Tiêu chuẩn để thực hiện CFA bao gồm các chỉ tiêu đánh giá mức độ phù hợp chung và tiêu chuẩn đánh giá mức độ phù hợp theo các khía cạnh giá trị nội dung. Các chỉ số cơ bản để đánh giá mức độ phù hợp chung của mô hình trong
CFA bao gồm: Chi-square (CMIN), Chi-square điều chỉnh theo bậc tự do (χ 2/ df),
GFI: Goodness-of-Fit Index; AGFI: Adjusted GFI; TLI: Tucker-Lewis Coefficient; Chỉ số thích hợp so sánh (CFI - Comparative Fit Index). RMSEA: Root Mean Square Error of Approximation. Mô hình có các chỉ số χ 2/df dùng để đo mức độ phù hợp một cách chi tiết hơn của cả mô hình. Một số tác giả đề nghị 1 < χ2/df < 3 (Hair et al., 1998); một số khác đề nghị χ2 càng nhỏ càng tốt (Segar và Grover, 1993) và cho rằng χ2/df < 3 (Chin và Todd, 1995). Ngoài ra, trong một số nghiên cứu thực tế người ta phân biệt ra 2 trường hợp : χ2/df < 5 (với mẫu N > 200); hay < 3 (khi cỡ
mẫu N < 200) thì mô hình được xem là phù hợp tốt (Kettinger và Lee,1994). Các chỉ số GFI, AGFI, TLI, CFI ≥ 0.9 thì mô hình phù hợp với dữ liệu thị trường (Bentler và Bonett, 1980). Nếu các giá trị này bằng 1, được xem là mô hình là hoàn hảo (Segar và Grover, 1993; Chin và Todd, 1995). RMSEA là một chỉ tiêu quan trọng, xác định mức độ phù hợp của mô hình so với tổng thể. Trong tạp chí nghiên cứu IS, các tác giả cho rằng chỉ số RMSEA, yêu cầu < 0.05 thì mô hình phù hợp tốt. Trong một số trường hợp chỉ số RMSEA < 0.08 mô hình được chấp nhận (Hu và Bentler, 1999). Các tiêu chuẩn đánh giá mức độ phù hợp của mô hình theo các khía cạnh giá trị nội dung bao gồm:
- Độ tin cậy của thang đo8 được đánh giá thông qua hệ số tin cậy tổng hợp, hệ số
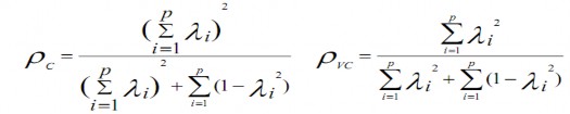
8 Độ tin cậy tổng hợp (Joreskog, 1971) và phương sai trích (Fornell Larcker, 1981) được tính theo công thức trích dẫn từ Nguyễn Đình Thọ và Nguyễn Thị Mai Trang (2010):

Trong đó i: Trọng số chuẩn hóa của biến quan sát thứ i, (1-i2): Phương sai của sai số đo lường biến quan sát thứ i và p là số biến quan sát của thang đo.
tin cậy Cronbach’s Alpha và phương sai trích. Trong đó phương sai trích phản ánh lượng biến thiên chung của các biến quan sát được giải thích bởi biến tiềm ẩn (Hair, 1998). Độ tin cậy tổng hợp đo lường độ tin cậy của tập hợp các biến quan sát đo lường một khái niệm. Tiêu chuẩn để đánh giá mức độ phù hợp của mô hình bởi độ tin cậy của thang đo là > 0.5, phương sai trích ≥ 0.5 và Cronbach’s Alpha ≥ 0.60 là thang đo có thể chấp nhận được về mặt tin cậy (Nunnally và Bernstein, 1994).
- Tính đơn hướng của một thang đo thể hiện mỗi biến quan sát chỉ được sử dụng để đo lường duy nhất một biến tiềm ẩn. Mô hình phù hợp với dữ liệu thị trường là điều kiện cần và đủ để cho tập biến quan sát đạt được tính đơn hướng, trừ trường hợp các sai số của biến quan sát có tương quan với nhau trong tổng thể (Steenkamp và Van Trijp, 1991).
