Sau đó chúng tôi tiến hành so sánh nồng độ Ficolin2 giữa 2 nhóm âm tính và dương tính. Chúng tôi thu được kết quả như sau:

p: Mann–Whitney U test
Hình 3. 20: So sánh nồng độ protein Ficolin2 giữa các nhóm âm tính và dương tính với kháng thể IgG, IgM đặc hiệu với virus Dengue
Hình 3.20 chỉ
ra nồng độ Ficolin2
ở nhóm dương tính với kháng
thể IgG, IgM đặc hiệu virus Dengue thấp hơn so với nhóm âm tính, khác biệt có ý nghĩa thống kê với p lần lượt là 0,013 và 0,033.

p: Mann–Whitney U test
Hình 3. 21: So sánh nồng độ protein Ficolin2 giữa có và không có dấu hiệu xuất huyết
Hình 3.21 chỉ ra nồng độ Ficolin2 ở nhóm bệnh nhân có xuất huyết thấp hơn nhóm không có xuất huyết, sự khác biệt có ý nghĩa thống kê với p
= 0,002

p: Mann–Whitney U test
Hình 3. 22: So sánh nồng độ protein Ficolin2 giữa hai nhóm bệnh nhân nam và nữ
Kết quả
trên hình 3.22 chỉ
ra không thấy sự
khác biệt về
nồng độ
MBL huyết thanh giữa hai nhóm bệnh nhân nam và nữ.
Bảng 3. 23: Tương quan giữa nồng độ Ficolin2 và các triệu chứng cận lâm sàng
GOT (IU/ml) | GPT (IU/ml) | RBC (x103/ml) | WBC (x106/ml) | PLT (x103/ml) | HCT (%) | ||
Ficolin2 (ng/ml) | rs | 0,19 | 0,12 | 0,01 | 0,02 | 0,17 | 0,003 |
p | 0,004 | 0,072 | 0,886 | 0,8 | 0,005 | 0,96 |
Có thể bạn quan tâm!
-
Nghiên cứu tính đa hình gen MBL2, FCN2 và nồng độ protein MBL, Ficolin-2 ở bệnh nhân sốt xuất huyết Dengue - 12 -
Mối Liên Quan Giữa Tính Đa Hình Gen Fcn2 Với Mức Độ Bệnh Và -
Mối Liên Quan Giữa Nồng Độ Protein Mbl Với Mức Độ Bệnh Và Một Số Biểu Hiện Lâm Sàng, Cận Lâm Sàng Trong Bệnh Sốt Xuất Huyết Dengue -
Đặc Điểm Chung Nhóm Bệnh Nhân Sốt Xuất Huyết Dengue -
Về Tính Đa Hình Gen Mbl2, Fcn2 Và Nồng Độ Protein Mbl, Ficolin 2 Ở Các Nhóm Đối Tượng Nghiên Cứu -
Mối Liên Quan Giữa Tính Đa Hình Gen Fcn2 Với Mức Độ Bệnh Và
Xem toàn bộ 189 trang tài liệu này.
Bảng 3.22 chỉ ra mối tương quan giữa nồng độ Ficolin2 và các triệu
chứng cận lâm sàng. Trong đó, nồng độ Ficolin2 tương quan nghịch với
hoạt độ GOT (rs = 0,19; p = 0,004) và tương quan thuận với số lượng tiểu cầu (rs = 0,17; p = 0,005). Nồng độ Ficolin2 không tương quan với các chỉ
số cận lâm sàng khác như hoạt độ GPT; số lượng hồng cầu, số lượng bạch cầu và hematocrit.

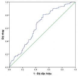
Hình 3. 23: Biểu đồ đường cong ROC của protein Ficolin2 trong phân biệt 2 nhóm bệnh DHF và DWS
Bảng 3. 24: Giá trị phân biệt 2 nhóm bệnh DHF và DWS của protein Ficolin2
AUC | 95% CI | P | Độ nhạy (%) | Độ đặc hiệu (%) | Giá trị Cut off (ng/ml) | |
Ficolin2 | 0,640 | 0,5670,712 | < 0.0001 | 80,7 | 49 | 2060,46 |
Kết quả trên Hình 3.23 và Bảng 3.24 chỉ ra giá trị phân biệt 2 nhóm
bệnh DHF và DWS của protein Ficolin2. Chỉ số AUC khi dùng protein
Ficolin2 trong phân biệt 2 nhóm bệnh DHF và DWS là 0,642 với p <
0,0001. Do đó, có thể dùng nồng độ protein Ficolin2 để phân biệt 2 nhóm bệnh DHF và DWS. Nồng độ ngưỡng để phân biệt là 2060,46 ng/ml với độ nhạy 80,7 % và độ đặc hiệu 49 %.
3.3.5. Mối liên quan giữa tính đa hình gen MBL2 và nồng độ MBL huyết thanh ở bệnh sốt xuất huyết Dengue
Để đánh giá
ảnh hưởng của tính đa hình gen
MBL2 tới nồng độ
protein MBL
ở bệnh nhân sốt xuất huyết
Dengue chúng tôi tiến hành so
sánh nồng độ MBL giữa các kiểu gen của các điểm đa hình, giữa các kiểu gen đơn bội tạo bởi 6 điểm đa hình phân tích được. Kết quả thu được như sau:

