3.3.4. Phân suất tống máu

(Phép kiểm t bắt cặp)
Biểu đồ 3.11. Thay đổi phân suất tống máu (EF)
Nhận xét: Phân suất tống máu trước phẫu thuật là 67,7%. Sau phẫu thuật, và trong suốt quá trình theo dòi, đa số các bệnh nhân có phân suất tống máu ≥ 50%, giảm có ý nghĩa thống kê so với trước phẫu thuật, tuy nhiên vẫn trong giới hạn bình thường với trung bình là 63% và bệnh nhân hoàn toàn ổn định.
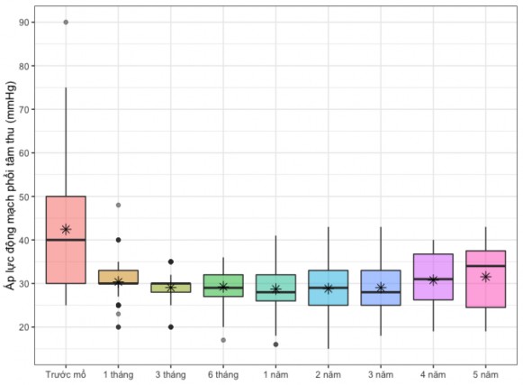
3.3.5. Áp lực động mạch phổi tâm thu

(Phép kiểm t bắt cặp)
Biểu đồ 3.12. Thay đổi áp lực động mạch phổi tâm thu (PAPs)
Nhận xét: Áp lực động mạch phổi tâm thu giảm trong giai đoạn hậu phẫu cũng như giai đoạn theo dòi trung hạn, sự khác biệt giữa hai giai đoạn sau mổ và giai đoạn trước mổ đều có ý nghĩa thống kê. Áp lực động mạch phổi tâm thu cải thiện rất tốt. Trung bình trước phẫu phuật, đa số bệnh nhân bị tăng áp động mạch phổi, trung bình là 42,4mmHg. Sau phẫu thuật 1 tháng, áp lực động mạch phổi giảm, trung bình là 30,4mmHg, và sau 3 tháng giữ ổn định với áp lực trung bình là 28mmHg.
Chương 4: BÀN LUẬN
Dựa trên kết quả nghiên cứu của 100 trường hợp phẫu thuật sửa sa van hai lá sử dụng dây chằng nhân tạo tại Viện Tim Thành phố Hồ Chí Minh từ năm 2015 đến năm 2018, chúng tôi có những bàn luận về các đặc điểm lâm sàng, cận lâm sàng, kết quả phẫu thuật sớm, kết quả trung hạn, cũng như sự cải thiện hình thái cấu trúc thất trái, được trình bày như sau:
4.1. Bàn luận về đặc điểm chung của nghiên cứu
4.1.1. Đặc điểm lâm sàng
4.1.1.1. Tuổi và chỉ số khối cơ thể
Mô hình bệnh lý van hai lá theo tuổi biến đổi cùng với nguyên nhân sinh bệnh. Bệnh van hai lá thoái hóa thường xuất hiện ở người lớn tuổi. Tác giả Nkomo VT. và cộng sự thực hiện một nghiên cứu trên một dân số 11.911 người lớn được lựa chọn bất kì tại Mỹ và đánh giá bệnh lý van tim bằng siêu âm tim [80]. Trong nghiên cứu này, tỉ lệ bệnh nhân mắc bệnh van tim ước lượng vào khoảng 2,5%, không có sự khác biệt về giới tính. Tỉ lệ bệnh nhân mắc bệnh hở van hai lá 1,7%. Tỉ lệ bệnh van tim tăng dần theo tuổi như sau:
<2% ở bệnh nhân < 65 tuổi, 8,5% ở bệnh nhân 65 – 75 tuổi và 13,2% ở bệnh nhân > 75 tuổi.
Bảng 4.1 Tuổi nhóm đối tượng nghiên cứu
n | Tuổi trung bình | |
Tirone E. David (2012) [94] | 606 | 57,2 ± 13 |
Salvador L (2008) [66] | 608 | 55 ± 11 |
Patrick Perier [81] | 225 | 67 ± 12,9 |
Chúng tôi | 100 | 51,6 ± 10,9 |
Có thể bạn quan tâm!
