
t [10-6s] t [10-6s]
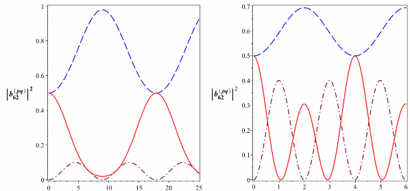
Hình 2.16: Xác suất để hệ tồn tại trong các trạng thái kiểu Bell
![]()
![]()
B
2062
Có thể bạn quan tâm!
-
Bộ Nối Phi Tuyến Tương Tác Tuyến Tính Được Bơm Một Mode -
Độ Tin Cậy Của Trạng Thái Cắt Đối Với Bộ Nối Phi Tuyến Tương Tác Tuyến Tính Được Bơm Một Mode (Đường Nét Liền) Và Hai Mode (Đường Chấm -
Độ Tin Cậy Của Trạng Thái Cắt Trong Bộ Nối Phi Tuyến Tương Tác Phi Tuyến -
Sự Tiến Triển Của Entropy Đan Rối (Đơn Vị Ebit) Của Trạng Thái Cắt Đối Với Các -
Trung Bình Của Phương Trình Vi Phân Ngẫu Nhiên Với Nhiễu Trắng -
Ảnh Hưởng Của Nhiễu Trắng Đối Với Sự Hình Thành Các Trạng Thái Đan Rối Trong Bộ Nối Phi Tuyến Tương Tác Tuyến Tính Được Bơm Hai Mode
Xem toàn bộ 144 trang tài liệu này.
(đường nét liền),
![]()
![]()
B
12
62
(đường nét gạch) và
02
![]()
![]()
B
62
(đường gạch chấm) với 5104 rad/s (Hình bên
trái) và 5104 rad/s, 2.5105 rad/s (Hình bên phải)
Các giá trị cực đại cao nhất của các xác suất tương ứng với các trạng thái
![]()
![]()
B
2012
(Hình 2.11 trái),
![]()
![]()
B
2022
(Hình 2.12 trái),
![]()
![]()
B
2052
(Hình 2.15 trái) và
12
![]()
![]()
B
62
(Hình 2.16 trái) với 5104 rad/s xấp xỉ bằng đơn vị, tức là các trạng thái
kiểu Bell được tạo ra đối với hệ được xem xét. Trong khi các trạng thái kiểu Bell hầu như không được tạo ra với các trạng thái còn lại đối với các hình vẽ bên trái
từ 2.11 đến 2.16. Đối với trường hợp 5104 rad/s và 2.5105 rad/s, các giá
trị cực đại xác suất của các trạng thái
![]()
![]()
B
2012
![]()
![]()
B
và
0212
(Hình 2.11 phải),
![]()
![]()
B
và
2022
![]()
![]()
B
0222
(Hình 2.12 phải) xấp xỉ bằng 1, tức là các trạng thái kiểu Bell được tạo ra
với độ chính xác cao. Ngược lại các trạng thái kiểu Bell hầu như không được tạo ra đối với các trạng thái khác của các hình vẽ bên phải từ 2.11 đến 2.16. Như vậy, hệ có thể tạo ra các trạng thái kiểu Bell với độ tin cậy cao đối với các giá trị thích hợp của các tham số và .
2.2.2. Bộ nối phi tuyến tương tác phi tuyến được bơm hai mode
2.2.2.1. Mô hình bộ nối phi tuyến tương tác phi tuyến được bơm hai mode
Tiếp theo, chúng tôi mở rộng mô hình bộ nối phi tuyến bao gồm hai dao động tử phi tuyến tương tác phi tuyến với nhau đã trình bày ở trên cho trường hợp, khi cả hai dao động tử phi tuyến được bơm bởi hai trường kết hợp ngoài. Lúc đó, trong biểu diễn tương tác Hamiltonian của hệ có dạng như sau:
HˆHˆa HˆbHˆ(NL) Hˆa Hˆb, (2.57)
NL NL
int
ext
ext
giống (2.31), ngoại trừ số hạng [109]:
ext
Hˆbbˆ*bˆ
(2.58)
mô tả liên kết giữa mode b với trường ngoài, trong đó là hệ số của liên kết giữa chúng. Khi sử dụng phương trình Schroedinger trong hình thức luận tương
tác, ta thu được hệ các phương trình chuyển động cho các biên độ xác suất
như sau:
ckl (t)
i d c
![]()
(t) 1 k(k 1) 1 l(l 1)c
![]()
![]()
(t)
dt kl
2a
2b kl
![]()
*
(l 2)(l 1)k(k 1)ck 2,l 2 (t)
![]()
(k 2)(k 1)l(l 1)ck 2,l 2 (t)
(2.59)
*
*
k 1ck 1,l (t)
![]()
![]()
![]()
l 1ck ,l 1 (t)
k ck 1,l (t)
![]()
lck ,l 1 (t).
