Bảng 3.19: So sánh tần suất kiểu gen đơn bội tạo bởi 3 SNP (+6031/+6220/
+6424) gen FCN2 giữa nhóm bệnh và nhóm chứng
Nhóm bệnh và Nhóm chứng p# OR (95% CI) | DHF và Nhóm chứng p# OR (95% CI) | DWS và Nhóm chứng p# OR (95% CI) | DHF và DWS pvalue# OR (95% CI). | |
ATG | Tham chiếu | Tham chiếu | Tham chiếu | Tham chiếu |
GGT | > 0,05 | > 0,05 | > 0,05 | > 0,05 |
ATT | | | | > 0,05 |
GTG | > 0,05 | > 0,05 | | |
GGG | > 0,05 | | > 0,05 | |
AGG | | | | > 0,05 |
AGT | | | | |
Có thể bạn quan tâm!
-
Tính Đa Hình Gen Fcn2 Ởcác Nhóm Đối Tượng Nghiên Cứu -
Nghiên cứu tính đa hình gen MBL2, FCN2 và nồng độ protein MBL, Ficolin-2 ở bệnh nhân sốt xuất huyết Dengue - 12 -
Mối Liên Quan Giữa Tính Đa Hình Gen Fcn2 Với Mức Độ Bệnh Và -
Mối Liên Quan Giữa Tính Đa Hình Gen Mbl2 Và Nồng Độ Mbl Huyết Thanh Ở Bệnh Sốt Xuất Huyết Dengue -
Đặc Điểm Chung Nhóm Bệnh Nhân Sốt Xuất Huyết Dengue -
Về Tính Đa Hình Gen Mbl2, Fcn2 Và Nồng Độ Protein Mbl, Ficolin 2 Ở Các Nhóm Đối Tượng Nghiên Cứu
Xem toàn bộ 189 trang tài liệu này.
# p: mô hình hồi quy nhị phân Logistic hiệu chỉnh theo tuổi và giới tính
Bảng 3.19 chỉ ra chưa thấy sự khác biệt về tần suất 7 loại kiểu gen
đơn bội
tạo bởi 3 SNP
(+6031/+6220/ +6424) gen FCN2 giữa các nhóm
nghiên cứu.

p: Mann–Whitney U test
Hình 3.12: Mối liên quan giữa kiểu gen đơn bội tạo bởi 3 SNP (+6031/+6220/
+6424) gen FCN2 và một số biểu hiện cận lâm sàng ở bệnh nhân SXHD
Hình 3.12 chỉ ra mối liên quan giữa các
kiểu gen đơn bội
tạo bởi 3
SNP (+6031/+6220/+6424) gen FCN2 và một số biểu hiện cận lâm sàng ở
bệnh nhân SXHD. Trong đó, có sự khác biệt về hoạt độ enzym GPT giữa
các kiểu
gen đơn bội
tạo bởi 3 SNP
(+6031/+6220/+6424) gen FCN2, sự
khác biệt có ý nghĩa thống kê với
p = 0,027. Chưa thấy sự
khác biệt về
hoạt độ enzym GOT và số lượng hồng cầu, bạch cầu, tiểu cầu và huyết sắc tố giữa các kiểu gen đơn bội tạo bởi 3 SNP (+6031/+6220/+6424) gen FCN2.
Bảng 3.20: So sánh tần suất kiểu gen đơn bội tạo bởi 8 SNP gen FCN2 giữa nhóm bệnh và nhóm chứng
Nhóm bệnh và Nhóm chứng p# OR (95% CI) | DHF và Nhóm chứng p# OR (95% CI) | DWS và Nhóm chứng p# OR (95% CI) | DHF và DWS p# OR (95% CI). | |
GCGAATCG | Tham chiếu | Tham chiếu | Tham chiếu | Tham chiếu |
GCGAGGCT | > 0,05 | > 0,05 | > 0,05 | > 0,05 |
GAGAATCG | > 0,05 | > 0,05 | > 0,05 | > 0,05 |
ACGGATTG | > 0,05 | > 0,05 | > 0,05 | > 0,05 |
Các haplotype hiếm | > 0,05 | > 0,05 | > 0,05 | > 0,05 |
# p: mô hình hồi quy nhị phân Logistic hiệu chỉnh theo tuổi và giới tính
Bảng 3.20 chỉ ra không thấy sự khác biệt về tần suất 4 loại kiểu gen đơn bội tạo bởi 8 điểm đa hình gen FCN2 giữa các nhóm nghiên cứu.