- Giá trị hội tụ thể hiện giá trị đo lường một khái niệm tương quan chặt chẽ với nhau sau những đo lường được lặp lại. Thang đo đạt giá trị hội tụ khi các trọng số chuẩn hóa của các thang đo đều cao (> 0.5) và có nghĩa thống kê (p- value < 0.05) (Gerbring và Anderson, 1998).
- Giá trị phân biệt thể hiện sự khác biệt giữa các khái niệm trong mô hình nghiên cứu. Khi hệ số tương quan giữa các khái niệm trên phạm vi tổng thể đều khác biệt so với 1 và có ý nghĩa thống kê (p-value < 0.05) khẳng định các khái niệm đạt giá trị phân biệt.
3.2.4 Phân tích mô hình cấu trúc tuyến tính (SEM)
Phương pháp phân tích mô hình cấu trúc tuyến tính (Structural Equation Modeling – SEM) được sử dụng để kiểm định mô hình nghiên cứu. Mô hình cấu trúc chỉ rõ mối quan hệ giữa các biến tiềm ẩn với nhau. Mô hình SEM được sử dụng rất phổ biến trong các ngành khoa học xã hội vì có lợi thế hơn các phương pháp truyền thống như: hồi quy bội… vì SEM sẽ xem xét đồng thời các ảnh hưởng giữa các biến độc lập và biến phụ thuộc. Mô hình cấu trúc tuyến tính cũng cho phép giải quyết vấn đề đa cộng tuyến, sai số đo lường mà các phương pháp ước lượng bằng phân tích hồi quy không thực hiện được. Về cơ bản CFA là một
dạng của SEM (Hair et al., 2006) do đó các chỉ số phù hợp mô hình của SEM được xem như trong kiểm định CFA và tiêu chuẩn kiểm định được lựa chọn ở mức ý nghĩa (p-valuve) < 0.05.
3.3 Cơ sở thang đo
Thang đo các khái niệm chất lượng website bao gồm chức năng của website và hữu dụng của webite; sự hài lòng của khách hàng; ý định mua trong môi trường du lịch trực tuyến dựa theo Bai et al. (2008) được phát triển thực nghiệm tại thị trường Trung Quốc cụ thể như Hình 3.2:

Hình 3.2: Các thang đo trong nghiên cứu của Bai et al. (2008)
3.3.1 Thang đo chất lượng website
Thang đo chất lượng website là thang đo đa hướng bao gồm hai yếu tố chính để đánh giá website là chức năng và hữu dụng. Thang đo chất lượng website trong nghiên cứu của Bai et al. (2008) đã dựa trên những nghiên cứu được tiến hành bởi Au Yeung và Law (2004), Chung và Law (2003), Law và Hsu (2005).
Thành phần chức năng đề cập đến nội dung của website. Cụ thể hơn, chức năng liên quan đến mức độ phong phú của thông tin trên website, được đo lường bằng 5 biến quan sát như trên Hình 3.2.
Thành phần hữu dụng của website liên quan đến vấn đề thiết kế website, các tiện
ích của webite và mức độ thoải mái khi người dùng truy cập. Thang đo hữu dụng của website được đo lường bao gồm 5 biến quan sát như trên Hình 3.2.
Cả hai thành phần chức năng và hữu dụng của website đều được đo lường bằng thang đo Likert 5 mức độ với mức 1 là “Hoàn toàn không quan trọng” và mức 5 là “Hoàn toàn quan trọng”.
3.3.2 Thang đo sự hài lòng của khách hàng
Bai et al. (2008) dựa theo nghiên cứu của Anderson và Srinivasan (2003) sử dụng thang đo đa biến của Oliver (1980) để đo lường sự hài lòng của khách hàng trong môi trường trực tuyến. Theo Bai et al. (2008) thang đo sự hài lòng của khách hàng gồm 6 biến quan sát như trên Hình 3.2.
Thang đo sự hài lòng của khách hàng được đo lường bằng thang đo Likert 5 mức độ với mức 1 là “Hoàn toàn không đồng ý” và mức 5 là “Hoàn toàn đồng ý”.
3.3.3 Thang đo ý định mua
Bai et al. (2008) phát triển thang đo ý định mua gồm 2 biến quan sát như trên Hình 3.2. Thang đo ý định mua được đo bằng thang đo Likert 5 mức độ với mức 1 là “Rất không có khả năng” và mức 5 là “Rất có khả năng”.
