2i
t
![]()
it
c 01 (t) c 00 (t) sin e 2 ,
![]()
Có thể bạn quan tâm!
-
Trạng Thái Lượng Tử Của Qubit Ứng Với Các Điểm Trên Mặt Cầu Bloch -
Kéo Lượng Tử Phi Tuyến Dựa Trên Các Dao Động Tử Phi Tuyến Kerr -
Bộ Nối Phi Tuyến Tương Tác Tuyến Tính Được Bơm Một Mode -
Độ Tin Cậy Của Trạng Thái Cắt Trong Bộ Nối Phi Tuyến Tương Tác Phi Tuyến -
Xác Suất Để Hệ Tồn Tại Trong Các Trạng Thái Kiểu Bell -
Sự Tiến Triển Của Entropy Đan Rối (Đơn Vị Ebit) Của Trạng Thái Cắt Đối Với Các
Xem toàn bộ 144 trang tài liệu này.
00 01
2
it
it
01
t i
![]()
t e 2 e
![]()
![]()
![]()
![]()
c01
(t) cos
2
sin
2 2
it
,
2
it
(2.22)
01
t i
![]()
t e 2 e
![]()
![]()
![]()
![]()
c10
(t) cos
2
sin
2 2 2 ,
2i
t
![]()
it
c 01 (t) c 00 (t) sin e 2 .
![]()
11 10
2
![]()
![]()
![]()
![]()
![]()
![]()
cut a b
Khi các mode của hệ ban đầu ở trong các trạng thái (t 0) 1 0 và
cut a b
(t
1![]()
1
, ta cũng tìm được sự tiến triển của hệ đối với bộ nối được bơm hai mode có dạng tương tự với trường hợp được bơm một mode.
Để đánh giá chất lượng của phép cắt các trạng thái quang học, ta ứng
![]()
![]()
![]()
dụng độ tin cậy như một phép đo sự khác nhau giữa trạng thái cắt hai qubit
ˆcut
(t)
cutcut
(t)
, cho bởi (2.12), và trạng thái ra thực tế tính số từ:
ˆ (t)
(t)
được
![]()
![]()
(t)
exp( iHˆt) | 0
| 0
, (2.23)
a b
đối với không gian Hilbert hai mode. Độ tin cậy của trạng thái được định nghĩa bởi [68]:
1
![]()
![]()
2
F (, ˆcut ) Tr
ˆcut ˆ
ˆcut 2
, (2.24)
Độ tin cậy đối với phép cắt hoàn hảo bằng 1. Hình 2.3 trình bày độ tin cậy của trạng thái cắt. Từ Hình 2.3, ta thấy rằng độ tin cậy của trạng thái cắt xấp xỉ bằng một, tức là kết quả giải tích thu được là khá chính xác. Hơn nữa, độ tin cậy của trạng thái cắt đối với bộ nối phi tuyến được bơm hai mode nhỏ hơn so với bộ nối phi tuyến được bơm một mode, nghĩa là phép cắt đối với bộ nối được bơm một mode là chính xác hơn. Điều đó chứng tỏ rằng trạng thái cắt thu được có độ chính xác rất cao so với kết quả thu được trong [20].

t [10-5s]
Hình 2.3: Độ tin cậy của trạng thái cắt đối với bộ nối phi tuyến tương tác tuyến tính được bơm một mode (đường nét liền) và hai mode (đường chấm chấm) với hệ số phi tuyến
8 5
a b 10 rad/s, 510 rad/s và các mode ban đầu ở trạng thái chân không
Chúng tôi sẽ sử dụng các biên độ xác suất phức thu được ở các phần trên để khảo sát sự tạo ra các trạng thái kiểu Bell ở phần tiếp theo.