p: Mann–Whitney U test
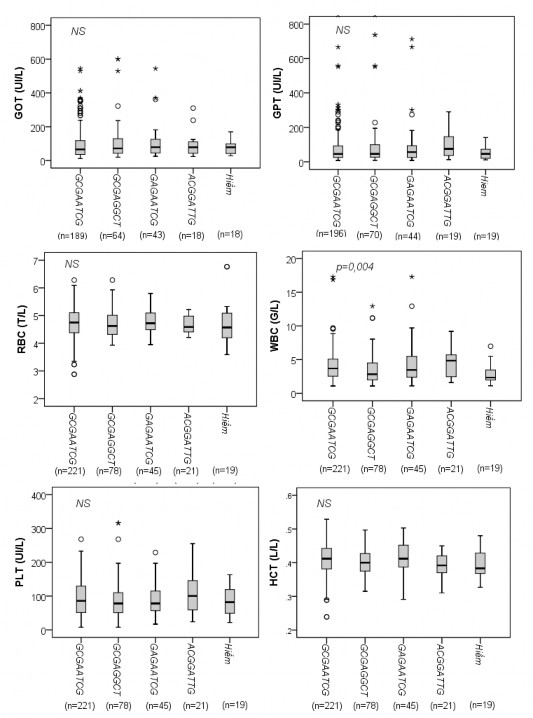
Hình 3.13: Mối liên quan giữa kiểu gen đơn bội tạo bởi 8 SNP gen FCN2 và một số biểu hiện cận lâm sàng ở bệnh nhân SXHD
Hình 3.13 chỉ ra mối liên quan giữa các
kiểu gen đơn bội
tạo bởi 8
SNP gen FCN2và một số
biểu hiện cận lâm sàng ở
bệnh nhân SXHD.
Trong đó, có sự khác biệt về số lượng bạch cầu giữa các kiểu gen đơn bội, cao nhất ở kiểu gen ACGGATTG, thấp nhất ở kiểu gen GCGAGGCT, sự khác biệt có ý nghĩa thống kê với p = 0,004. Chưa thấy sự khác biệt về hoạt độ enzym GOT, GPT và số lượng hồng cầu, bạch cầu, tiểu cầu và huyết sắc
tố giữa các
kiểu
gen đơn bội
tạo bởi 3 SNP
(+6031/+6220/+6424) gen
FCN2.
3.3.3. Mối liên quan giữa nồng độ protein MBL với mức độ bệnh và một số biểu hiện lâm sàng, cận lâm sàng trong bệnh sốt xuất huyết Dengue
Để đánh giá mối liên quan giữa nồng độ MBLvới mức độ bệnh và
một số biểu hiện lâm sàng, cận lâm sàng trong bệnh sốt xuất huyết
Dengue, chúng tôi tiến hành so sánh nồng độ MBL trung bình giữa các
nhóm bệnh, đánh giá mối tương quan giữa nồng độ MBL huyết thanh và
các triệu chứng định lượng khác, đánh giá khả năng phân biệt các mức độ lâm sàng của nồng độ MBL. Kết quả thu được như sau:

p: Mann–Whitney U test
Hình 3.14: So sánh nồng độ protein MBL ở các nhóm nghiên cứu
Kết quả trên Hình 3.14 chỉ ra không thấy sự khác biệt về nồng độ MBL huyết thanh ở các nhóm bệnh và nhóm chứng.

p: Mann–Whitney U test
Hình 3.15: So sánh nồng độ protein MBL giữa các nhóm âm tính và dương tính với kháng thể IgG, IgM đặc hiệu với virus Dengue
Kết quả trên Hình 3.15 chỉ ra không thấy sự khác biệt về nồng độ MBL huyết thanh giữa hai nhóm âm tính và dương tính với kháng thể IgG, IgM đặc hiệu với virus Dengue.

p: Mann–Whitney U test
Hình 3.16: So sánh nồng độ protein MBL ở nhóm có và không có dấu hiệu xuất huyết
Kết quả trên Hình 3.16 chỉ ra không thấy sự khác biệt về nồng độ MBL huyết thanh giữa các nhóm có dấu hiệu xuất huyết và không có dấu hiệu xuất huyết.