-
Thời Gian Kẹp Động Mạch Chủ, Tuần Hoàn Ngoài Cơ Thể, Bảo Vệ Cơ Tim Và Các Thông Số Khác Của Phẫu Thuật -
Các Thông Số Hồi Sức Sau Phẫu Thuật -
Đánh Giá Kết Quả Ngắn Hạn Và Trung Hạn [12], [35] -
Phân Suất Tống Máu, Áp Lực Tâm Thu Động Mạch Phổi Và Đường Kính Các Buồng Tim Trước Phẫu Thuật -
Cách Xác Định Chiều Dài Dây Chằng Nhân Tạo -
Đánh Giá Kết Quả Sửa Van Thông Qua Siêu Âm Tim Qua Thực Quản:
Xem toàn bộ 182 trang tài liệu này.
Trong nghiên cứu của chúng tôi, tuổi trung bình 51,6±10,9 tuổi, thấp nhất 23 tuổi, cao nhất 77 tuổi, đa số bệnh nhân thuộc nhóm tuổi trung niên và lớn tuổi. Nếu phẫu thuật sớm sẽ giúp bệnh nhân có khả năng lao động và khả năng làm việc tốt. Nghiên cứu của chúng tôi có độ tuổi trung bình thấp hơn so với Tirone E. David và Salvador L. Sự khác biệt trên do nguyên nhân gây hở van hai lá ở các nước phát triển do thoái hóa van, Việt Nam là một nước đang phát triển, tỉ lệ bệnh nhiễm trùng và hậu thấp khá cao dù tỉ lệ thoái hóa van được ghi nhận ngày càng tăng.
Trong nghiên cứu của chúng tôi, đa số bệnh nhân có BMI bình thường với 69 trường hợp, chiếm 69%; bệnh nhân nhẹ cân hay thừa cân đều ảnh hưởng đến kết quả của phẫu thuật. Adams H. David và cộng sự [33] đánh giá ảnh hưởng của BMI và albumin máu lên tỉ lệ tử vong và biến chứng sau phẫu thuật tim, các tác giả ghi nhận BMI < 20 và nồng độ albumin thấp hơn 25 g/dL là các yếu tố độc lập làm tăng tỉ lệ tử vong và tỉ lệ biến chứng sau mổ (p
< 0.0005). Tỉ lệ tử vong cao nhất thuộc nhóm BMI thấp có kèm albumin thấp. Các yếu tố này cũng làm tăng nguy cơ chảy máu, suy thận, thở máy kéo dài và nằm hồi sức kéo dài.
Ngược lại, BMI > 30 làm tăng nguy cơ nhiễm trùng vết mổ, viêm phổi, suy thận. Vì vậy, cần đánh giá BMI của bệnh nhân trước phẫu thuật van hai lá sử dụng dây chằng nhân tạo, giúp lượng giá kết quả phẫu thuật, cải thiện tỉ lệ tử vong và tỉ lệ biến chứng sớm sau phẫu thuật.
4.1.1.2. Giới tính
Theo nghiên cứu của các tác giả trong nước và trên thế giới, tỷ lệ mắc bệnh hở van hai lá nam giới luôn lớn hơn so với nữ giới.
Bảng 4.2. Tỷ lệ nam, nữ trong các nghiên cứu
n | Nam / Nữ | |
Tirone E. David (2012) | 606 | 73,6% / 26,4% |
Salvador L (2008) | 608 | 71,2% / 28,8% |
Patrick Perier (2008) | 225 | 67% / 33% |
Chúng tôi | 100 | 62% / 38% |
Trong nghiên cứu của chúng tôi, nam giới chiếm 62% và nữ giới là 38%. Tỉ lệ nam cao hơn nữ giống với các tác giả khác.
