
Hình 3.7: Mối liên quan giữa kiểu gen lưỡng bội tạo bởi điểm 221C/G + exon 1 gen MBL2 và một số biểu hiện cận lâm sàng ở bệnh nhân SXHD
Hình 3.7 chỉ ra mối liên quan giữa các kiểu gen lưỡng bội tạo bởi
điểm 221C/G + exon 1 gen
MBL2 và một số
biểu hiện cận lâm sàng ở
bệnh nhân SXHD. Tuy nhiên, chưa thấy sự
khác biệt về
hoạt độ
enzym
GOT, GPT và số lượng hồng cầu, bạch cầu, tiểu cầu và huyết sắc tố ở các kiểu gen lưỡng bội tạo bởi điểm 221C/G + exon 1 gen MBL2.
Bảng 3.17: So sánh tần suất các kiểu gen đơn bội gen MBL2 giữa các nhóm nghiên cứu
Nhóm bệnh và Nhóm chứng p# OR (95% CI) | DHF và Nhóm chứng p# OR (95% CI) | DWS và Nhóm chứng p# OR (95% CI) | DHF và DWS p# OR (95% CI). | |
LXPA | Tham chiếu | Tham chiếu | Tham chiếu | Tham chiếu |
HYPA | > 0,05 | > 0,05 | > 0,05 | > 0,05 |
HXPB | > 0,05 | > 0,05 | > 0,05 | > 0,05 |
LXPB | 0,027 4,1 (1,214,3) | > 0,05 | 0,028 5,6 (1,226) | > 0,05 |
HXPA | 0,025 0,3 (0,10,9) | > 0,05 | 0,047 0,2 (0,030,98) | > 0,05 |
HXQA | > 0,05 | > 0,05 | > 0,05 | > 0,05 |
LXQA | > 0,05 | > 0,05 | > 0,05 | > 0,05 |
LYPA | > 0,05 | > 0,05 | > 0,05 | > 0,05 |
HYPB | | | | |
LYPB | | | | |
HXPD | | | | |
LXPD | | | | |
Có thể bạn quan tâm!
-
Một Số Đặc Điểm Nhóm Bệnh Nhân Sốt Xuất Huyết Dengue -
Tính Đa Hình Gen Fcn2 Ởcác Nhóm Đối Tượng Nghiên Cứu -
Nghiên cứu tính đa hình gen MBL2, FCN2 và nồng độ protein MBL, Ficolin-2 ở bệnh nhân sốt xuất huyết Dengue - 12 -
Mối Liên Quan Giữa Nồng Độ Protein Mbl Với Mức Độ Bệnh Và Một Số Biểu Hiện Lâm Sàng, Cận Lâm Sàng Trong Bệnh Sốt Xuất Huyết Dengue -
Mối Liên Quan Giữa Tính Đa Hình Gen Mbl2 Và Nồng Độ Mbl Huyết Thanh Ở Bệnh Sốt Xuất Huyết Dengue -
Đặc Điểm Chung Nhóm Bệnh Nhân Sốt Xuất Huyết Dengue
Xem toàn bộ 189 trang tài liệu này.
# p: mô hình hồi quy nhị phân Logistic hiệu chỉnh theo tuổi và giới tính
Bảng 3.17 chỉ ra trong 12 loại kiểu gen đơn bội của gen MBL2 khảo sát được, tần suất LXPB ở nhóm bệnh nói chung và nhóm DWS cao hơn so với nhóm chứng, khác biệt có ý nghĩa thống kê với lần lượt p = 0,027, OR
= 4,1 (1,214,3) và p = 0,028, OR = 5.6 (1.226). Ngược lại, tần suất HXPA
ở nhóm bệnh nói chung và nhóm DWS thấp hơn so với nhóm chứng với lần lượt p = 0,025, OR = 0,3 (0,10,9) và p = 0,047, OR = 0.2 (0.030.98).Không
thấy sự khác biệt về tần suất các kiểu gen đơn bội còn lại giữa các nhóm nghiên cứu.