1 2
0 2
và
Sử dụng hình thức luận kéo lượng tử phi tuyến tương tự như trường hợp bộ nối phi tuyến tương tác phi tuyến được bơm một mode, khi đó hàm sóng của
![]()
a b a b
20
21
12
02
a b
a b
a
0
b
a
1
b
a
2
b
a
2
b
hệ là sự chồng chập của bốn trạng thái viết lại dưới dạng [19, 20, 85]:
2![]()
0
,
2![]()
1
, ![]()
![]()
![]()
![]()
![]()
![]()
![]()
được
![]()
![]()
(t)
cut
2![]()
![]()
![]()
2![]()
![]()
![]()
1 ![]()
![]()
0![]()
![]()
, (2.60)
trong đó m, n 0,1,2
là ký hiệu của các mode ban đầu ở trạng thái
m![]()
n
. Thay (2.60)
a b
vào (2.59), ta được các phương trình chuyển động cho các biên độ xác suất phức:
i d cmnt 2cmnt *cmnt ,
![]()
dt 20 02 21
i d cmnt cmnt ,
![]()
dt 21 20
(2.61)
i d cmnt cmnt ,
![]()
dt 12 02
i d cmnt 2*cmnt *cmnt ,
![]()
dt 02
20 12
Ta giả thiết rằng , , là các số thực, giải hệ phương trình (2.61) với
cut
2 0
a b
trạng thái ban đầu là dạng như sau:
(t
![]()
![]()
![]()
![]()
và tìm được các biên độ xác suất có
20
1 2 2 42
1
![]()
![]()
c20
(t)
16i2
4 1 4 2
sin 1t
8i 1
cos 1t
2 2 42
![]()
4 1 4 2
2
sin 2t
8i 2
cos
2t ,
c20(t) 12 2 42 4 4cost 8isin t
![]()
21 162
1 2 2 1 2
2 2 42 4 4cost 8isin t , (2.62)
1 2 1 2 1
c20(t)
41 42sin t 41 42sin t
![]()
![]()
12 4i2 1 2
1
2
8icos1t cos2t ,
c20(t) 4 4cost 4 4cost
02 42
1 2 1
1 2 2
trong đó
8i1sin 1t 2sin 2t ,
![]()
2 22 42 2 22 42 ,
42 42 162 83 3 ,
1 2 1 2
![]()
1
1
1 2i
![]()
2 2i
22 22 82 2,
22 22 82 2.