4.1.1.3. Triệu chứng lâm sàng
Triệu chứng cơ năng của hở van hai lá tùy thuộc vào độ nặng hở van, mức độ tiến triển bệnh lý nhanh hay chậm, áp lực động mạch phổi, tổn thương van tim, cơ tim và động mạch vành phối hợp. Triệu chứng cơ năng nặng dự đoán tiên lượng xấu khi phẫu thuật [2],[12].
Trong nghiên cứu của chúng tôi, triệu chứng nhập viện của bệnh nhân chủ yếu là mệt và khó thở khi gắng sức, đây là những triệu chứng cơ năng thường gặp trong bệnh lý hở van hai lá. Trên lâm sàng, có đến 89% bệnh nhân có triệu chứng cơ năng của suy tim, điều này chứng tỏ mệt và khó thở đã xuất hiện từ rất sớm ngay cả khi phân suất tống máu trung bình trong giới hạn bình thường, ít có sự tương quan giữa phân suất tống máu và mức độ suy tim trên lâm sàng. Khi khám bệnh, cần thăm khám thật chi tiết tránh bỏ sót các triệu chứng suy tim. Tác giả John S. Gottdiener (2004) chỉ ra rằng EF bình thường ở bệnh nhân có hở van hai lá mạn tính chỉ điểm đã có rối loạn chức năng thất trái tiềm ẩn. Tác giả ghi nhận EF < 60% ở bệnh nhân hở van hai lá mạn tính đã có rối loạn chức năng thất trái với các triệu chứng suy tim biểu hiện rò trên lâm sàng và cần chỉ định phẫu thuật.
4.1.1.4. Phân độ suy tim theo NYHA trước phẫu thuật
Việc đánh giá mức độ suy tim rất quan trọng trong lựa chọn thời điểm phẫu thuật và tiên lượng bệnh nhân. Những bệnh nhân hở van hai lá nặng kèm triệu chứng cơ năng rò NYHA III, IV cần được phẫu thuật sớm vì nguy cơ tử vong cao nếu bệnh lý kéo dài [2],[12].
Bảng 4.3. Phân độ suy tim trước phẫu thuật với các nghiên cứu khác
Phân độ suy tim theo NYHA | ||||
Độ I | Độ II | Độ III | Độ IV | |
S. Ragnarsson [84] | 56% | 44% | ||
Tirone E. David | 54.6% | 45.4% | ||
Patrick Perier | 21,7% | 23,7% | 37,3% | 17,3% |
Chúng tôi | 11% | 86% | 3% | 0% |
Kết quả phân bố bệnh nhân theo mức độ suy tim trong nghiên cứu của chúng tôi, 97% bệnh nhân có biểu hiện suy tim NYHA I và II, 3% bệnh nhân suy tim độ NYHA III, không có suy tim NYHA IV. Sự khác biệt về phân độ NYHA giữa nghiên cứu của chúng tôi với các tác giả khác là thời điểm quyết định phẫu thuật sửa van hai lá cho bệnh nhân trong giai đoạn sớm của bệnh. Các tác giả trên thế giới ghi nhận trong các nghiên cứu có khoảng 1/2 số trường hợp suy tim mức độ NYHA III – IV trước khi phẫu thuật. Việc trì hoãn phẫu thuật sửa van hai lá do thoái hóa làm ảnh hưởng đến kết quả điều trị sau này, bởi vì dài dây chằng hoặc đứt dây chằng là những tổn thương không thể tự hồi phục. Điều này ảnh hưởng đến tỷ lệ tử vong cũng như biến chứng sau khi bệnh nhân được phẫu thuật.
4.1.1.5. Nhịp tim trước phẫu thuật
Rung nhĩ là một yếu tố độc lập liên quan đến nguy cơ cao đột tử và suy tim cũng là một yếu tố độc lập làm giảm tỉ lệ sống lâu dài sau phẫu thuật ở
bệnh nhân hở van hai lá mạn tính. Ngoài ra, với những bệnh nhân hở van hai lá có kèm rung nhĩ mạn tính, nguy cơ cao với thuyên tắc mạch do huyết khối trong diễn tiến của bệnh [10],[12].