3.4 Đánh giá sơ bộ thang đo
3.4.1 Kết quả thang đo từ nghiên cứu định tính
Nghiên cứu định tính thực hiện thông qua kỹ thuật thảo luận 2 nhóm, với nhóm thảo luận 1 thảo luận với 4 nhà quản lý, điều hành tour của các công ty du lịch lữ hành: Việt Sun Travel, Thuận Việt Travel, Du lịch Unitour, Du lịch Cabaret và nhóm thảo luận 2 gồm 8 khách du lịch của công ty du lịch lữ hành Unitour. Các thang đo trong nghiên cứu định tính sơ bộ được tác giả phát triển và điều chỉnh cho phù hợp với thị trường Việt Nam dựa theo Bai et al. (2008); Cronin et al. (2000). Dàn bài thảo luận cho nghiên cứu định tính được trình bày ở Phụ lục 1. Mục đích của nghiên cứu định tính sơ bộ nhằm khẳng định ý nghĩa của thuật ngữ và nội dung
của thang đo; đồng thời khám phá các yếu tố mới và hiệu chỉnh, phát triển thang đo phù hợp với thị trường du lịch trực tuyến Việt Nam.
Ở kết quả thảo luận định tính với các nhà quản lý, điều hành tour của các công ty du lịch, các nhà quản lý đều cho rằng các biến quan sát trong các thang đo đều rõ ràng và đều thể hiện chất lượng của website, các câu hỏi đều phù hợp và thiết thực để đo lường chất lượng dịch vụ trực tuyến. Bên cạnh đó, các nhà quản lý cũng cho rằng nên đưa biến quan sát độ bảo mật và an toàn; hệ thống thanh toán; dịch vụ hỗ trợ trực tuyến vào thang đo để đo lường chất lượng website ở thị trường thương mại điện tử Việt Nam.
Ở kết quả thảo luận định tính với nhóm thảo luận gồm 8 khách du lịch cho thấy, đa số các câu hỏi đều rõ ràng, các thuật ngữ đều dễ hiểu và phù hợp, các khách du lịch đều hiểu được nội dung và ý nghĩa của từng câu hỏi của các thang đo. Kết quả của nghiên cứu định tính sơ bộ được cụ thể ở từng thang đo như sau:
Thang đo chức năng: các thành viên của 2 nhóm đều đồng ý thang đo chức năng gồm 5 biến quan sát dựa theo Bai et al. (2008) được tác giả phát triển nội dung cho phù hợp với thị trường Việt Nam gồm: “Thông tin mua hàng chính xác, cập nhật thường xuyên và kịp thời”; “Cung cấp đầy đủ thông tin sản phẩm/ dịch vụ”; “Cung cấp đầy đủ thông tin về điểm đến”; “Thông tin cung cấp tin cậy, hợp pháp và chất lượng cao”; “Thông tin liên hệ nhanh”. Tuy nhiên các thành viên của 2 nhóm có gợi ý sự an toàn và bảo mật vào thang đo chức năng và có sự thống nhất của 2 nhóm cùng với ý kiến chủ quan của tác giả. Nhận thấy sự an toàn khi truy cập website hay khi thực hiện giao dịch trên website thì website có chức năng an toàn và bảo mật các thông tin thanh toán là hết sức cần thiết; với sự kết hợp từ kết quả nghiên cứu định tính, có sự tham khảo kết quả nghiên cứu của Lê Văn Huy và Nguyễn Thị Hoài Ân (2013), tác giả bổ sung biến quan sát: “Độ bảo mật cao và an toàn” vào thang đo chức năng. Kết quả cuối cùng thang đo chức năng bao gồm 6 biến quan sát.
Thang đo hữu dụng được phát triển dựa theo nghiên cứu của Bai et al. (2008), có một thành viên trong nhóm khách du lịch không rõ về thuật ngữ “cấu trúc thông
tin” tuy nhiên các thành viên khác đều hiểu về mặt nội dung và ý nghĩa của thuật ngữ. Bên cạnh đó, có một số gợi ý bổ sung “Hệ thống thanh toán” vào thang đo hữu dụng, và “Tốc độ truy cập website cũng như truy xuất dữ liệu khi cần”, một số thành viên khác thì gợi ý bổ sung “Có dịch vụ hỗ trợ, tư vấn cho khách hàng”. Kết hợp với sự tham khảo từ bài nghiên cứu của Lê Văn Huy và Nguyễn Thị Hoài Ân (2013), tác giả nhận thấy xu hướng thương mại điện tử ngày càng phát triển mạnh mẽ, các website đều phải có hệ thống thanh toán là yêu cầu tất yếu, cùng với tốc độ truy cập nhanh sẽ làm hài lòng khách hàng trực tuyến cũng như có hệ thống hỗ trợ, tư vấn trực tuyến cho khách hàng. Do vậy, tác giả kết hợp từ nhiều ý kiến, bổ sung phát triển thang đo hữu dụng thêm 3 biến quan sát đó là: “Hệ thống thanh toán tiện lợi và dễ sử dụng”, “Tốc độ truy cập nhanh, dễ dàng truy xuất dữ liệu khi cần”, “Có dịch vụ hỗ trợ, tư vấn khách hàng trực tuyến”. Kết quả cuối cùng, thang đo hữu dụng gồm 8 biến quan sát. Như vậy, kết quả thang đo chất lượng website gồm 14 biến quan sát, trong đó 10 biến quan sát dựa theo Bai et al. (2008) và 4 biến quan sát dựa vào kết quả nghiên cứu định tính được ghi nhận từ các ý kiến đóng góp của khách du lịch và tham khảo từ nghiên cứu của Lê Văn Huy và Nguyễn Thị Hoài Ân (2013) được trình bày cụ thể ở Bảng 3.1.
Bảng 3.1: Thang đo chất lượng website
Câu hỏi các biến quan sát | Nguồn | |
1/CHỨC NĂNG | ||
CN1 | Thông tin mua hàng chính xác, cập nhậtthường xuyên và kịp thời | Thang đo được phát triển dựa theo nghiên cứu của Bai et al. (2008) |
CN2 | Cung cấp đầy đủ thông tin về sản phẩm, dịch vụ | |
CN3 | Cung cấp đầy đủ các thông tin về điểm đến | |
CN4 | Thông tin cung cấp tin cậy, hợp pháp và chất lượng cao | |
CN5 | Thông tin liên hệ nhanh | |
CN6 | Độ bảo mật cao và an toàn | Kết hợp từ kết quả nghiên cứu định tính và nghiên cứu của Lê Văn Huy và Nguyễn Thị Hoài Ân (2013) |
Có thể bạn quan tâm!
-
Tác động của chất lượng website đến sự hài lòng và ý định mua của du khách - Trường hợp của doanh nghiệp du lịch lữ hành - 2 -
Chất Lượng Website Và Sự Hài Lòng Của Khách Hàng Trong Môi Trường Trực Tuyến -
Mô Hình Nghiên Cứu Tác Động Của Chất Lượng Website Đến Ý Định Mua Thông Qua Sự Hài Lòng Của Khách Hàng -
Kết Quả Cronbach’S Alpha Thang Đo Chất Lượng Website -
Kết Quả Kiểm Định Thang Đo Bằng Phân Tích Nhân Tố Khẳng Định Cfa -
Kiểm Định Các Giả Thuyết Trong Mô Hình Nghiên Cứu
Xem toàn bộ 121 trang tài liệu này.
Nguồn: Từ kết quả thảo luận ở nghiên cứu định tính
Bảng 3.1: Thang đo chất lượng website
Câu hỏi các biến quan sát | Nguồn | |
2/ HỮU DỤNG | ||
HD1 | Hệ thống thanh toán tiện lợi và dễ sử dụng | Kết hợp từ kết quả nghiên cứu định tính và nghiên cứu của Lê Văn Huy và Nguyễn Thị Hoài Ân (2013) |
HD3 | Tốc độ truy cập nhanh, dễ dàng truy xuất dữ liệu | |
HD7 | Có dịch vụ hỗ trợ, tư vấn khách hàng trực tuyến | |
HD2 | Đa ngôn ngữ (tiếng Việt, tiếng Anh...) | Thang đo được phát triển dựa theo nghiên cứu của Bai et al. (2008) |
HD4 | Bố cục sắp xếp hợp lý, khoa học. Hình ảnh trên website hấp dẫn, sinh động và thu hút | |
HD5 | Cấu trúc thông tin tương tác với người truy cập | |
HD6 | Giao diện đẹp, chuyên nghiệp và phù hợp với nội dung. Điều hướng hợp lý, rõ ràng giúp người duyệt website tìm thấy nội dung dễ dàng | |
HD8 | Tổng quan website ấn tượng, thu hút, có phong cách riêng và mang lại sự thoải mái cho người truy cập | |
Nguồn: Từ kết quả thảo luận ở nghiên cứu định tính
Thang đo sự hài lòng của khách hàng: Thang đo sự hài lòng của khách hàng gồm 5 biến quan sát và được thể hiện cụ thể ở Bảng 3.2.