2.1.2. Sự tạo ra trạng thái đan rối trong bộ nối phi tuyến tương tác tuyến tính
Chúng ta đã biết rằng sự đan rối của trạng thái thuần hai thành phần, mô
tả bởi ma trận mật độ
, có thể được mô tả bởi entropy von Neumann của
![]()
![]()
![]()
ma trận mật độ rút gọn
a Trb
hoặc
b Tra , hoặc tương đương với entropy
Shannon của các hệ số Schmidt bình phương có dạng như sau [106]:
E Tr
ij
1 a
log 2
aTrb
log 2
bSk
k
k
log 2 k
. (2.25)
Đối với trường hợp của trạng thái thuần hai qubit, giá trị của entropy đan rối thay đổi từ không đối với trạng thái không đan rối đến một ebit đối với trạng thái đan rối cực đại và nó có dạng đơn giản như sau [20]:
1
Eij(t) .log
2 (1).log
2 (1) , (2.26)
trong đó
1 1 C ij2
và ijijijijij
Từ đó, ta dễ dàng tìm
![]()
![]()
![]()
C
2
2 c00 (t)c11 (t) c01 (t)c10 (t) .
được mối liên hệ giữa các entropy đan rối cho các trường hợp bộ nối được bơm một mode và hai mode bởi trường ngoài như sau:
E 11t E 00t , E 10t E 01t . (2.27)
1 1 1 1

E
t [10-6s] t [10-6s]
Hình 2.4: Sự tiến triển của các entropy đan rối (đơn vị ebit)
00và
E
011
đối với bộ
1
nối phi tuyến tương tác tuyến tính được bơm một mode với
106 rad/s,
0
106 rad/s (đường nét gạch) và
106 rad/s, 210 6 rad/s (đường gạch chấm)
Các entropy đan rối của hệ đối với các điều kiện đầu khác nhau được chỉ
1
ra ở Hình 2.4. Các kết quả của E00đối với bộ nối được bơm một mode ( 0) và
hai mode ( ) giống với những kết quả đã được trình bày ở [20]. Các
entropy đan rối
E00và
E
011
tiến triển theo chu kỳ thời gian và xấp xỉ bằng 1 ebit
1
E
đối với các trạng thái đan rối cực đại và bằng không đối với các trạng thái không
đan rối. Khi
, các giá trị cực đại của
00và
E
011
là lớn nhất trong khi chúng
1
là bé nhất đối với
. Hơn nữa, entropy đan rối
E
011
có nhiều cực đại hơn
E00,
1
tức là
E
011
dao động nhanh hơn
E00. Hệ quả là, các trạng thái đan rối cực đại và
1
entropy đan rối thay đổi một cách đáng kể đối với các mode ban đầu ở trong các trạng thái khác nhau.
Như một hệ quả, cực đại của các entropy đan rối có giá trị thay đổi theo chu kỳ, trong đó có một số giá trị gần bằng 1 ebit tương ứng với sự hình thành
của các trạng thái Bell. Để thể hiện rò ràng hơn, ta có thể trình bày các trạng thái được tạo ra trong cơ sở
![]()
![]()
(t)
Bij![]()
, (2.28)
4
cut
l1 l1
l 1
được mở rộng thành các trạng thái kiểu Bell có dạng như sau [20]:
![]()
![]()
B
ij
11
![]()
![]()
B
ij
31
1 0
![]()
![]()
![]()
2 a
![]()
![]()
![]()
1 0
2 a
1
![]()
![]()
![]()
![]()
0
1
b
b
a
a
1 ![]()
ij,
![]()
![]()
![]()
1
0
b
b
ij,
ij
![]()
![]()
B
21
![]()
![]()
B
ij
41
1 1
![]()
![]()
![]()
2a
![]()
![]()
![]()
1 1
2a
0![]()
![]()
![]()
![]()
![]()
1
0
b
b
a
a
0
1
b
b
0![]()
![]()
![]()
ij,
ij.
(2.29)
l
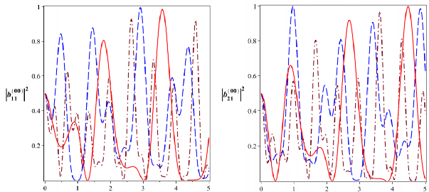
So sánh (2.12) và (2.28), ta tìm được các hệ số khai triển bij :
bij 1 cij(t) icij(t), bij 1 cij(t) icij(t),
![]()
![]()
11 2 00 11
21 2 11 00
(2.30)
bij 1 cij(t) icij(t), bij 1 cij(t) icij(t).