Bảng 4.4. Nhịp tim trước phẫu thuật
Nhịp xoang | Rung nhĩ | |
Tirone E. David | 476 (78,6%) | 130 (21,3%) |
Salvador L | 489 (80,8%) | 117 (19,2%) |
Chúng tôi | 74 (74%) | 26 (26%) |
Trong nghiên cứu của chúng tôi, tỉ lệ rối loạn nhịp trước phẫu thuật là 26% và nhịp xoang là 74%. Đa số trường hợp còn nhịp xoang trước phẫu thuật, tỉ lệ này cũng tương đồng với các tác giả khác. Tuy nhiên đường kính nhĩ trái chúng tôi lại cao hơn với 46,9 ± 11.12mm, lớn nhất là 74mm. Các rối loạn nhịp xảy ra chủ yếu liên quan đến đường kính nhĩ trái lớn do thương tổn hở van hai lá mạn tính kéo dài. Tuy nhiên không có bệnh nhân với tiền căn bị thuyên tắc mạch do huyết khối.
4.1.2. Đặc điểm siêu âm tim qua thành ngực trong nghiên cứu
4.1.2.1. Độ hở van hai lá trước phẫu thuật
Cho đến nay, siêu âm tim vẫn là một cận lâm sàng quan trọng trong chẩn đoán và theo dòi điều trị bệnh lý tim mạch nói chung và hở van hai lá nói riêng. Siêu âm tim giúp xác định chẩn đoán, lượng giá độ nặng, chỉ định phẫu thuật, theo dòi kết quả trong và sau phẫu thuật [12].
Đa số các trường hợp có độ hở van hai lá trên siêu âm tim thành ngực trước phẫu thuật ở mức độ 3 hoặc độ 4. Các nghiên cứu của các tác giả khác cũng ghi nhận tương tự. Tác giả Patrick Perier ghi nhận trước phẫu thuật, tỷ lệ mức độ hở van trong nghiên cứu như sau: độ 1 (0%), độ 2 (0,9%), độ 3 (62,8%), độ 4 (36,3%) [81].
Tác giả Ngô Chí Hiếu nhận định, hở van hai lá nặng đến rất nặng ảnh hưởng đến khả năng hồi phục sau phẫu thuật vì đây là yếu tố tiên lượng độc lập đến tỷ lệ tử vong cũng như biến chứng sau phẫu thuật [3].
Trong nghiên cứu của chúng tôi, độ hở van hai lá trước phẫu thuật ghi nhận có 88% hở van hai lá độ 4, và 12% hở van hai lá độ 3. Tỉ lệ hở van hai lá từ nặng đến rất nặng là rất cao cùng tỉ lệ suy tim cao, chứng tỏ tình trạng bệnh lý nặng trước phẫu thuật, khó khăn trong giai đoạn phẫu thuật và hồi sức bệnh nhân.
Theo phân loại Carpentier về hở van hai lá trên siêu âm tim qua thành ngực trước phẫu thuật, các nghiên cứu đã ghi nhận:
Bảng 4.5. Phân loại hở van hai lá trên siêu âm tim theo Carpentier của các nghiên cứu
Hở loại I | Hở loại II | Hở loại IIIa | Hở loại IIIb | |
Braunberger E. | 6% | 94% | 0% | 0% |
Adams H. David | 100% | |||
M. EI Gabry | 100% | |||
Chúng tôi | 100% |
Trong nghiên cứu của chúng tôi, phân loại hở van hai lá theo thương tổn của Carpentier trước phẫu thuật cho thấy thương tổn loại II là 100%, giống với nhiều tác giả khác như M. EI Gabry, Adams H. David. Đây là thương tổn đặc trưng của sa lá van. Ngoài ra những thương tổn phối hợp như vòng van biến dạng, dãn vòng van cũng được ghi nhận trong nghiên cứu của tác giả Braunberger E. (năm 2001) có 6% trường hợp.[21],[33],[75]



![Đánh Giá Kết Quả Ngắn Hạn Và Trung Hạn [12], [35]](https://tailieuthamkhao.com/uploads/2022/06/10/nghien-cuu-ap-dung-phuong-phap-sua-van-su-dung-day-chang-nhan-tao-trong-benh-12-1-120x90.jpg)