(2.63)
![]()
![]()
![]()
![]()
a b
Khi giải hệ phương trình (2.61) với các trạng thái ban đầu lần lượt là 2 1 ,
1 2
a b
và
a b
![]()
![]()
![]()
![]()
0![]()
2
, ta tìm được các biên độ xác suất tương ứng có dạng sau:
21
i
![]()
2
![]()
2
![]()
c20
(t)
1 sin 1t 2 sin 2t ,
1 2
c21(t) i 2 2 42 sin t 2 2 42 sin
![]()
t ,
21 1
1 2 2
(2.64)
c21(t) 2isin 1t sin 2t ,
![]()
![]()
12
1 2
c21(t) 2cost cos
t ,
02
12 1 1
![]()
![]()
1
4 4 4
2
2 3 3 2 2 1 1
![]()
![]()
c (t)
16
8
sin t sin t
20 2
41 2
1 2 1
2 1 1 2
1
![]()
1 2
1822sin ti cost222sin ti cost,
2
42 1
![]()
1 1 2 2
12
1422 2 4
![]()
![]()
4
32
4
4
32
3 2
2
c21 (t)
161
2 42 2 4 1 4 2
32 1
4 1 64 1 8 2 8 2 4 1 2
2 42 2
2
22
2
14 4
22 1 1
16 1
cos 1t
cos 2t
2i sin 1t
sin 2t
(2.65)
42 44 44 3232 44 644 832 83 2 2
![]()
2
1 1 2
1 1
22
1 2 2
1 cos 1t
2 cos
2t ,
c12(t) 1 2i cost 2sin t2i cost 2sin t
12 22 1 2 1
1 2 1 2 2
4 4 164 82 3 3 2 2 sin t sin t,
1 2 1 2 1 2 1 1 2
c12(t) 12 4cost 42 2 42 cost
02 162
2 1 2 2
2i2 4sin t 42 2 42 sin t,
2 1 2 2
và
02
1 2 2 42 2 2 42
![]()
![]()
c20
(t)
8i
sin 1t
1
2 2 42 2 2 42 22
![]()
sin
2
2t ,
c02(t) i2 2 42 2 2i2 8i2 cost i sin t
(2.66)
21 16
1 1 1
![]()
2
i2 2 42 42 2 82 cost ,
02
2 2 42
![]()
2 2 42
![]()
c12
(t)
cos t
21
cos
2
2t ,
c02(t) 1 2 2 42 cost 2 2 42 cost .
![]()
02 21 2
Đối với trường hợp một dao động tử phi tuyến được bơm bởi trường ngoài (β=0), các kết quả thu được giống với kết quả trong [23]. Hơn nữa đối với trường hợp , kết quả của chúng tôi cũng giống như kết quả [109].
Để đánh giá độ chính xác của kết quả giải tích, ta sẽ tính số độ tin cậy của
![]()
![]()
![]()
![]()
2 j
a b
các trạng thái với trạng thái ban đầu là ( j 0,1). Kết quả số của sự tiến
triển theo thời gian của độ tin cậy đã được chỉ ra ở Hình 2.17. Có thể thấy rằng độ tin cậy của trạng thái này xấp xỉ bằng đơn vị, nghĩa là kết quả giải tích thu được là chính xác. Độ lệch của độ tin cậy so với đơn vị luôn nhỏ hơn 1,2.10-3.
![]()
![]()
![]()
![]()
a b
Tương tự đối với trạng thái đầu 2 1 , độ tin cậy nhỏ hơn một ít so với trường
![]()
![]()
![]()
![]()
a b
hợp của trạng thái đầu là 2 0 .

t [10-6s]
2 0
a b
Hình 2.17: Sự tiến triển theo thời gian của 1-F tương ứng với trạng thái đầu là ![]()
![]()
![]()
![]()
![]()
![]()
![]()
![]()
2 1
a b
(đường nét liền) và (đường nét gạch). Trong trường hợp hệ số phi tuyến
a b 2107 rad/s, các cường độ liên kết 5104 rad/s, 1,25104 rad/s
2.2.2.2. Sự tạo ra các trạng thái đan rối trong bộ nối phi tuyến tương tác phi tuyến được bơm hai mode