![]()
![]()
31 2 01 10 41 2 10 01
Dễ dàng thấy rằng
b012 b002 và
b012 b002 , vì vậy các hình vẽ đối với xác suất
![]()
![]()
![]()
![]()
![]()
![]()
![]()
![]()
11 41 21 31
để hệ tồn tại trong các trạng thái kiểu Bell
![]()
![]()
B
0111
![]()
![]()
B
và
0121
không cần phải trình
bày. Xác suất tìm thấy hệ trong các trạng thái kiểu Bell được trình bày ở các hình từ 2.5 đến 2.7.

t [10-6s] t [10-6s]
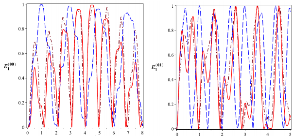
Hình 2.5: Xác suất để hệ tồn tại trong các trạng thái kiểu Bell
00
![]()
![]()
B
11
00
![]()
![]()
B
và
21
đối với
bộ nối phi tuyến tương tác tuyến tính được bơm một mode với
106 rad/s,
0
(đường nét liền) và hai mode với
106
rad/s (đường nét gạch) và
106 rad/s, 210 6 rad/s (đường gạch chấm)

t [10-6s] t [10-6s]
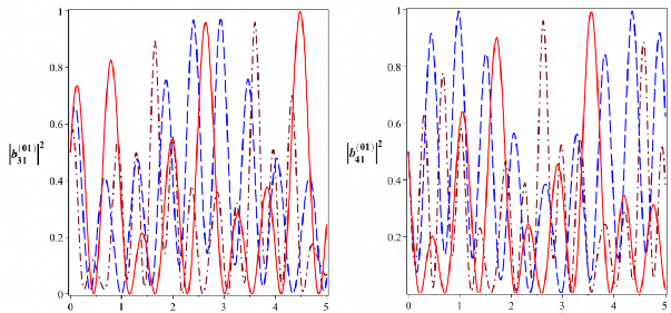
Hình 2.6: Xác suất để hệ tồn tại trong các trạng thái kiểu Bell
00
![]()
![]()
B
31
00
![]()
![]()
B
và
41
đối với
bộ nối phi tuyến tương tác tuyến tính được bơm một mode với
106 rad/s,
0
106 rad/s (đường nét gạch) và
106 rad/s, 210 6 rad/s (đường gạch chấm)

t [10-6s] t [10-6s]
Hình 2.7: Xác suất để hệ tồn tại trong các trạng thái kiểu Bell
![]()
![]()
B
0131
![]()
![]()
B
và
0141
đối với bộ
nối phi tuyến tương tác tuyến tính được bơm một mode với
106 rad/s,
0
106 rad/s (đường nét gạch) và
106 rad/s, 210 6 rad/s (đường gạch chấm)
Từ các hình vẽ ta thấy rằng khi bộ nối được bơm một mode ( 0), đối
với các mode ban đầu ở trạng thái
, ta tìm được kết quả tương tự như kết
![]()
![]()
0 0
a
b
quả trong [20] (Hình 2.5 và Hình 2.6). Đối với các mode ban đầu ở trạng thái
![]()
![]()
0 1
, xác suất tạo ra các trạng thái đan rối cực đại là hàm của thời gian cho các
a
b
bộ nối điều khiển đơn mode và hệ cũng có thể tạo ra các trạng thái kiểu Bell đối
với các trạng thái
![]()
![]()
B
0131
![]()
![]()
B
và
0141
(Hình 2.7). Khi bộ nối được bơm hai mode, hệ
![]()
![]()
11
có thể tạo ra các trạng thái đan rối cực đại đối với các trạng thái B00,
00
![]()
![]()
B
21
(Hình 2.5) và
![]()
![]()
B
,
0131
![]()
![]()
B
0141
(Hình 2.7), nhưng hệ không thể tạo trạng thái đan rối
cực đại cho các trạng thái
00
![]()
![]()
B
và
,
31
00
![]()
![]()
B
và
41
(Hình. 2.6). Đặc biệt, khi
, các giá
![]()
![]()
11
trị cực đại của xác suất là lớn nhất đối với các trạng thái B00,
![]()
![]()
B
00
21
0141
![]()
![]()
B
trong khi chúng là nhỏ nhất đối với các trạng thái
![]()
![]()
B
00
,
31
00
![]()
![]()
B
và
và
41
. Hơn nữa, khi
tham số
, xác suất để hệ tồn tại ở trạng thái B00,
![]()
![]()
B
00
21
0131
![]()
![]()
B
0141
giảm,
![]()
![]()
![]()
![]()
![]()
11
B
trong khi xác suất để hệ thống tồn tại ở trạng thái
![]()
B
00
31
00
![]()
![]()
B
và
41
tăng.
1 0
1 1
và
Để không bị lặp lại, ở đây chúng tôi không trình bày các hình vẽ về xác suất để hệ tồn tại trong các trạng thái kiểu Bell và các entropy đan rối đối với
trường hợp các mode ban đầu ở các trạng thái
![]()
a ![]()
b ![]()
a ![]()
b
bởi vì chúng đã
được trình bày trong các hình vẽ từ 2.4 đến 2.7 khi các mode ban đầu ở các
![]()
![]()
![]()
![]()
![]()
![]()
![]()
![]()
0 0
a b
và
a b
trạng thái 0 1 .
2.2. Bộ nối phi tuyến tương tác phi tuyến
2.2.1. Bộ nối phi tuyến tương tác phi tuyến được bơm một mode
2.2.1.1. Mô hình bộ nối phi tuyến tương tác phi tuyến được bơm một mode
Mô hình của một bộ nối phi tuyến được xem xét ở đây vẫn xây dựng dựa
trên hai dao động tử phi tuyến được đặc trưng bởi tính chất phi tuyến Kerr
a và
b tương ứng với hai mode a và b và mode a liên kết tuyến tính với trường
ngoài tương tự như bộ nối phi tuyến tương tác tuyến tính đã trình bày ở phần trên. Ở đây chỉ khác là các dao động tử này được liên kết phi tuyến với nhau. Khi đó, Hamiltonian của hệ chỉ khác so với bộ nối tương tác tuyến tính là thành
phần liên kết hai dao động tử là phi tuyến
ˆ ( NL)
H
int
thay cho thành phần tuyến tính
H
ˆ ( L)
int
và có dạng như sau [23]:
HˆHˆ
HˆaHˆbHˆ(NL) Hˆa, (2.31)
trong đó
0 NL NL
int
ext
Hˆ(a) aaˆ2aˆ2,
![]()
NL2
(2.32)
Hˆ(b) bbˆ2bˆ2,
![]()
NL2
int
HˆNLaˆ2bˆ2*bˆ2aˆ2,
ext
Hˆa aˆ*aˆ,
(2.33)
(2.34)
ở đây chúng tôi chỉ xét trường hợp không có tắt dần, sự tiến triển của hàm sóng phụ thuộc thời gian được biểu diễn dưới dạng trạng thái Fock n-photon như sau:
![]()
![]()
![]()
![]()
a b
(t)
cgh (t) g
g ,h0
h
, (2.35)
trong đó,
cgh (t)
là các biên độ xác suất phức tìm hệ trong trạng thái g-photon của
mode a và trạng thái h-photon của mode b.
Sử dụng phương trình Schroedinger trong hình thức luận tương tác, ta được:
![]()
![]()
![]()
![]()
i d (t) Hˆa Hˆb Hˆ(NL) Hˆa (t)
, (2.36)
a
b
a
b
dt NL
NL int
ext
NL
h
,
Hˆa
(t)![]()
aaˆ2aˆ2
![]()
2
cgh
(t)
g ![]()
![]()
![]()
a
![]()
h
2
g(g 1)cgh
(t)
g ![]()
![]()
![]()
g ,h0
g ,h0
(2.37)
NL
Hˆb
(t)![]()
bbˆ2bˆ2
![]()
2
cgh
(t)
g ![]()
![]()
![]()
b
![]()
h
h
,
2
h(h 1)cgh
(t)
g ![]()
![]()
![]()
g ,h0
![]()
![]()
a
b
a
b
Hˆ(NL) (t) aˆ2bˆ2*bˆ2aˆ2c
g ,h0
![]()
![]()
![]()
![]()
(t) g h
int
g ,h 0
gh a b
![]()
g ,h 0
(h 2)(h 1)g(g 1)cgh
g
a
h
b
![]()
a
b
*
g ,h 0
(g 2)(g 1)h(h 1)cgh
(t)
g ![]()
![]()
h ![]()
(2.38)
![]()
h
g ,h 0
(h 2)(h 1)g(g 1)cg 2,h 2
g
a ![]()
b
![]()
a
h
,
b
*
g ,h 0
(g 2)(g 1)h(h 1)c
g 2,h 2
(t)
g ![]()
![]()
![]()
ext
Hˆa
(t)![]()
aˆ*aˆ
cgh
a
h
b
(t)
g ![]()
![]()
![]()
g ,h 0
![]()
![]()
![]()
![]()
a
h
b
a
h
b
g ,h 0
g 1cgh
(t)
g 1 ![]()
![]()
*
g ,h 0
gcgh
(t)
g 1 ![]()
![]()
(2.39)
![]()
![]()
a
h
b
a
h
.
b
g ,h 0
g 1c
g 1,h
(t)
g ![]()
![]()
![]()
*
g ,h 0
gcg 1,h
(t)
g ![]()
![]()
![]()
Thay (2.37)-( 2.39) vào (2.36) ta thu được kết quả sau:
i d c
![]()
(t) 1
![]()
g(g 1) 1 h(h 1)c
![]()
(t)
dtgh
2 a
2 b gh
![]()
*
(h 2)(h 1)g(g 1)cg 2,h2 (t)
![]()
![]()
(g 2)(g 1)h(h 1)cg 2,h2 (t)
(2.40)
![]()
*
g 1cg 1,h (t)
gcg 1,h (t).
Đối với trường hợp này vì có quá trình tương tác của hệ với trường ngoài nên năng lượng của hệ không được bảo toàn. Do đó, khi hệ tiến triển theo thời gian sẽ có một số trạng thái có số lượng photon lớn. Khi giả thuyết rằng hệ số
phi tuyến
a,b
,
![]()
thì các phần tử tỉ lệ với a
và b
sẽ triệt tiêu do
Hˆa và
NL
H
ˆ b
NL
tạo ra các mức năng lượng suy biến. Mặt khác, với giả thiết
a,b
,
,
phương trình (2.40) chỉ ra rằng biên độ xác suất
cgh (t) sẽ dao động nhanh hơn
nhiều so với các biên độ xác suất khác khi g, h 2 . Do đó, áp dụng phương
pháp gần đúng sóng quay [107], người ta bỏ qua sự ảnh hưởng của biên độ xác
suất
cgh (t)
trong trường hợp này. Từ đó, sự tiến triển của hệ tương ứng với chỉ ba
trạng thái cộng hưởng sau
2![]()
0
,
1![]()
2![]()
và
0![]()
2
. Khi xét trong phép gần
![]()
![]()
![]()
![]()
![]()
![]()
![]()
![]()
a b a b
a b
đúng được sử dụng thì tiến triển của hệ chỉ khép kín trong ba trạng thái nói trên. Khi đó, hàm sóng của hệ được viết lại dưới dạng [108]:
![]()
![]()
pq(t)
cpq(t) 2 0
cpq(t) 1 2
cpq(t) 0 2
, (2.41)
![]()
![]()
![]()
![]()
cut
20 a b
12 a b
02 a b
![]()
![]()
![]()
![]()
p
q
a b
với p,q = 0,2 là ký hiệu của các mode ở trạng thái đầu và ta thu được các
phương trình chuyển động của các biên độ xác suất có dạng như sau:






