
Nguồn: Mô hình cấu trúc với các biến tiềm ẩn, Bollen, K.A(1989)
Hình 3.2: Mô hình cấu trúc
Mô hình SEM có thể có nhiều dạng khác nhau:
Một biến tiềm ẩn độc lập đơn có thể dự báo một biến tiềm ẩn phụ thuộc đơn
Vài biến tiềm ẩn đơn có thể tương quan trong dự báo một biến phụ thuộc nào đó
Một biến tiềm ẩn độc lập có thể dự báo một biến tiềm ẩn khác, rồi biến này dự báo một biến thứ ba
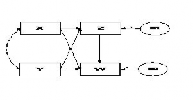
Mô hình xác lập (recursive)
Mô hình xác lập có 2 đặc điểm cơ bản:
Các số hạng sai số của nó không có tương quan với nhau
Mọi tác động nhân quả đều đơn hướng
Mô hình xác lập được sử dụng phổ biến trong các mô hình nghiên cứu nhờ ưu điểm là dễ mô hình hóa, có tính ổn định hơn nhiều so với mô hình Non-recursive, và luôn được xác định.

Nguồn: Mô hình cấu trúc với các biến tiềm ẩn, Bollen, K.A(1989)
Hình 3.3: Mô hình xác lập
X, Y: biến ngoại sinh. E: sai số
W, Z: biến nội sinh <----> Covariance (Tương quan)
Mô hình không xác lập (Non-Recursive)
Mô hình không xác lập có vòng lặp phản hồi giữa các biến nội sinh, hoặc: Khi hai biến nội sinh ảnh hưởng lẫn nhau, tức là có vòng lặp phản hồi (1), hoặc: Có vòng lặp giữa hai biến nội sinh và các số hạng sai số của hai biến nội sinh (2).
Mô hình không xác lậpchỉ có tính tạm thời, không ổn định so với mô hình xác lập. Ngoài ra, mô hình xác lập dễ sử dụng nên thông thường nếu có thể các nhà nghiên cứu thường quy đổi mô hình không xác lậpvề mô hình xác lập.

Nguồn: Mô hình cấu trúc với các biến tiềm ẩn, Bollen, K.A(1989)
Hình 3.4: Mô hình không xác lập
Mô hình bão hòa (Saturated Model)
Mô hình bão hòa chưa rất nhiều thông số cần ước lượng bằng với số đầu vào (input) trong phân tích. Vì vậy mô hình này có bậc tự do (df=0), đây là mô hình ít hạn chế (ràng buộc) nhất mà nó có thể phù hợp với bộ dữ liệu

Nguồn: Mô hình cấu trúc với các biến tiềm ẩn, Bollen, K.A(1989)
Hình 3.5: Mô hình bão hòa
Mô hình độc lập của SEM
Mô hình độc lập là mô hình có nhiều ràng buộc nhất mà nó có thể phù hợp với bộ dữ liệu, có thể tối đa số bậc tự do. Nó chỉ chứa các ước lượng phương sai của các biến quan sát, tức là giả định các quan hệ giữa các biến quan sát không có.

Nguồn: Mô hình cấu trúc với các biến tiềm ẩn, Bollen, K.A(1989)
Hình 3.6: Mô hình độc lập của SEM
Mô hình SEM tổng quát
Cho phép mô hình gồm nhiều khái niệm tiềm ẩn được chỉ báo bởi các biến quan sát (độc lập và phụ thuộc) và cho các quan hệ ổn định (Recursive) và không ổn định (Non-Recursive) giữa các biến khái niệm. Tóm lại, mô hình SEM là sự kết hợp giữa mô hình đo lường và mô hình cấu trúc.
3.2.4. Các bước thống kê trong SEM
Bước 1: Kiểm tra độ tin cậy của thang đo
Bằng hệ số Cronbach’s Alpha (Hair và cộng sự, 1998[86]; Segar, 1997[150])
Ước lượng các hệ số hồi quy và tvalue
Phân tích nhân tố khẳng định (CFA): thực hiện trên mô hình đo lường để loại các biến có hệ số tải nhân tố tiềm ẩn thấp. Có thể thực hiện kiểm định CFA trên từng mô hình con (Submodel) trước khi kiểm định mô hình tổng thể (tập hợp các mô hình con để kiểm định đồng thời).
