
- Thuế thu nhập;
- Phần thu nhập thêm được mọi người lựa chọn để tiết kiệm - xu hướng tiết kiệm cận biên MPS (marginal propensity to save);
- Chi tiêu cho các hàng hoá nhập khẩu.
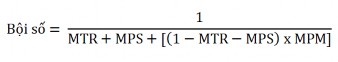
Những mất mát này đối với chuỗi tái chi tiêu trực tiếp là những rò rỉ khỏi vòng lưu thông tiêu dùng - thu nhập thêm của địa phương. Vì chúng đại diện cho một phần của chuỗi và bằng (1 - MPC) nên có thể xác định công thức của bội số như sau:

Trong đó:
MTR: Tỉ lệ thuế thu nhập cận biên và giả sử rằng chính phủ không chi tiêu lại khoản này một cách tức thời cho tiêu dùng.