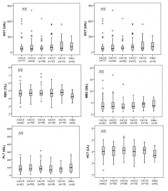
Hình 3.8: Mối liên quan giữa kiểu gen đơn bội tạo bởi 6 điểm đa hình gen
MBL2 và một số biểu hiện cận lâm sàng ở bệnh nhân SXHD
Hình 3.8 chỉ ra mối liên quan giữa các kiểu gen đơn bội tạo bởi 6
điểm đa hình gen
MBL2 và một số
biểu hiện cận lâm sàng ở
bệnh nhân
SXHD. Có sự khác biệt về số lượng hồng cầu và Hematocrit giữa các kiểu gen đơn bội tạo bởi 6 điểm đa hình gen MBL2, cao nhất ở kiểu gen HXPB thấp nhất ở LXPB, sự khác biệt có ý nghĩa thống kê với lần lượt p = 0,001 và p = 0,005. Chưa thấy sự khác biệt về hoạt độ enzym GOT, GPT và số
lượng bạch cầu, tiểu cầu gen MBL2.
ở các kiểu gen đơn bội tạo bởi 6 điểm đa hình
3.3.2. Mối liên quan giữa tính đa hình gen FCN2 với mức độ bệnh và
một số Dengue
biểu hiện lâm sàng, cận lâm sàng trong bệnh sốt xuất huyết
Để đánh giá mối liên quan giữa tính đa hình gen FCN2và mức độ
bệnh, một số biểu hiện lâm sàng, cận lâm sàng trong bệnh sốt xuất huyết Dengue, chúng tôi tiến hành so sánh sự khác biệt về tần suất giữa hai nhóm bệnh và nhóm chứng. Sau khi so sánh, chúng tôi thấy sự khác biệt có ý nghĩ thống kê về tần suất các kiểu gen của 3 điểm đa hình +6031A/G; +6220T/G và +6424G/T giữa các nhóm nghiên cứu. Do đó, chúng tôi tập trung phân tích chính vào 3 điểm đa hình này. Chúng tôi so sánh sự khác biệt về hoạt độ enzym GOT, GPT và sự khác biệt về số lượng hồng cầu, bạch cầu, tiểu cầu và huyết sắc tố ở các kiểu gen của 3 điểm đa hình trên. Kết quả thu được như sau:
Bảng 3.18: So sánh tần suất kiểu gen và alen các điểm đa hình vùng exon 7 ; intron 7; exon 8 gen FCN2 giữa các nhóm nghiên cứu
Nhóm bệnh và Nhóm chứng p# OR (95% CI) | DHF và Nhóm chứng p# OR (95% CI) | DWS và Nhóm chứng p# OR (95% CI) | DHF và DWS p# OR (95% CI). | |
rs11103563 (+6031A/G) | ||||
AA | ||||
AG | ||||
GG | ||||
Alen | ||||
A | Tham chiếu | Tham chiếu | Tham chiếu | Tham chiếu |
G | > 0,05 | > 0,05 | > 0,05 | > 0,05 |
Mô hình trội | ||||
AA | Tham chiếu | Tham chiếu | Tham chiếu | Tham chiếu |
AG+GG | > 0,05 | > 0,05 | > 0,05 | > 0,05 |
Mô hình lặn | ||||
AA+AG | Tham chiếu | Tham chiếu | Tham chiếu | Tham chiếu |
0,043 3,99 (1,115,2) | > 0,05 | 0,021 6,03 (1,327,8) | > 0,05 | |
rs7872508 (+6220T/G) | ||||
TT | ||||
TG | ||||
GG | ||||
Alen | ||||
T | Tham chiếu | Tham chiếu | Tham chiếu | Tham chiếu |
G | > 0,05 | > 0,05 | > 0,05 | > 0,05 |
Mô hình trội | ||||
TT | Tham chiếu | Tham chiếu | Tham chiếu | Tham chiếu |
TG+GG | > 0,05 | > 0,05 | > 0,05 | > 0,05 |
Mô hình lặn | ||||
TT+TG | Tham chiếu | Tham chiếu | Tham chiếu | Tham chiếu |
GG | 0,039 4,1 (1,115,3) | > 0,05 | 0,019 6,2 (1,427,9) | > 0,05 |
rs7851696 (+6424G/T) | ||||
GG | ||||
GT | ||||
TT | ||||
Alen | ||||
G | Tham chiếu | Tham chiếu | Tham chiếu | Tham chiếu |
T | > 0,05 | > 0,05 | > 0,05 | > 0,05 |
Mô hình trội | ||||
GG | Tham chiếu | Tham chiếu | Tham chiếu | Tham chiếu |
GT+TT | > 0,05 | > 0,05 | > 0,05 | > 0,05 |
Mô hình lặn | ||||
GG+GT | Tham chiếu | Tham chiếu | Tham chiếu | Tham chiếu |
TT | 0,021 5,4 (1,322,3) | > 0,05 | 0,01 8,8 (1,745,8) | > 0,05 |
# p: mô hình hồi quy nhị phân Logistic hiệu chỉnh theo tuổi và giới tính
Kết quả Bảng 3.18 chỉ ra:
Tần suất kiểu gen
GG của điểm đa hình
+6031A/G trên intron 7 ở
nhóm bệnh nhân nói chung và nhóm DWS cao hơn nhóm chứng, khác biệt
có ý nghĩa thống kê với lần lượt 0,021, OR = 6,03 (1,327,8).
p = 0,043, OR = 3,99 (1,115,2) và p =
Tần suất kiểu gen
GG của điểm đa hình
+6220T/G trên intron 7 ở
nhóm bệnh nhân nói chung và nhóm DWS cao hơn nhóm chứng, khác biệt
có ý nghĩa thống kê với lần lượt 0,019; OR = 6,2 (1,427,9).
p = 0,039; OR = 4,1 (1,115,3) và p =
Tần suất kiểu gen
TT của điểm đa hình
+6424G/T trên exon 8 ở
nhóm bệnh nhân nói chung và nhóm DWS cao hơn nhóm chứng, khác biệt có ý nghĩa thống kê với lần lượt p = 0,021; OR = 5,4 (1,322,3) và p = 0,01; OR = 8,8 (1,745,8).
Không có sự
khác biệt về
tần suất kiểu gen các điểm đa hình
+6031A/G; +6220T/G và +6424G/T giữa nhóm DHF với DWS và DHF với nhóm chứng.

p: Mann–Whitney U test
Hình 3.9: Mối liên quan giữa đa hình +6031A/G gen FCN2 và một số biểu hiện cận lâm sàng ở bệnh nhân SXHD
Hình 3.9 chỉ ra mối liên quan giữa đa hình +6031A/G gen FCN2 và
một số biểu hiện cận lâm sàng ở bệnh nhân SXHD. Tuy nhiên, chưa thấy
sự khác biệt về
hoạt độ
enzym GOT, GPT và
số lượng hồng cầu, bạch
cầu, tiểu cầu và huyết sắc tố ở
FCN2.
các kiểu gen
của đa hình +6031A/G gen

p: Mann–Whitney U test
Hình 3.10: Mối liên quan giữa đa hình +6220T/G gen FCN2 và một số biểu hiện cận lâm sàng ở bệnh nhân SXHD
Hình 3.10 chỉ ra mối liên quan giữa đa hình +6220T/G gen FCN2 và một số biểu hiện cận lâm sàng ở bệnh nhân SXHD. Tuy nhiên, chưa thấy
sự khác biệt về
hoạt độ
enzym GOT, GPT và
số lượng hồng cầu, bạch
cầu, tiểu cầu và huyết sắc tố ở
FCN2.
các kiểu gen
của đa hình +6220T/G gen

p: Mann–Whitney U test
Hình 3.11: Mối liên quan giữa đa hình +6424G/T gen FCN2 và một số biểu hiện cận lâm sàng ở bệnh nhân SXHD
Hình 3.11 chỉ ra mối liên quan giữa đa hình +6424G/T gen FCN2 và một số biểu hiện cận lâm sàng ở bệnh nhân SXHD. Tuy nhiên, chưa thấy
sự khác biệt về
hoạt độ
enzym GOT, GPT và
số lượng hồng cầu, bạch
cầu, tiểu cầu và huyết sắc tố ở
FCN2.
các kiểu gen
của đa hình +6424G/T gen
Bên cạnh đánh giá
mối liên quan
của từng điểm đa hình chúng tôi
cũng đánh giá mối liên quan của các kiểu gen đơn bội gen FCN2 và mức độ bệnh, một số biểu hiện lâm sàng, cận lâm sàng trong bệnh sốt xuất huyết Dengue. Chúng tôi tiến hành so sánh tần suất giữa hai nhóm bệnh và nhóm chứng, so sánh sự khác biệt về hoạt độ enzym GOT, GPT và sự khác biệt về số lượng hồng cầu, bạch cầu, tiểu cầu và huyết sắc tố ở các kiểu gen đơn bội gen FCN2. Kết quả thu được như sau:






