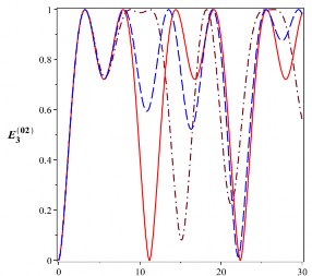
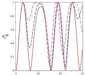
trạng thái đan rối. Khi β tăng, đỉnh thứ hai của
E20chia thành hai đỉnh và chúng
E
3
đạt giá trị xấp xỉ bằng đơn vị và chu kỳ của các entropy đan rối thay đổi. Do đó, sự hiện diện của β làm thay đổi các giá trị và vị trí của các đỉnh của entropy đan
rối. Hơn nữa, trong cùng một khoảng thời gian, các entropy đan rối có nhiều giá trị cực đại hơn so với các kết quả của [23].
02
E
3
Có thể bạn quan tâm!
-
Độ Tin Cậy Của Trạng Thái Cắt Đối Với Bộ Nối Phi Tuyến Tương Tác Tuyến Tính Được Bơm Một Mode (Đường Nét Liền) Và Hai Mode (Đường Chấm -
Độ Tin Cậy Của Trạng Thái Cắt Trong Bộ Nối Phi Tuyến Tương Tác Phi Tuyến -
Xác Suất Để Hệ Tồn Tại Trong Các Trạng Thái Kiểu Bell -
Trung Bình Của Phương Trình Vi Phân Ngẫu Nhiên Với Nhiễu Trắng -
Ảnh Hưởng Của Nhiễu Trắng Đối Với Sự Hình Thành Các Trạng Thái Đan Rối Trong Bộ Nối Phi Tuyến Tương Tác Tuyến Tính Được Bơm Hai Mode -
Ảnh Hưởng Của Nhiễu Trắng Đối Với Sự Hình Thành Các Trạng Thái Đan Rối Trong Bộ Nối Phi Tuyến Tương Tác Phi Tuyến Được Bơm Một Mode
Xem toàn bộ 144 trang tài liệu này.
và12


t [10-6s] t [10-6s]


t [10-6s] t [10-6s]
1
2
2
1
2
0
Hình 2.19: Sự tiến triển của entropy đan rối (đơn vị ebit) của trạng thái cắt đối với các
0
2
a b
trạng thái đầu là ![]()
![]()
![]()
![]()
( E02),
![]()
![]()
![]()
( E12), ![]()
![]()
![]()
![]()
( E21) và ![]()
![]()
![]()
![]()
( E20) với
3
3
3
3
a b
a b
a b
4104 rad/s. Đường nét liền là cho 0 , đường nét gạch là cho
2104 rad/s và đường gạch chấm là cho 4104 rad/s
a b
a b
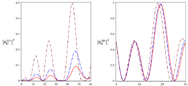
Các Hình từ 2.20 đến 2.25 chỉ ra các xác suất để hệ tồn tại trong các trạng
thái kiểu Bell ![]()
a b a
2![]()
1
và
2![]()
mni3
![]()
B
b
0
.
(i=1,2,3,...,6) tương ứng với các trạng thái đầu
0![]()
2![]()
,
1![]()
2
,

t [10-6s] t [10-6s]

t [10-6s] t [10-6s]
Hình 2.20: Xác suất để hệ tồn tại trong các trạng thái kiểu Bell
02
![]()
![]()
B
0
2
,
a b
13
( b022 ),
12
![]()
![]()
B
13
![]()
![]()
![]()
![]()
![]()
13
13
B
( b122 ),
2113
( b212 ) và
2013
(
b20
2 ) tương ứng với các trạng thái đầu ![]()
![]()
![]()
![]()
![]()
![]()
![]()
![]()
![]()
13
B
13
a b
2 1
2 0
a b
và
a b
1![]()
2
, ![]()
![]()
![]()
![]()
![]()
![]()
![]()
![]()
với 4104 rad/s. Đường nét liền là cho
0 , đường
nét gạch là cho
2104 rad/s và đường gạch chấm là cho
4104 rad/s

t [10-6s] t [10-6s]

t [10-6s] t [10-6s]
Hình 2.21: Xác suất để hệ tồn tại trong các trạng thái kiểu Bell
02
![]()
![]()
B
0
2
,
a b
23
( b022 ),
12
![]()
![]()
B
23
![]()
![]()
![]()
![]()
![]()
23
23
B
( b122 ),
2123
( b212 ) và
2023
(
b20
2 ) tương ứng với các trạng thái đầu ![]()
![]()
![]()
![]()
![]()
![]()
![]()
![]()
![]()
23
B
23
a b
2 1
2 0
a b
và
a b
1![]()
2
, ![]()
![]()
![]()
![]()
![]()
![]()
![]()
![]()
với 4104 rad/s. Đường nét liền là cho
0 , đường
nét gạch là cho
2104 rad/s và đường gạch chấm là cho
4104 rad/s

t [10-6s] t [10-6s]

t [10-6s] t [10-6s]
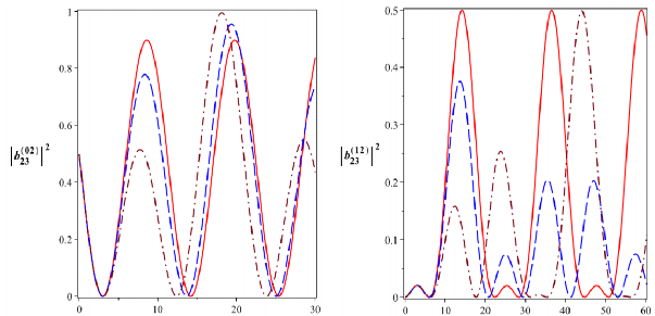
Hình 2.22: Xác suất để hệ tồn tại trong các trạng thái kiểu Bell
02
![]()
![]()
B
0
2
,
a b
33
( b022 ),
12
![]()
![]()
B
33
![]()
![]()
![]()
![]()
![]()
33
33
B
( b122 ),
2133
( b212 ) và
2033
(
b20
2 ) tương ứng với các trạng thái đầu ![]()
![]()
![]()
![]()
![]()
![]()
![]()
![]()
![]()
33
B
33
a b
2 1
2 0
a b
và
a b
1![]()
2
, ![]()
![]()
![]()
![]()
![]()
![]()
![]()
![]()
với 4104 rad/s. Đường nét liền là cho
0 , đường
nét gạch là cho
2104 rad/s và đường gạch chấm là cho
4104 rad/s

t [10-6s] t [10-6s]

t [10-6s] t [10-6s]
Hình 2.23: Xác suất để hệ tồn tại trong các trạng thái kiểu Bell
02
![]()
![]()
B
0
2
,
a b
43
( b022 ),
12
![]()
![]()
B
43
![]()
![]()
![]()
![]()
![]()
43
43
B
( b122 ),
2143
( b212 ) và
2043
(
b20
2 ) tương ứng với các trạng thái đầu ![]()
![]()
![]()
![]()
![]()
![]()
![]()
![]()
![]()
43
B
43
a b
2 1
2 0
a b
và
a b
1![]()
2
, ![]()
![]()
![]()
![]()
![]()
![]()
![]()
![]()
với 4104 rad/s. Đường nét liền là cho
0 , đường
nét gạch là cho
2104 rad/s và đường gạch chấm là cho
4104 rad/s

t [10-6s] t [10-6s]

t [10-6s] t [10-6s]
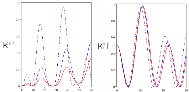
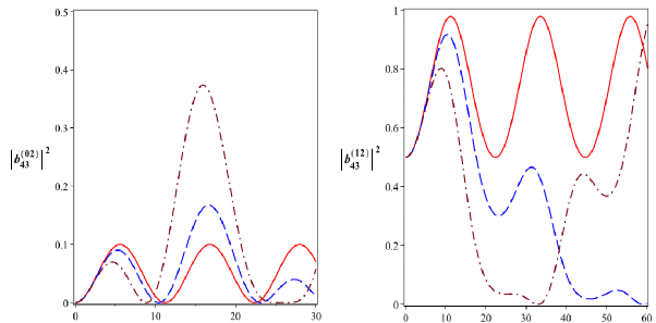
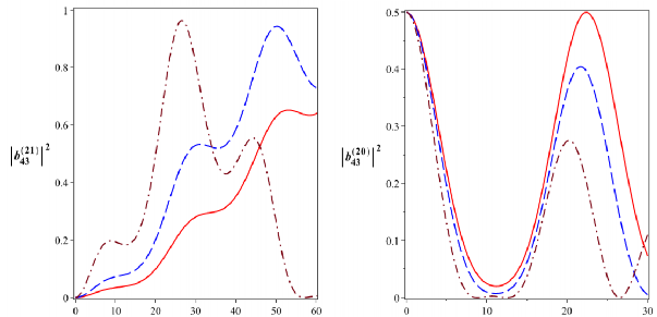
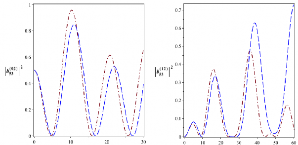
Hình 2.24: Xác suất để hệ tồn tại trong các trạng thái kiểu Bell
02
![]()
![]()
B
53
0
2
,
a b
53
( b022 ),
12
![]()
![]()
B
53
![]()
![]()
![]()
![]()
![]()
53
53
B
( b122 ),
2153
( b212 ) và
2053
(
b20
2 ) tương ứng với các trạng thái đầu ![]()
![]()
![]()
![]()
![]()
![]()
![]()
![]()
![]()
53
B
a b
2 1
2 0
a b
và
a b
1![]()
2
, ![]()
![]()
![]()
![]()
![]()
![]()
![]()
![]()
với
4104 rad/s. Đường nét gạch là cho
2104 rad/s và đường gạch chấm là cho 4104 rad/s

t [10-6s] t [10-6s]

t [10-6s] t [10-6s]
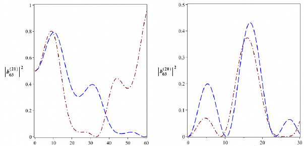
Hình 2.25: Xác suất để hệ tồn tại trong các trạng thái kiểu Bell
02
![]()
![]()
B
63
0
2
,
a b
63
( b022 ),
12
![]()
![]()
B
63
![]()
![]()
![]()
![]()
![]()
63
63
B
( b122 ),
2163
( b212 ) và
2063
(
b20
2 ) tương ứng với các trạng thái đầu ![]()
![]()
![]()
![]()
![]()
![]()
![]()
![]()
![]()
63
B
a b
2 1
2 0
a b
và
a b
1![]()
2
, ![]()
![]()
![]()
![]()
![]()
![]()
![]()
![]()
với
4104 rad/s. Đường nét gạch là cho
2104 rad/s và đường gạch chấm là cho 4104 rad/s
Khi β = 0, ta thu được kết quả của trường hợp bộ nối liên kết phi tuyến được bơm một mode đã trình bày ở phần 2.2.1. Đặc biệt, đối với trạng thái đầu
![]()
![]()
![]()
![]()
a
b
là 2 0 , kết quả thu được cho trường hợp β = 0 còn trùng với xác suất để hệ
tồn tại trong các trạng thái kiểu Bell được bơm một mode bởi trường ngoài được thảo luận ở [23]. Khi β = α, chúng tôi cũng thu được các xác suất để hệ tồn tại trong các trạng thái kiểu Bell được bơm bởi hai trường ngoài có cùng cường độ [109].
và
Từ các Hình vẽ 2.20 đến 2.25, ta thấy rằng các trạng thái đan rối cực đại
có thể được tạo ra cho cả bốn trạng thái đầu
0![]()
2
,
1![]()
2
, ![]()
![]()
![]()
![]()
![]()
![]()
![]()
![]()
với
![]()
![]()
![]()
![]()
![]()
![]()
a b
a b
2 1
2 0
B
B
B
a b
a b
và
và
và
những giá trị khác nhau của tham số β. Cụ thể, các trạng thái đan rối cực đại
![]()
![]()
B
02
B
13
và
2013
(Hình 2.20),
02
![]()
![]()
B
23
và
2023
(Hình 2.21),
02
![]()
![]()
B
33
và
2033
(Hình
2.22),
12
![]()
![]()
B
43
2143
(Hình 2.23),
02
![]()
![]()
B
53
2053
(Hình 2.24),
12
![]()
![]()
B
63
2163
![]()
![]()
![]()
![]()
![]()
![]()
B
B
(Hình 2.25) có thể được tạo ra, ngược lại các trạng thái
12
![]()
![]()
B
,
13
2113
12
![]()
![]()
B
,
23
![]()
![]()
![]()
![]()
B
B
,
2123
12
![]()
![]()
B
,
33
2133
02
![]()
![]()
B
,
43
2043
12
![]()
![]()
B
,
53
2153
02
![]()
![]()
B
63
2063
không thể tạo
![]()
![]()
![]()
![]()
![]()
![]()
![]()
![]()
![]()
![]()
![]()
![]()
B
B
B
B
B
B
,
,
,
và
và
ra các trạng thái đan rối cực đại. Như vậy, trong cùng một trạng thái kiểu Bell đối với bốn điều kiện đầu khác nhau thì có hai điều kiện đầu hệ có thể tạo ra các trạng thái kiểu Bell, trong khi hai điều kiện đầu còn lại hệ không thể tạo ra các
trạng thái kiểu Bell theo từng cặp
20
![]()
![]()
B
i3
02
![]()
![]()
B
và
i3
hoặc
12
i3
21
i3
. Khi β
![]()
![]()
![]()
![]()
![]()
![]()
B
B
B
càng tăng, trong một trạng thái kiểu Bell đối với bốn điều kiện đầu khác nhau thì có hai điều kiện đầu giá trị xác suất của các trạng thái tăng, trong khi đối với hai điều kiện đầu còn lại giá trị xác suất của các trạng thái lại giảm. Các trạng thái
![]()
![]()
B
2013
(Hình 2.20),
02
23
(Hình 2.21),
02
33
(Hình 2.22),
2143
(Hình 2.23),
![]()
![]()
B
và
02
53
2053
(Hình 2.24),
12
![]()
![]()
B
63
2163
(Hình 2.25) càng xấp xỉ bằng đơn
![]()
![]()
![]()
![]()
B
B
và
vị, nghĩa là các trạng thái kiểu Bell được tạo ra với độ chính xác cao, trong khi các trạng thái còn lại hầu như không tạo ra được các trạng thái kiểu Bell. Hơn






