MPS: Xu hướng tiết kiệm cận biên (tỷ lệ % trên tổng thu nhập).
MPM: Xu hướng nhập khẩu cận biên của địa phương (tỷ lệ % trong khoản chi tiêu dành cho tiêu dùng).
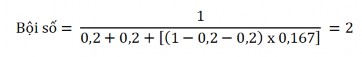
Ví dụ: Một nền kinh tế có MTR = 20%, MPS trên tổng thu nhập = 1/5, và MPM trên chi tiêu dành cho tiêu dùng = 1/6 (khác với ví dụ trong Hình 1.7 mà ở đó MTR là 20%, MPS là 10% của tổng thu nhập hoặc 12,5% của thu nhập thuần và MPM là 28,5% của tiêu dùng). Trong ví dụ mới này:

Mặc dù giá trị của bội số sau khi tính toán tương tự như trong ví dụ ở Hình 1.7, nhưng khác vì có sự rò rỉ của thu nhập.
* Bội số thu nhập du lịch
Khi phân tích tác động của du lịch, hầu hết các tính toán bội số được áp dụng cho thu nhập tạo ra và bội số được quan tâm trước hết là bội số thu nhập du lịch TIM (tourism income multiplier). TIM có hai công thức cơ bản khác nhau. Thông thường giả thiết rằng tất cả các chi tiêu du lịch ban đầu được chuyển thẳng vào thu nhập trực tiếp và gián tiếp, nhưng đây không phải là trường hợp thực tế. Một phần thu nhập có thể rò rỉ ngay lập tức bằng các khoản thanh toán cho các hãng vận chuyển nước ngoài, thực phẩm và đồ uống nhập khẩu để đáp ứng nhu cầu của du khách, các khoản thanh toán lợi nhuận và lãi suất cho các cơ sở lưu trú và điều hành tour sở hữu nước ngoài hoặc có nguồn tài chính nước ngoài... Vì thế, TIM vừa có thể liên quan với tổng chi tiêu du lịch ban đầu (công thức 1) và vừa có thể liên quan với thu nhập trực tiếp và gián tiếp do chi tiêu ban đầu tạo ra sau khi khấu trừ các rò rỉ L (leakages) nhập khẩu trực tiếp (công thức 2).
TIM = 1
𝐿
TIM = (1 - MPMT) x 1
𝐿
(1)
(2)
Trong đó: MPMT là xu hướng hoặc nhu cầu cận biên về hàng hoá, dịch vụ nhập khẩu và các nhân tố sản xuất để cung ứng trực tiếp cho nhu cầu của du khách.
Khi phân tích, có thể sử dụng cả hai công thức, nhưng không nên so sánh kết quả. Một điểm quan trọng khác là chỉ nên sử dụng bội số để đo lường tác động (giá trị) của thu nhập thêm (cận biên) do chi tiêu du lịch thêm tạo ra. Các nghiên cứu cũng lưu ý rằng đôi khi các bội số được sử dụng không chính xác và nhầm lẫn khi liên hệ tổng chi tiêu du lịch với tổng thu nhập.
* Bội số việc làm và các bội số khác
TIM là bội số du lịch hữu ích nhất và khái niệm này có thể áp dụng cho các hoạt động kinh tế khác để miêu tả tác động tổng thể và những khía cạnh khác nhau do du lịch trực tiếp gây ra. Một số bội số chủ yếu khác là:
- Bội số việc làm du lịch: Bội số này liên hệ tổng việc làm thêm được tạo ra với các việc làm trực tiếp trong du lịch do số lượt khách du lịch tăng lên tạo ra.
- Bội số giao dịch xác định dung lượng hoạt động kinh doanh tăng lên thông qua giá trị doanh số bán trong mối quan hệ với các chi tiêu du lịch ban đầu. Với ý nghĩa này làm cho bội số giao dịch giống như TIM trước khi cung cấp MTR và MPM nên đôi khi bị nhầm lẫn với TIM. Tuy nhiên, bội số này chỉ quan hệ với tổng doanh thu mà không quan hệ với thu nhập thuần.
- Bội số đầu ra tương tự như bội số giao dịch, tuy nhiên nó bao gồm giá trị của tất cả hàng hoá và dịch vụ được sản xuất ra hơn giá trị được bán vì bao gồm thêm phần dự trữ.