Thống kê SMC (Square Multiple Correlation) cho mỗi khái niệm tiềm ẩn ngoại sinh (kết quả phân tích CFA của mô hình đo lường nêu trên), tương tự hệ số R2 trong hồi quy tuyến tính, SMC là phương sai giải thích mỗi khái niệm tiềm ẩn (Bollen, 1989[43])
Bước 2: Mức độ phù hợp của tổng thể mô hình
Bản chất của mô hình SEM là đòi hỏi các nhà nghiên cứu trước hết thực hiện khai báo các giá trị xuất phát ban đầu được gọi là mô hình giả thuyết. Từ mô hình giả thuyết, thông qua một chuỗi vòng lặp các chỉ số biến đổi để cuối cùng cung cấp cho nhà nghiên cứu một mô hình xác lập, có khả năng giải thích tối đa sự phù hợp
giữa mô hình với bộ dữ liệu thu thập thực tế.
Sự phù hợp của toàn bộ mô hình trên thực tế được đánh giá thông qua các tiêu chí về mức độ phù hợp như sau:
Kiểm định Chi-Square (χ2): biểu thị mức độ phù hợp tổng quát của toàn bộ
mô hình tại mức ý nghĩa pv=0.05 (Joserkog & Sorbom, 1989[99]). Điều này thực tế rất khó xảy ra bởi vì χ2 rất nhạy với kích thước mẫu lớn và độ mạnh của kiểm định,, nên thực tế người ta dùng chỉ số χ2/df để đánh giá.
Tỷ số Chi-Square/bậc tự do (χ2/df): cũng dùng để đo mức độ phù hợp một cách chi tiết hơn của cả mô hình. Một số tác giả đề nghị 1< χ2/df<3 (Hair và cộng sự, 1998)[86]; một số khác đề nghị χ2/df càng nhỏ càng tốt (Segar, Grover, 1993)[150] và cho rằng χ2/df<3:1 (Chin& Todd, 1995)[51]. Ngoài ra, một số nghiên cứu thực tế phân biệt ra hai trường hợp: χ2/df<5 (với mẫu N>200); hay <3 (khi mẫu N<200) thì mô hình được xem là phù hợp tốt (Kettingger và Lee, 1995)[103].
Các chỉ số liên quan khác: GFI, AGFI, CFI, NFI… có giá trị >0.9 được xem là mô hình phù hợp tốt. Nếu giá trị này bằng 1, ta nói mô hình là hoàn hảo (Segar, Grover, 1993)[150], (Chin & Todd, 1995)[51].
GFI: đo độ phù hợp tuyệt đối (không điều chỉnh bậc tự do) của mô hình cấu trúc và mô hình đo lường với bộ dữ liệu
AGFI: điều chỉnh giá trị GFI theo bậc tự do trong mô hình
RMR: một mặt đánh giá phương sai phần dư biến quan sát; mặt khác đánh giá tương quan phần dư của 1 biến quan sát này với tương quan phần dư của một biến quan sát khác. RMR càng lớn nghĩa là phương sai phần dư càng cao, nó phản ánh một mô hình có độ phù hợp tốt.
RMSEA: là một chỉ tiêu quan trọng, nó xác định mức độ phù hợp của mô hình với tổng thể. Trong tạp chí nghiên cứu IS, các tác giả cho rằng chỉ số RMSEA, RMR yêu cầu <0.05 thì mô hình phù hợp tốt. Trong một số trường hợp giá trị này
<0.08 mô hình được chấp nhận (Taylor, Sharland, Cronin và Bullard, 1993)[157].
NFI: đo sự khác biệt phân bố chuẩn của χ2 giữa mô hình độc lập (đơn nhân tố, có các hệ số bằng 0) với phép đo phương sai và mô hình đa nhân tố.
NFI = (χ2null - χ2proposed)/ χ2null = (χ2Mo- χ2Mn)/ χ2Mo
Mo: Mô hình gốc; Mn: Mô hình phù hợp.
Giá trị đề nghị NFI>0.9 (Hair và cộng sự, 1998)[86] & (Chin &Todd,1995)[51]
Mức xác suất: giá trị >0.05 được xem là mô hình phù hợp tốt (Rupp & Segal, 1989)[145]. Điều này có nghĩa là không thể bác bỏ Ho (là giả thuyết mô hình tốt), tức là không tìm kiếm được mô hình nào tốt hơn mô hình hiện tại.