Trong phần này chúng tôi cũng sử dụng entropy von Neumann để tính độ
![]()
![]()
cut
đan rối của các trạng thái . Từ biểu thức (2.60) ta có thể xác định ma trận
mật độ sau khi cắt như sau [109]:
ˆab
cutcut ![]()
![]()
![]()
![]()
![]()
![]()
![]()
![]()
cmn2 0 2
2 0 cmncmn* 0 2
1 2 cmncmn* 0 2
2 1 cmncmn* 0 2 0 2
![]()
![]()
![]()
![]()
![]()
![]()
![]()
![]()
![]()
![]()
02 a bb a
02 21
a bb a
02 12
a bb a
02 20
a bb a
![]()
![]()
![]()
![]()
![]()
![]()
![]()
![]()
![]()
![]()
![]()
![]()
![]()
![]()
![]()
![]()
![]()
![]()
![]()
![]()
![]()
![]()
![]()
![]()
cmncmn* 2 1
2 0 cmn2 2 1
1 2 cmncmn* 2 1
2 1 cmncmn* 2 1 0 2
(2.67)
21 02
a bb a
21 a bb a
21 12
a bb a
21 20
a bb a
![]()
![]()
![]()
![]()
![]()
![]()
![]()
![]()
![]()
![]()
![]()
![]()
![]()
![]()
![]()
![]()
![]()
![]()
![]()
![]()
![]()
![]()
![]()
![]()
![]()
![]()
![]()
![]()
![]()
![]()
![]()
![]()
cmncmn* 1 2
2 0 cmncmn* 1 2
1 2 cmn2 1 2
2 1 cmncmn* 1 2 0 2
![]()
![]()
12 02
a bb a
12 21
a bb a
12 a bb a
12 20
a bb a
![]()
![]()
![]()
![]()
![]()
![]()
![]()
![]()
![]()
![]()
![]()
![]()
![]()
![]()
![]()
![]()
![]()
![]()
![]()
![]()
![]()
![]()
![]()
![]()
![]()
![]()
![]()
![]()
![]()
![]()
![]()
![]()
![]()
![]()
![]()
cmncmn* 2 0
2 0 cmncmn* 2 0
1 2 cmncmn* 2 0
2 1 cmn2 2 0
0 2 .
20 02
a bb a
20 21
a bb a
20 12
a bb a
20 a bb a
![]()
![]()
![]()
![]()
![]()
![]()
![]()
![]()
![]()
![]()
![]()
![]()
![]()
![]()
![]()
![]()
![]()
![]()
![]()
![]()
![]()
![]()
![]()
![]()
![]()
![]()
![]()
Từ đó, vết thành phần của trạng thái đối với mode b được viết dưới dạng:
![]()
![]()
![]()
![]()
![]()
![]()
![]()
![]()
![]()
![]()
![]()
![]()
ˆbTraab a
0
ab
0
aa
1
ab
1
aa
2
ab
2
a
![]()
![]()
![]()
![]()
![]()
![]()
![]()
![]()
![]()
![]()
![]()
![]()
![]()
cmn2 0 0 cmncmn* 0 1 cmncmn* 1
0 cmn2 1
1 cmn2 cmn2 2
(2.68)
![]()
![]()
![]()
2 .
20 bb
20 21 bb
21 20 bb
21 bb
02 12
bb
Khi đó, độ đan rối của các trạng thái được tính bằng biểu thức sau đây:
Emn(t) Trlog
Tr
log log
log , (2.69)
3 a 2 a
b 2 b
1 2 1 2 2 2
trong đó,
ˆb
có các trị riêng λ1, λ2 lần lượt là:
![]()
![]()
![]()
![]()
cmn2 cmn2 ,
1 02 12
(2.70)
![]()
![]()
![]()
![]()
cmn2 cmn2 .
2 20 21
2 0
và
a b
Đối với mô hình bộ nối phi tuyến được bơm hai mode ở đây, ta sẽ mong đợi hệ có thể tạo ra các trạng thái kiểu Bell. Để xem xét cụ thể việc tạo ra các trạng thái kiểu Bell của hệ, ta vẽ đồ thị các xác suất đối với các điều kiện đầu
a b
0![]()
2
,
1
2
![]()
![]()
![]()
![]()
![]()
![]()
a b
2 1
,
a b
![]()
![]()
![]()
của các trạng thái của hệ ở Hình 2.18.


t [10-6s] t [10-6s]


t [10-6s] t [10-6s]
![]()
![]()
![]()
![]()
0 2
a b
Hình 2.18: Các xác suất để hệ tồn tại trong các trạng thái (đường nét liền),
1 2
2 1
a b
a b
![]()
![]()
![]()
(đường nét gạch), ![]()
![]()
![]()
![]()
(đường gạch chấm) và ![]()
![]()
![]()
![]()
(đường nét chấm) với
2 0
a b
0
2
a b
410 4rad/s và các trạng thái đầu tương ứng là ![]()
![]()
![]()
![]()
( P02),
![]()
![]()
![]()
( P12),
3
3
3
1
2
a b
2
1
a b
2
0
a b
![]()
![]()
![]()
( P21) và ![]()
![]()
![]()
![]()
( P20)
3
2
Từ đồ thị có thể chỉ ra rằng các xác suất của hệ cắt nhau tại những giá trị
2
0
a b
gần bằng 0,5, cụ thể là các cặp trạng thái ![]()
![]()
![]()
![]()
và
0![]()
![]()
![]()
( P02) cũng như
3
a
b
2
0
và
0
2
![]()
a ![]()
b ![]()
a ![]()
b
( P20). Điều này chứng tỏ các trạng thái kiểu Bell có thể được
3
hình thành trong trường hợp này. Hơn nữa, chúng ta có thể nhận thấy rằng đối với một số khoảng thời gian các xác suất này trở nên gần bằng 0,5, mặc dù chúng
![]()
![]()
![]()
![]()
![]()
![]()
![]()
![]()
![]()
![]()
0
a
2
b
0
a
2
b
b
không cắt nhau. Cho nên, chúng ta có thể mong đợi các trạng thái kiểu Bell cũng sẽ được tạo ra trong trường hợp này. Kết quả là các trạng thái kiểu Bell có thể được hình thành từ các cặp trạng thái của hệ được viết dưới dạng sau:
![]()
![]()
B
mn
13
1 2
![]()
a
2 a b
0![]()
![]()
mn,
mn
![]()
![]()
B
23
1 2
![]()
b
a
2 a b
0![]()
![]()
mn,
![]()
![]()
B
mn
33
1 2
![]()
![]()
![]()
![]()
![]()
![]()
0
2 a b
1![]()
2![]()
mn,
mn
![]()
![]()
B
43
1 2
![]()
![]()
![]()
![]()
![]()
![]()
0
2 a b
1![]()
2![]()
mn,
(2.71)
![]()
![]()
B
mn
53
1 0
![]()
![]()
![]()
![]()
![]()
2
2 a b
2![]()
1
mn,
mn
![]()
![]()
B
63
1 0
![]()
![]()
![]()
![]()
![]()
2
2 a b
2![]()
1
mn.
a
b
a
b
Tiếp theo, ta có thể biểu diễn hàm sóng thu được (2.60) trong cơ sở các trạng thái Bell có dạng như sau:
![]()
![]()
6
bmnBmn
, (2.72)
![]()
![]()
i3 i3
![]()
![]()
B
i 1
ở đây
mni3
là các trạng thái đan rối cực đại.
Từ đó, có thể tìm được các hệ số
mn
b :
i3
bmn
1cmn(t) icmn(t),
bmn
1cmn(t) ic mn(t),
![]()
![]()
13 2 20 02 23 2 20 02
bmn 1 cmn(t) icmn(t), bmn 1 cmn(t) ic mn(t),
(2.73)
![]()
![]()
33 2 20 12 43 2 20 12
bmn
1cmn(t) cmn(t),
bmn
1cmn(t) cmn(t).
![]()
![]()
53 2 20 12 63 2 20 12
Sự tiến triển của các entropy đan rối
E02,
E12,
E21và
20
E
3
theo thời gian
![]()
3
3
3
và các giá trị khác nhau của cường độ liên kết β với bốn trạng thái ban đầu
a
tương ứng là
2![]()
0
,
2![]()
1
,
1
2
và
0![]()
2
được biểu diễn ở Hình 2.19. Sự
b a b a
b a
b
đan rối của trạng thái trong hình 2.19 cho thấy rằng các giá trị cực đại của sự đan rối phụ thuộc vào các giá trị của cường độ liên kết giữa hai mode với các trường kết hợp ngoài. Khi β = 0, các đỉnh của entropy đan rối thay đổi theo chu
kỳ. Entropy đan rối
20
E
3
giống với kết quả thu được trong [23]. Tất cả giá trị các
E
3
đỉnh của
12và
02
E
3
đều xấp xỉ bằng 1. Khi β ≠ 0, đỉnh thứ hai của
E20tăng,
3
3
3
trong khi giá trị của một số đỉnh của
E12và
E21giảm và trạng thái của hệ luôn là