Hình 3.17: So sánh nồng độ protein MBL ở nhóm bệnh nhân nam và nữ Kết quả trên Hình 3.17 chỉ ra không thấy sự khác biệt về nồng độ
MBL huyết thanh giữa hai giới nam và nữ.
Bảng 3.21: Tương quan giữa nồng độ MBL và các triệu chứng cận lâm sàng
GOT (IU/ml) | GPT (IU/ml) | RBC (x103/ml) | WBC (x106/ml) | PLT (x103/ml) | HCT (%) | |||
MBL (ng/ml) | DHF | rs | 0,01 | 0,01 | 0,08 | 0,05 | 0,11 | 0,02 |
p | 0,9 | 0,94 | 0,31 | 0,58 | 0,17 | 0,71 | ||
DWS | rs | 0,12 | 0,03 | 0,02 | 0,18 | 0,07 | 0,02 | |
p | 0,29 | 0,80 | 0,86 | 0,07 | 0,52 | 0,87 |
Kết quả Bảng 3.21 chỉ ra không thấy sự tương quan giữa nồng độ
MBL huyết thanh và các chỉ số huyết học, hóa sinh ở cả 2 nhóm bệnh nhân sốt xuất huyết Dengue.

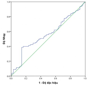
Hình 3. 18: Biểu đồ đường cong ROC của protein MBL trong phân biệt 2 nhóm bệnh DHF và DWS
Bảng 3. 22: Giá trị phân biệt 2 nhóm bệnh DHF và DWS của protein MBL
AUC | 95% CI | P | Độ nhạy (%) | Độ đặc hiệu (%) | Giá trị Cut off (ng/ml) | |
MBL | 0,561 | 0,4900,633 | 0.099 | 38,6 | 85,7 | 9808,11 |
Kết quả trên Hình 3.12 và Bảng 3.22 chỉ ra giá trị phân biệt 2 nhóm bệnh DHF và DWS của protein MBL. Chỉ số AUC khi dùng protein MBL
trong phân biệt 2 nhóm bệnh DHF và DWS là 0,561 thấp và p = 0,099 (>
0,05). Do đó, nồng độ MBL huyết thanh không có giá trị trong phân biệt 2 nhóm bệnh DHF và DWS.
3.3.4. Mối liên quan giữa nồng độ Ficolin2 với mức độ bệnh và một số biểu hiện lâm sàng, cận lâm sàng trong bệnh sốt xuất huyết Dengue
Để đánh giá mối liên quan giữa nồng độ Ficolin2 với mức độ bệnh
và một số biểu hiện lâm sàng, cận lâm sàng trong bệnh sốt xuất huyết
Dengue, chúng tôi tiến hành so sánh nồng độ Ficolin2 trung bình giữa các nhóm bệnh, đánh giá mối tương quan giữa nồng độ Ficolin2 huyết thanh và các triệu chứng định lượng khác, đánh giá khả năng phân biệt các mức độ lâm sàng của nồng độ Ficolin2. Kết quả thu được như sau:

p: Mann–Whitney U test
Hình 3. 19: So sánh nồng độ protein Ficolin2 giữa các nhóm nghiên cứu Hình 3.19 chỉ ra: nồng độ Ficolin2 ở nhóm DHF cao nhất sau đó đến
nhóm DWS và thấp nhất ở nhóm đối chứng. Sự khác biệt có ý nghĩa thống kê với lần lượt p < 0,0001; p < 0001 và p = 0,038.
Bên cạnh phân nhóm bệnh nhân theo mức độ
nặng nhẹ
của bệnh,
chúng tôi cũng phân nhóm theo kết quả xét nghiệm vi sinh vật gồm 2 nhóm âm tính và dương tính với kháng thể IgG, IgM đặc hiệu với virus Dengue.