- Bội số vốn hoặc tài sản đánh giá sự tăng lên về giá trị của dự trữ tài sản của nền kinh tế trong mối quan hệ với đầu tư du lịch hoặc chi tiêu du lịch. Tỷ lệ này quan trọng không chỉ đối với MPC mà còn đối với cả MPI các xu hướng đầu tư cận biên. Nếu tất cả tiết kiệm được chuyển trực
tiếp thành đầu tư bằng một thị trường vốn hoàn hảo thì MPS là tỷ lệ đáng chú ý từ mỗi vòng tiêu dùng - thu nhập tạo ra.
b. Phân tích đầu vào - đầu ra
Trong khi phân tích bội số cố gắng xác định các tác động gián tiếp đến một nền kinh tế từ các yếu tố bơm thêm trực tiếp như chi tiêu du lịch quốc tế đến tăng lên, thì phân tích đầu vào - đầu ra cố gắng chỉ ra các tác động đó bộc lộ như thế nào thông qua nền kinh tế trên cơ sở mối quan hệ qua lại của cung và cầu giữa các ngành hoặc các lĩnh vực khác nhau.
Phương pháp đầu vào - đầu ra là một công cụ phân tích kinh tế được phát triển từ những năm 50 và 60 của thế kỷ 20 dựa trên cơ sở khái niệm về các giao dịch giữa tất cả các nhà sản xuất và người tiêu dùng trong một nền kinh tế. Trong đó, bao gồm cả các ngành sản xuất nhưng là người tiêu dùng đầu ra của các ngành khác.
Để xây dựng một tập hợp hoặc một ma trận các giao dịch, phải đảm bảo các điều kiện cần thiết sau:
- Xác định rõ các ngành hoặc các lĩnh vực liên quan;
- Nhận biết được tổng đầu ra của mỗi ngành và sự phân chia đến những nơi tiêu dùng nó kể cả tự tiêu dùng và nhu cầu cuối cùng;
- Nhận biết được tổng đầu vào của mỗi ngành nhận được từ các ngành khác và đặc biệt cần có các đầu vào cận biên nào để tạo ra sự tăng cận biên của đầu ra.
Hầu hết các bảng phân tích đầu vào - đầu ra sử dụng giá trị tiền tệ, tuy nhiên có thể sử dụng các đơn vị khác trong tính toán như số việc làm hoặc thậm chí diện tích đất sử dụng.
Khi sử dụng phân tích đầu vào - đầu ra để đo lường tác động kinh tế gián tiếp của du lịch thì một vấn đề căn bản là cần tách du lịch thành một ngành riêng biệt, mặc dù đôi khi du lịch chỉ đơn thuần bao gồm phần nhu cầu cuối cùng. Ví dụ, có thể giả thiết rằng một nền kinh tế đơn giản với sáu ngành: Khai khoáng, nông nghiệp, công nghiệp, xây dựng, du
lịch và các dịch vụ khác. Khi đó, Bảng 1.47 phản ánh một ma trận các giao dịch tiêu biểu cho nền kinh tế này.
Bảng 1.4. Ma trận các giao dịch tiêu biểu
Các khu vực tiêu dùng | ||||||||
1 | 2 | 3 | 4 | 5 | 6 | N/c cuối cùng | Tổng đầu ra | |
1. Khai khoáng | 5 | 5 | 15 | 10 | 3 | 5 | 7 | 50 |
2. Nông nghiệp | 2 | 2 | 4 | 15 | 2 | 2 | 13 | 40 |
3. Công nghiệp | 10 | 5 | 20 | 10 | 5 | 5 | 25 | 80 |
4. Xây dựng | 5 | 2 | 10 | 3 | 10 | 8 | 12 | 50 |
5. Du lịch | 2 | 2 | 5 | 2 | 2 | 5 | 22 | 40 |
6. Dịch vụ khác | 4 | 3 | 8 | 5 | 5 | 5 | 20 | 50 |
Giá trị tăng thêm | 22 | 19 | 7 | 18 | 13 | 19 | ||
Tổng đầu vào | 50 | 40 | 80 | 50 | 40 | 50 | 310 |
Có thể bạn quan tâm!
-
Sự Đóng Góp Của Du Lịch Trong Tổng Sản Phẩm Trong Nước -
Sự Tương Tác Giữa Phát Triển Du Lịch Và Nền Kinh Tế Quốc Dân -
Sự Hoạt Động Của Một Bội Số Du Lịch Cơ Bản -
Các Chính Sách Kinh Tế Của Chính Phủ Đối Với Sự Phát Triển Du Lịch -
Các Hình Thức Chi Tiêu Của Chính Phủ Nhằm Phát Triển Du Lịch -
Đặc Điểm Một Số Loại Cầu Sản Phẩm Và Dịch Vụ Du Lịch
Xem toàn bộ 188 trang tài liệu này.