Bước 3: Các chỉ số điều chỉnh mô hình (MI – Modigication Indices)
Chỉ số điều chỉnh mô hình là chỉ số ước lượng sự thay đổi của χ2 ứng với mỗi trường hợp thêm vào một mối quan hệ khả dĩ (ứng với một bậc tự do). Nếu
∆ χ2>3.84 (ứng với một bậc tự do), cho phép ta đề nghị một mối quan hệ làm
tăng độ phù hợp của mô hình (Hair và cộng sự,1998)[86]. Tuy vậy, nhà nghiên cứu nên thận trọng bởi vì mối quan hệ thêm vào mô hình chỉ được xem xét khi nó ủng hộ lý thuyết và không nên cố gắng mọi cách để cải thiện các chỉ số nhằm làm cho mô hình phù hợp hơn (Hair và cộng sự, 1998)[86]. Các chỉ số phù hợp tốt chỉ ra rằng dữ liệu ủng hộ mô hình đề nghị, nhưng chúng không có nghĩa rằng mô hình lựa chọn là chính xác hay là mô hình tốt nhất trong số các mô hình khả thi về mặt lý thuyết.
Bước 4: Kiểm tra ước lượng mô hình bằng phương pháp Boostrap
Mô hình cuối cùng cũng như các mô hình phù hợp khác cần thiết phải có bộ dữ liệu độc lập với nhau, hay với cỡ mẫu ban đầu khá lớn. Trong phương pháp nghiên cứu định lượng bằng phương pháp lấy mẫu, thông thường chúng ta phải bằng cách chia mẫu thành 2 mẫu con. Mẫu thứ nhất dùng để ước lượng các tham số mô hình và mẫu thứ hai dùng để đánh giá lại:
a. Định cỡ mẫu con thứ nhất dùng để khám phá
b. Dùng cỡ mẫu thứ hai để đánh giá chéo
Chỉ số đánh giá chéo CVI (Cross- Validation Index) đo khoảng cách giữa ma trận. Covariance phù hợp trong mẫu con thứ nhất với ma trận Covariance của mẫu.
Chỉ số CVI nhỏ nhất cho phép kỳ vọng trạng thái mẫu lặp lại càng ổn định.
Cách khác là lặp lại nghiên cứu bằng mẫu khác. Hai cách trên đây thường không thực tế vì phương pháp phân tích mô hình cấu trúc thường đòi hỏi mẫu lớn nên việc làm này tốn kém nhiều thời gian, chi phí (Anderson & Gerbing, 1998)[24]. Trong những trường hợp như vậy thì Boostrap là phương pháp phù hợp để thay thế. Boostrap là phương pháp lấy mẫu lại có thay thế trong đó mẫu ban đầu đóng vai trò đám đông.
Phương pháp Boostrap thực hiện với số mẫu lặp lại N lần. Kết quả ước lượng từ N mẫu được tính trung bình và giá trị này có xu hướng gần đến ước lượng của tổng thể. Khoảng chếnh lệch giữa giá trị trung bình ước lượng bằng Boostrap và ước lượng mô hình với mẫu ban đầu càng nhỏ cho phép kết luận các ước lượng mô hình có thể tin cậy được.
3.2.5. Công cụ xử lý, phân tích dữ liệu trong SEM
Hiện nay có nhiều công cụ phần mềm hỗ trợ quá trình thống kê, phân tích và xác đih mô hình SEM như: AMOS, LISREL, EQS, MPLUS… được các nhà nghiên cứu sử dụng rất phổ biến trong các đề tài nghiên cứu.
Trong nghiên cứu này, tác giả sử dụng kết hợp 2 phần mềm là SPSS 18 để xử lý dữ liệu và MPLUS 6.11 để chạy mô hình SEM vì đây là phần mềm có thể chạy SEM đơn giản và hiệu quả, có thể chạy được các biến trung gian tác động một cách dễ dàng.
KẾT LUẬN CHƯƠNG 3
Quá trình nghiên cứu luận án được thực hiện qua 6 bước: tổng quan nghiên cứu, xây dựng bảng hỏi thu thập số liệu, chạy mô hình đo lường, mô hình SEM, tổng hợp kết quả và kết luận.
Thang đo được sử dụng là Likert 7 điểm, bảng hỏi được phát tới các khách hàng của các ngân hàng thương mại có sử dụng dịch vụ ngân hàng điện tử. Số lượng bảng hỏi thu về đủ điều kiện là 511 bảng hỏi.
Các biến của mô hình được kiểm tra độ tin cậy thông qua việc tính hệ số Cronbach’s Alpha, sau khi tính toán tất cả các biến đều có hệ số Cronbach’Alpha > 0.8, chứng tỏ đều đủ độ tin cậy để chạy mô hình.
Phương pháp mô hình cấu trúc tuyến tính (SEM) sẽ được sử dụng để chạy mô hình và kiểm định các giả thuyết. SEM là phương pháp ưu việt trong việc kiểm định một tập hợp các mối quan hệ tuyến tính.
Để chạy SEM có thể sử dụng nhiều phần mềm khác nhau như AMOS, LISREL, EQS, MPLUS… tuy nhiên trong luận án phần mềm MPLUS 6.11 được sử dụng bởi đây là phầm mềm có tính năng mạnh mẽ nhưng sử dụng đơn giản.
Các phương pháp nghiên cứu và công cụ hỗ trợ này sẽ được sử dụng để
nghiên cứu trong chương tiếp theo.
CHƯƠNG 4
KẾT QUẢ NGHIÊN CỨU
4.1. Khái quát về dịch vụ ngân hàng điện tử tại Việt Nam
4.1.1. Tình hình sử dụng internet tại Việt Nam
Trong những năm gần đây, cùng với sự tăng trưởng kinh tế mạnh mẽ, Việt Nam là một trong những nước có tốc độ tăng trưởng trong sử dụng Internet mạnh mẽ.
Bảng 4.1. Thống kê số người sử dụng internet tại Việt Nam
Số người sử dụng internet** | Tốc độ tăng | Số người sử dụng mới | Dân số | Tốc độ tăng dân số | Tỷ lệ dân sử dụng internet (% so với dân số) | Tỷ lệ dân số so với dân số thế giới | Tỷ lệ số người sử dụng internet so với thế giới | Thứ hạng trên thế giới | |
2014* | 39,772,424 | 9% | 3,180,007 | 92,547,959 | 0.95% | 42.97% | 1.28% | 1.36% | 14 |
2013* | 36,592,417 | 2% | 737,168 | 91,679,733 | 0.97% | 39.91% | 1.28% | 1.35% | 12 |
2012 | 35,855,249 | 14% | 4,322,425 | 90,795,769 | 0.98% | 39.49% | 1.28% | 1.42% | 12 |
2011 | 31,532,824 | 16% | 4,239,797 | 89,913,956 | 0.97% | 35.07% | 1.28% | 1.38% | 14 |
2010 | 27,293,027 | 17% | 3,875,928 | 89,047,397 | 0.96% | 30.65% | 1.29% | 1.33% | 15 |
2009 | 23,417,099 | 12% | 2,518,386 | 88,199,997 | 0.95% | 26.55% | 1.29% | 1.33% | 15 |
2008 | 20,898,713 | 16% | 2,934,212 | 87,369,203 | 0.94% | 23.92% | 1.29% | 1.33% | 15 |
2007 | 17,964,502 | 21% | 3,169,125 | 86,553,201 | 0.94% | 20.76% | 1.30% | 1.31% | 15 |
2006 | 14,795,377 | 37% | 3,973,081 | 85,747,625 | 0.94% | 17.25% | 1.30% | 1.28% | 14 |
2005 | 10,822,296 | 68% | 4,391,160 | 84,947,852 | 0.95% | 12.74% | 1.30% | 1.05% | 14 |
2004 | 6,431,137 | 104% | 3,280,174 | 84,150,651 | 0.96% | 7.64% | 1.31% | 0.71% | 17 |
2003 | 3,150,962 | 106% | 1,619,703 | 83,352,595 | 0.98% | 3.78% | 1.31% | 0.40% | 17 |
2002 | 1,531,259 | 48% | 496,858 | 82,547,682 | 1.00% | 1.85% | 1.31% | 0.23% | 19 |
2001 | 1,034,401 | 403% | 828,745 | 81,728,768 | 1.04% | 1.27% | 1.32% | 0.21% | 17 |
2000 | 205,656 | 99% | 102,479 | 80,887,879 | 1.08% | 0.25% | 1.32% | 0.05% | 19 |
* ước tính ** Số người sử dụng interner = cá nhân mà có thể truy cập vào internet tại nhà, thông qua bất kỳ loại thiết bị và kết nối. | |||||||||
Có thể bạn quan tâm!
-
Nghiên cứu mối quan hệ giữa chất lượng dịch vụ ngân hàng điện tử với mức độ thỏa mãn và mức độ trung thành của khách hàng ở Việt Nam - 7 -
Tổng Hợp Các Biến Của Mô Hình -
Tổng Hợp Hệ Số Cronchbach Alpha Của Các Biến -
Số Người Sử Dụng Internet Tại Các Nước Đông Nam Á Năm 2014 -
Các Tổ Chức Cung Cấp Dịch Vụ Ví Điện Tử Tại Việt Nam -
Mức Độ Phù Hợp Của Các Mô Hình Và Hệ Số Tương Quan
Xem toàn bộ 184 trang tài liệu này.
Nguồn: www.InternetLiveStats.com. Dữ liệu thống kê bởi Liên minh Viễn thông Quốc tế (ITU), Ngân hàng Thế giới và Ban Dân số Liên Hợp Quốc