Bảng 3.2: Thang đo sự hài lòng của khách hàng
Câu hỏi các biến quan sát | Nguồn | |
HL1 | Anh/Chị hài lòng với quyết định truy cập các website du lịch lữ hành? | Bai et al. (2008) dựa theo nghiên cứu của Anderson và Srinivasan (2003) sử dụng thang đo đa biến của Oliver (1980) |
HL2 | Nếu phải truy cập một lần nữa, Anh/Chị cảm thấy khác về việc truy cập các website du lịch lữ hành? | |
HL3 | Lựa chọn truy cập các website du lịch lữ hành của Anh/Chị là một lựa chọn thông minh? | |
HL4 | Anh/Chị cảm thấy không thỏa đáng khi truy cập các website du lịch? | |
HL5 | Việc truy cập các website du lịch lữ hành của Anh/Chị là một việc làm đúng? | |
HL6 | Anh/Chị không hài lòng vì đã truy cập các website du lịch lữ hành? | Biến quan sát HL6 bị gạn bỏ theo kết quả nghiên cứu định tính |
Nguồn: Từ kết quả thảo luận ở nghiên cứu định tính
Theo Bai et al. (2008) thang đo sự hài lòng của khách hàng gồm 6 biến quan sát. Tuy nhiên theo kết quả của nghiên cứu định tính, biến quan sát HL6 “Tôi không hài lòng vì đã truy cập các website du lịch lữ hành” bị gạn bỏ; các thành viên trong 2 nhóm cho rằng, về mặt nội dung và ý nghĩa thì biến quan sát HL6 tương trùng với các biến quan sát khác trong thang đo hay khi loại bỏ biến quan sát HL6 thì thang đo HL còn lại 5 biến quan sát vẫn đảm bảo về mặt nội dung và ý nghĩa của thang đo
Thang đo ý định mua được kết hợp từ nghiên cứu của Cronin et al. (2000); Bai et al. (2008) gồm 5 biến quan sát được thể hiện trên Bảng 3.3.
Bảng 3.3: Thang đo ý định mua
Câu hỏi các biến quan sát | Nguồn | |
YD1 | Anh/Chị sẽ sử dụng website du lịch lữ hành một lần nữa? | Cronin et al. (2000) |
YD2 | Anh/Chị sẽ giới thiệu website du lịch lữ hành đến những người khác? | |
YD3 | Nếu truy cập website du lịch lữ hành một lần nữa, Anh/Chị vẫn lựa chọn như trước? | |
YD4 | Anh/Chị sẽ mua sản phẩm/dịch vụ từ các website du lịch lữ hành trong vòng 6 tháng tới? | Bai et al. (2008) |
YD5 | Anh/Chị sẽ mua sản phẩm/dịch vụ từ các website du lịch lữ hành trong vòng 2 năm tới? |
Nguồn: Từ kết quả thảo luận ở nghiên cứu định tính
Các kết quả thang đo ở nghiên cứu định tính, sẽ điều chỉnh và hoàn thiện bảng câu hỏi cho nghiên cứu định lượng sơ bộ để tiếp tục đánh giá các thang đo ở các phương pháp tiếp theo.
3.4.2 Kết quả thang đo từ nghiên cứu định lượng sơ bộ
Các thang đo theo kết quả của nghiên cứu định tính sơ bộ được sử dụng trong nghiên cứu định lượng sơ bộ để tiếp tục đánh giá thông qua hai phương pháp chính là: phương pháp hệ số tin cậy Cronbach’s Alpha và phương pháp phân tích nhân tố khám phá EFA.