p: Mann–Whitney U test
Hình 3. 24: Nồng độ protein MBL ở các kiểu gen khác nhau ở nhóm DHF
Kết quả
Hình 3.24 chỉ ra nồng độ
MBL huyết thanh
ở nhóm DHF.
MBL huyết thanh ở các cá thể mang kiểu gen chính của các đa hình điểm
550L/H; 221Y/X; 4P/Q và Codon (52+54+57) lần lượt là LL; YY; PP và
AA tăng cao. Nồng độ này giảm dần ở kiểu gen dị hợp tử LH; XY; PQ và AO. Nồng độ MBL huyết thanh giảm thấp nhất ở các cá thể mang kiểu gen hiếm HH; XX; OO. Sự khác biệt có ý nghĩa thống kê ở các điểm đa hình
221Y/X và Codon (52+54+57) lần lượt với p < 0,0001 và p = 0,001, không có ý nghĩa thống kê ở các điểm đa hình 550L/H; 4P/Q.

p: Mann–Whitney U test
Hình 3. 25: Nồng độ protein MBL trên các kiểu gen khác nhau ở nhóm DWS Kết quả Hình 3.25 chỉ ra nồng độ MBL huyết thanh ở nhóm DWS.
MBL huyết thanh ở các cá thể mang kiểu gen chính của các đa hình điểm
550L/H; 221Y/X; 4P/Q và Codon (52+54+57) lần lượt là LL; YY; PP và
AA tăng cao. Nồng độ này giảm dần ở kiểu gen dị hợp tử LH; XY; PQ và AO. Nồng độ MBL huyết thanh giảm thấp nhất ở các cá thể mang kiểu gen hiếm HH; XX; OO. Sự khác biệt có ý nghĩa thống kê ở các điểm đa hình
221Y/X và Codon (52+54+57) với p < 0,0001, không có ý nghĩa thống kê ở
các điểm đa hình 550L/H; 4P/Q.

p: Mann–Whitney U test
Hình 3. 26: Nồng độ protein MBL trên các kiểu gen khác nhau ở nhóm chứng Kết quả Hình 3.26 chỉ ra nồng độ MBL huyết thanh ở nhóm chứng.
MBL huyết thanh ở các cá thể mang kiểu gen chính của các đa hình điểm
550L/H; 221Y/X; 4P/Q và Codon (52+54+57) lần lượt là LL; YY; PP và
AA tăng cao. Nồng độ này giảm dần ở kiểu gen dị hợp tử LH; XY; PQ và AO. Nồng độ MBL huyết thanh giảm thấp nhất ở các cá thể mang kiểu gen hiếm HH; XX; OO. Sự khác biệt có ý nghĩa thống kê ở các điểm đa hình
550L/H; 221Y/X và Codon (52+54+57) lần lượt với p = 0,003, p = 0,002
và p < 0,0001, không có ý nghĩa thống kê ở điểm đa hình 4P/Q.

P: Mann–Whitney U test
Hình 3. 27: Nồng độ protein MBL trên các kiểu gen đơn bội khác nhau ở nhóm chứng và nhóm bệnh
Hình 3.27 chỉ ra kết quả so sánh nồng độ protein MBL giữa các kiểu gen đơn bội khác nhau của gen MBL2 ở nhóm chứng và nhóm bệnh. Ở cả
nhóm chứng (Hình 3.27A) và nhóm bệnh
(Hình 3.27B) sự
khác biệt về
nồng độ MBL giữa các các kiểu gen đơn bội đều có ý nghĩa thống kê với p
< 0,0001. Trong đó, nồng độ
HXPB.
MBL cao nhất
ở LXPB, thấp nhất kiểu gen
3.3.6. Mối liên quan giữa tính đa hình gen FCN2 và nồng độ protein Ficolin2 ở bệnh sốt xuất huyết Dengue
Để đánh giá
ảnh hưởng của tính đa hình gen
FCN2 tới nồng độ
protein Ficolin2 ở bệnh nhân sốt xuất huyết Dengue chúng tôi tiến hành so sánh nồng độ Ficolin2 giữa các kiểu gen của các điểm đa hình, giữa các kiểu gen đơn bội tạo bởi 3 SNP (+6031/+6220/+6424) và giữa các kiểu gen đơn bội tạo bởi 8 SNP của gen FCN2. Kết quả thu được như sau:

p: Kruskal–Wallis test
Hình 3. 28: So sánh nồng độ protein Ficolin2 giữa các kiểu gen của các điểm đa hình gen FCN2 ở nhóm bệnh
Hình 3.28 chỉ ra kết quả so sánh nồng độ protein Ficolin2 giữa các
kiểu gen của các điểm đa hình gen
FCN2
ở nhóm bệnh. Không thấy sự
khác biệt về
nồng độ
Ficolin2 giữa các kiểu gen
ở các điểm đa hình
986G/A; 902G/T; 602G/A, 4A/G và +6359C/T. Ngược lại, ở các điểm đa hình +6031A/G; +6220T/G và +6424G/T, nồng độ Ficolin2 cao nhất ở kiểu gen đồng hợp tử chính, giảm dần ở kiểu gen dị hợp tử và thấp nhất ở kiểu gen đồng hợp tử hiếm. Sự khác biệt có ý nghĩa thống kê với p < 0,0001.