Trong ví dụ này, ngành du lịch chiếm 40/310 của GDP (13%); trong 40 đơn vị giá trị đầu ra có 22 đơn vị dành cho tiêu dùng cuối cùng như giải trí và thăm người thân. Ngành du lịch bán 2 đơn vị cho ngành khai khoáng có thể là du lịch đi công việc và tương tự với các ngành khác theo các dòng tương ứng trong bảng. Như một ngành sản xuất, du lịch cần 3 đơn vị đầu vào từ ngành khai khoáng, 2 đơn vị từ ngành nông nghiệp và tương tự với các ngành khác theo cột 5, với giá trị tăng thêm là 13 biểu hiện cho sự chênh lệch giữa các đầu vào đã mua với giá trị của đầu ra (đó là yếu tố lợi nhuận).
Giả sử nhu cầu cuối cùng về du lịch tăng thêm 4 đơn vị do kết quả của du khách quốc tế đến tăng lên. Điều đó làm tăng 10% trong giá trị (vai trò) của ngành du lịch, có nghĩa là tăng các đầu vào và giá trị tăng thêm. Nếu giả thiết rằng các ngành sản xuất có mối quan hệ tuyến tính
thì tất cả các trị số trong cột 5 đều tăng 10%; ví dụ, lúc này du lịch sẽ cần 11 đơn vị đầu vào từ ngành xây dựng. Tiếp đó, điều này làm tăng đầu ra từ ngành xây dựng là 51, cũng như đầu ra từ các ngành khác lần lượt chúng cần các đầu vào thêm. Quy mô tăng cuối cùng của toàn bộ nền kinh tế tuỳ thuộc vào các yêu cầu giao dịch liên ngành. Tất nhiên, trong thực tế mô hình sẽ phức tạp hơn vì có các quan hệ phi tuyến tính khi có sự thay đổi các đầu vào cận biên và trong bảng cần bổ sung thêm các dòng thể hiện các rò rỉ như các đầu vào từ nhập khẩu.
Để dự đoán trực tiếp các vai trò gián tiếp của chi tiêu du lịch tăng lên, có thể sử dụng một ma trận hệ số biểu diễn các đầu vào cần thiết cho một đơn vị đầu ra đối với mỗi ngành. Ví dụ, đối với du lịch (ngành 5 trong bảng), với tổng đầu ra là 40, đầu vào từ ngành xây dựng là 10 và yêu cầu trên một đơn vị đầu ra là 10/40 hoặc 0,25. Các hệ số đầu vào này đối với ví dụ trên được thể hiện trong bảng 1.58.
Sử dụng bảng trên có thể xem xét tác động của 1 đơn vị tiền tệ (đvtt) tăng thêm trong chi tiêu du lịch có nghĩa là chi tiêu gián tiếp 0,08 đvtt cho ngành khai khoáng, 0,05 đvtt cho ngành nông nghiệp... và chi tiêu tiếp theo để thoả mãn nhu cầu của các ngành này là dòng chảy của các chi tiêu phái sinh.
Nhiều nghiên cứu đã cố gắng sử dụng phân tích đầu vào - đầu ra trong du lịch để đánh giá vai trò gián tiếp của du lịch ở các mức độ thành công khác nhau. Tuy vậy, khi sử dụng phương pháp này sẽ gặp phải hai vấn đề tồn tại chủ yếu là:
- Thiếu dữ liệu, đặc biệt ở mức độ khu vực;
- Những khó khăn xuất phát từ bản chất của du lịch như xác định khoản chi tiêu nào thuộc về ngành du lịch, còn khoản chi tiêu nào không thuộc về ngành này.
Bảng 1.5. Ma trận hệ số tiêu biểu
Ngành tiêu dùng | ||||||
1 | 2 | 3 | 4 | 5 | 6 | |
1 | 0,1 | 0,13 | 0,19 | 0,2 | 0,08 | 0,1 |
2 | 0,04 | 0,1 | 0,19 | 0,04 | 0,05 | 0,06 |
3 | 0,2 | 0,13 | 0,25 | 0,2 | 0,13 | 0,1 |
4 | 0,1 | 0,06 | 0,13 | 0,06 | 0,25 | 0,16 |
5 | 0,04 | 0,06 | 0,06 | 0,04 | 0,05 | 0,1 |
6 | 0,08 | 0,06 | 0,1 | 0,1 | 0,13 | 0,1 |
Ngoài ra, còn có một số vấn đề khác như đặc điểm cố định của cung du lịch nhưng lại thường được sử dụng dưới khả năng, ví dụ các khách sạn hoặc xe buýt vận hành ở mức 1/2 khả năng cung. Tính thời vụ của cầu làm tăng thu nhập du lịch trong thời hạn ngắn, thu nhập tăng thêm này có thể sử dụng để trả nợ hoặc tiết kiệm để thanh toán các chi phí vào lúc trái vụ khi cầu tăng chậm, vì vậy các hệ số đầu vào cận biên sẽ nhỏ. Khi ngành đã hoạt động với khả năng cung tối đa thì sự tăng thêm của cầu du lịch có thể làm tăng nhu cầu đầu tư về xây dựng mới làm cho các hệ số đầu vào cận biên thay đổi nhanh chóng. Đây là một vấn đề tồn tại về kỹ thuật của phân tích đầu vào - đầu ra là nó chỉ phù hợp với phân tích tĩnh mà không thể áp dụng để phân tích động. Các hàm tương quan giữa các ngành sản xuất thay đổi nhanh chóng đòi hỏi các phần mềm máy tính luôn được cập nhật và cần nhiều dữ liệu phức tạp trong khi sử dụng kỹ thuật trên.
Mặc dù còn một số vấn đề tồn tại, nhưng các kỹ thuật bội số du lịch và phân tích đầu vào - đầu ra là những phương tiện có xu hướng được sử dụng rộng rãi để xem xét và đánh giá các tác động gián tiếp của du lịch đối với nền kinh tế quốc dân.
1.2.3. Vai trò và chính sách kinh tế của chính phủ trong phát triển du lịch
1.2.3.1. Vai trò của chính phủ đối với ngành du lịch
Chính phủ là cơ quan hành chính cao nhất của nhà nước, hoạt động của chính phủ nhằm quản lý việc thực hiện các nhiệm vụ chính trị, kinh tế, xã hội, quốc phòng, an ninh và đối ngoại của nhà nước. Trong nhiệm vụ quản lý kinh tế vĩ mô, chính phủ thường có ba vai trò chủ yếu trong nền kinh tế:
- Đưa ra các biện pháp nhằm thúc đẩy phúc lợi kinh tế - xã hội, bao gồm cải thiện tiêu chuẩn sống, tạo ra và duy trì nhiều việc làm, đảm bảo công bằng về phúc lợi xã hội.
- Đánh thuế các hoạt động kinh tế nhằm tạo nguồn thu cho ngân sách đảm bảo các hoạt động chung của quốc gia (như an ninh, quốc phòng, toà án, ngoại giao...).
- Sở hữu một số tư liệu sản xuất và quản lý chúng trong các doanh nghiệp nhà nước (các doanh nghiệp của chính phủ) để sản xuất ra hàng hoá và dịch vụ.
Các vai trò trên được bộc lộ thông qua các chính sách kinh tế như: Chính sách tài chính - tiền tệ, chính sách thương mại, hoạch định chiến lược và kế hoạch phát triển kinh tế... của quốc gia. Các chính sách này được hoạch định và thực thi ở các cấp quản lý nhà nước từ trung ương (quốc gia) đến các địa phương (ngoại trừ chính sách tiền tệ). Tuỳ theo vị trí của mỗi ngành trong nền kinh tế và trong từng thời kỳ mà vai trò kinh tế của chính phủ có tác động trực tiếp và tác động gián tiếp ở các mức độ khác nhau.
a. Vai trò quản lý kinh tế đối với ngành du lịch
Cũng như đối với các ngành kinh tế khác, theo Bull - nhà kinh tế Úc, các chính sách kinh tế vĩ mô của chính phủ có thể tác động trực tiếp và gián tiếp đến ngành du lịch (xem hình 1.89).
9 Theo: Bull, A. (1998), The Economics of Travel and Tourism, 2nd edition, Longman, Melbourne.
Các chính sách kinh tế chung và chính sách cụ thể đối với các ngành khác trong nền kinh tế của chính phủ có thể có tác động gián tiếp đến du lịch. Ví dụ, chính sách giảm (tiết kiệm) công tác phí có thể làm giảm cầu về du lịch công vụ và cầu dịch vụ lưu trú; chính sách thay đổi lãi suất ngân hàng có thể làm thay đổi khả năng lợi nhuận cận biên của kinh doanh du lịch. Tính trực tiếp và mức độ tác động của các chính sách không nhất thiết phải tương quan với nhau, vì cuối cùng các chính sách kinh tế chung sẽ có ảnh hưởng rộng khắp đến tất cả các kênh của hoạt động kinh tế.

Hình 1.8. Tác động của các chính sách kinh tế của chính phủ đối với ngành du lịch
Các chính sách phát triển du lịch của một quốc gia phản ánh đồng thời các mục tiêu về: Kinh tế, môi trường, xã hội, giáo dục, ngoại giao... Hầu hết các chính sách phi kinh tế đều có những quan hệ mật thiết đáng kể về kinh tế đối với du lịch. Các chính sách có xu hướng kết hợp lại để nhằm vào các vấn đề kinh tế cũng như phi kinh tế.
Mục tiêu chung của chính sách kinh tế trong du lịch là tối đa hoá những đóng góp của du lịch vào sự phát triển của nền kinh tế quốc dân. Các mục tiêu đóng góp của du lịch bao gồm:






