(2009), sau khi tính đến những thay đổi trong ngắn hạn, mô hình ước lượng trong bài nghiên cứu của chúng tôi được chi tiết hóa bởi phương trình sau:

trong đó i = 1,…,N, N là số lượng ngân hàng, t = 1,…,T, T là thời gian nghiên cứu, và j = 0,…,k, thể hiện số độ trễ. Loansi,t là tín dụng của ngân hàng i trong năm t.
∆Ratet – j là sai phân bậc nhất của lãi suất ngắn hạn danh nghĩa, được sử dụng như một chỉ số của tình hình chính sách tiền tệ. ∆GDPt – j và ∆CPIt – j lần lượt là tỷ lệ tăng trưởng GDP và tỷ lệ lạm phát, đại diện cho nhu cầu về tín dụng. Các đặc điểm đặc trưng ngân hàng được đo lường bởi vector Zi,t – 1. Cuối cùng, chúng tôi tính đến các tác động cố định qua các ngân hàng, được đo lường bởi hệ số chặn αi.
Khi nghiên cứu về kênh cho vay ngân hàng ở các quốc gia khu vực Trung Âu và Đông Âu, Matousek và Sarantis (2009) đã đưa vào mô hình một biến giả hình thức sở hữu (Own) để xác định các tác động khác nhau của ngân hàng nước ngoài và ngân hàng trong nước đến tăng trưởng tín dụng ngân hàng tổng thể. Tuy nhiên, hoạt động của các ngân hàng nước ngoài tại Việt Nam hiện nay vẫn còn nhiều hạn chế, số liệu về các ngân hàng nước ngoài cũng không được công bố rộng rãi. Do đó, chúng tôi sẽ không đưa biến giả này vào mô hình khi nghiên cứu về kênh cho vay ngân hàng tại Việt Nam.
Nhiều nhà nghiên cứu đã gợi ý vài đặc điểm ngân hàng để xác định các ngân hàng khác nhau nhạy cảm như thế nào đối với những thay đổi trong chính sách tiền tệ. Theo Matousek và Sarantis (2009), chúng tôi sử dụng ba đặc điểm ngân hàng là quy mô (Size), thanh khoản (Liq), và vốn hóa (Cap) để kiểm tra sự tồn tại của các tác động phân phối của chính sách tiền tệ giữa các ngân hàng tại Việt Nam, cách đo lường các biến này được thực hiện tương tự như Ehrmann và cộng sự (2003) và Gambacorta (2005):



trong đó:
Sizei,t đại diện cho quy mô của ngân hàng i trong thời kỳ t; Liqi,t đại diện cho thanh khoản của ngân hàng i trong thời kỳ t; Capi,t đại diện cho vốn hóa của ngân hàng i trong thời kỳ t;
Nt là số lượng ngân hàng trong thời kỳ t.
Ai,t là tổng tài sản của ngân hàng i trong thời kỳ t;
Li,t là tổng tài sản thanh khoản của ngân hàng i trong thời kỳ t. Ci,t là tổng vốn chủ sở hữu của ngân hàng i trong thời kỳ t.
Quy mô của từng ngân hàng được định nghĩa như là logarit tự nhiên của tổng tài sản, thanh khoản được đo lường bằng tỷ số của tài sản thanh khoản trên tổng tài sản, vốn hóa ngân hàng được đo lường bằng tỷ số của tổng vốn chủ sở hữu trên tổng tài sản. Cả ba đặc điểm ngân hàng này đều được chuẩn hóa đối với giá trị trung bình của chúng qua tất cả các ngân hàng trong mẫu nghiên cứu. Việc xây dựng công thức tính toán cho các đặc điểm ngân hàng trong phương trình (3.3) và (3.4) đặt giá trị trung bình chung của thanh khoản và vốn hóa bằng không qua thời gian và qua các ngân hàng. Bằng cách này, những thay đổi theo thời gian của thanh khoản và vốn hóa trung bình không bị loại bỏ trong phân tích. Mặt khác, diễn giải về đặc điểm quy mô trong phương trình (3.2) không bao gồm sự tăng trưởng nhanh chóng của ngành ngân hàng, bằng cách đặt quy mô trung bình của một ngân hàng là không cho từng thời kỳ. Để tránh việc có nhiều giá trị khác nhau của các biến đặc điểm ngân hàng cho một
thời kỳ nhất định, chỉ có một độ trễ của các biến đặc điểm đặc trưng ngân hàng được đưa vào mô hình hồi quy.
Đặc điểm quan trọng nhất của mô hình là bao gồm các đại lượng tương tác (interaction terms), đó là tích số của chỉ số chính sách tiền tệ và các đặc điểm đặc trưng ngân hàng. Như đã được thảo luận, đại lượng tương tác của các đặc điểm đặc trưng ngân hàng với lãi suất ngắn hạn sẽ nắm bắt các tác động phân phối của tình hình chính sách tiền tệ. Giả định rằng các ngân hàng có quy mô nhỏ, thanh khoản kém, và vốn hóa thấp sẽ phản ứng mạnh hơn đối với những thay đổi trong chính sách tiền tệ so với các ngân hàng có quy mô lớn, thanh khoản tốt, và vốn hóa cao. Do đó, chúng tôi kiểm định các giả thuyết liên quan về sự tồn tại của kênh cho vay ngân hàng bằng cách đưa ra bằng chứng:
- Thứ nhất, ∂2Loansi,t / ∂∆Ratet – j ∂Sizei,t – 1 > 0. Điều này hàm ý rằng hoạt động cho vay của các ngân hàng lớn thì ít nhạy cảm hơn đối với những thay đổi trong chính sách tiền tệ so với hoạt động cho vay của các ngân hàng nhỏ. Kashyap và Stein (1995, 2000) và Kishan và Opiela (2000) cho rằng các ngân hàng nhỏ thì dễ gặp phải vấn đề bất cân xứng thông tin hơn các ngân hàng lớn. Điều này sẽ làm cho các ngân hàng nhỏ nhạy cảm hơn đối với các cú sốc chính sách tiền tệ, vì không giống như các ngân hàng lớn có thể dễ dàng gia tăng các nguồn vốn phi tiền gửi để đối phó với các cú sốc tiền tệ.
- Thứ hai, ∂2Loansi,t / ∂∆Ratet – j ∂Liqi,t – 1 > 0. Điều này hàm ý rằng các ngân hàng có thanh khoản cao thì ít nhạy cảm hơn đối với những thay đổi trong chính sách tiền tệ so với các ngân hàng có thanh khoản thấp. Kashyap và Stein (2000) và Ehrmann và cộng sự (2003) cho rằng trước một cú sốc tiền tệ thắt chặt, các ngân hàng thanh khoản cao có thể bảo vệ danh mục tín dụng của họ bằng cách giảm tài sản thanh khoản, trong khi các ngân hàng thanh khoản thấp thì không thể làm điều tương tự.
- Cuối cùng, ∂2Loansi,t / ∂∆Ratet – j ∂Capi,t – 1 > 0. Điều này hàm ý rằng các ngân hàng vốn hóa cao thì ít nhạy cảm hơn đối với những thay đổi trong chính sách tiền tệ so với các ngân hàng vốn hóa thấp. Peek và Rosengren (1995) và Kishan
và Opiela (2000, 2006) lập luận rằng các ngân hàng có nguồn vốn yếu kém sẽ giảm mức cung tín dụng của họ nhiều hơn so với các ngân hàng có nguồn vốn tốt sau một sự thắt chặt tiền tệ, do khả năng hạn chế của họ trong việc tiếp cận với các nguồn vốn phi tiền gửi.
Về các biến kinh tế vĩ mô, tương tự như Matousek và Sarantis (2009), chúng tôi sử dụng lãi suất điều hành ngắn hạn để đại diện cho chỉ số chính sách tiền tệ, và những thay đổi giá cả (những thay đổi trong CPI) và tăng trưởng GDP thực để giải thích cho tác động của môi trường kinh tế vĩ mô đến nhu cầu tín dụng.
Bảng 3.1. Các biến trong mô hình và mối tương quan mong đợi
Biến | Kỳ vọng về dấu | Giải thích |
∆ln(loans)i,t – 1 | + | Tăng trưởng tín dụng năm trước tạo quán tính làm tăng trưởng tín dụng năm sau (Altunbas và cộng sự, 2009) |
∆GDPt – j | + | Kinh tế tăng trưởng sẽ làm tăng nhu cầu tín dụng, dẫn đến cung tín dụng gia tăng (Kashyap và cộng sự, 1993) |
∆CPIt – j | + | Giá cả gia tăng sẽ làm tăng nhu cầu tín dụng, dẫn đến cung tín dụng gia tăng (Benkovskis, 2008) |
∆Ratet – j | - | Lãi suất tăng sẽ hạn chế tăng trưởng tín dụng (Bernanke và Gertler, 1995) |
Sizei,t – 1 | +/- | Ngân hàng thương mại có quy mô càng lớn, có thể tăng trưởng tín dụng cao hơn hoặc thấp hơn (Kashyap và Stein, 1995) |
Liqi,t – 1 | + | Thanh khoản ngân hàng năm trước càng lớn, sẽ giúp mở rộng tín dụng năm sau (Stein, 1998) |
Có thể bạn quan tâm!
-
Kênh cho vay ngân hàng và truyền dẫn chính sách tiền tệ tại Việt Nam - 1 -
Kênh cho vay ngân hàng và truyền dẫn chính sách tiền tệ tại Việt Nam - 2 -
Các Ước Lượng Của Phương Trình (4.1) Sử Dụng Dữ Liệu Ngân Hàng (Tiếp Theo) -
Tác Động Kinh Tế Vĩ Mô Của Kênh Cho Vay Ngân Hàng -
Một Số Kiến Nghị Và Gợi Ý Chính Sách
Xem toàn bộ 70 trang tài liệu này.
Capi,t – 1 | + | Vốn hóa ngân hàng năm trước càng lớn, sẽ giúp mở rộng tín dụng năm sau (Van den Heuvel, 2002) |
Sizei,t – 1∆Ratet – j | + | Các ngân hàng có quy mô càng nhỏ thì càng nhạy cảm đối với những thay đổi trong chính sách tiền tệ (Kashyap và Stein, 2000) |
Liqi,t – 1∆Ratet – j | + | Các ngân hàng càng kém thanh khoản thì càng nhạy cảm đối với những thay đổi trong chính sách tiền tệ (Ehrmann và cộng sự, 2003) |
Capi,t – 1∆Ratet – j | + | Các ngân hàng có vốn hóa càng thấp thì càng nhạy cảm đối với những thay đổi trong chính sách tiền tệ (Kishan và Opiela, 2006) |
Nguồn: Tổng hợp từ các nghiên cứu trước đây
3.2. Phương pháp nghiên cứu
Mô hình (3.1) được sử dụng trong bài nghiên cứu là một mô hình bảng động (Dynamic Panel Model). Do tính động của mô hình, nếu ước lượng mô hình bằng các phương pháp OLS, FEM hay REM, thì dù thừa nhận hay không thừa nhận mối tương quan giữa tác động riêng biệt αi (của từng ngân hàng, không đổi theo thời gian) và biến độc lập, thì kết quả ước lượng vẫn bị chệch và không vững vì ở mô hình (3.1) còn xuất hiện thêm mối tương quan giữa sai số εi,t và biến trễ của biến phụ thuộc Δln(loans)i,t – 1 (được sử dụng như biến độc lập) chưa được xử lý, gây thêm vấn đề nội sinh cho mô hình (Nickell, 1981).
Nhằm khắc phục các tồn tại này, Arellano và Bond (1991) đề nghị giải pháp dùng mô hình GMM sai phân (Difference Generalized Method of Moments – DGMM), tức là ước lượng mô hình (3.1) dưới dạng sai phân bậc nhất và sử dụng độ trễ của biến phụ thuộc và của các biến độc lập bị nội sinh như các biến công cụ (instrumental variables). Bằng sự chuyển hóa các biến hồi quy sang sai phân bậc nhất thì tác động riêng biệt αi đã bị loại, đồng thời việc sử dụng các độ trễ của biến phụ
thuộc và của các biến độc lập bị nội sinh như các biến công cụ cho phép tạo ra những điều kiện trực giao (orthogonal conditions) giữa sai số εi,t và các biến giải thích (bao gồm cả biến trễ của biến phụ thuộc Δln(loans)i,t – 1), tức loại bỏ được sự tương quan giữa chúng nhằm giải quyết vấn đề nội sinh tiềm ẩn.
Tuy nhiên, Blundell và Bond (1998) cho rằng khi biến phụ thuộc có mối tương quan cao giữa giá trị hiện tại và giá trị ở thời kỳ trước đó, và số thời kỳ là không quá dài, thì mô hình GMM (1991) là không hiệu quả, các biến công cụ sử dụng được đánh giá là không đủ mạnh. Blundell và Bond (1998) đã mở rộng mô hình GMM (1991) với việc xem xét đồng thời hệ thống hai mô hình – mô hình cơ bản (Level Equation) và mô hình sai phân (First – Difference Equation) – gọi chung là mô hình GMM hệ thống (System Generalized Method of Moments – SGMM). Đối với mô hình cơ bản, sẽ sử dụng biến công cụ là các biến trễ của sai phân bậc nhất các biến giải thích, đối với mô hình sai phân, sẽ sử dụng biến công cụ là các biến trễ của các biến giải thích (biến giải thích bao gồm cả biến trễ của biến phụ thuộc Δln(loans)i,t – 1).
Ngoài vấn đề nội sinh được gây ra bởi biến trễ của biến phụ thuộc ở vế bên phải của phương trình (3.1), còn có một vấn đề nội sinh khác xuất hiện, vì tín dụng ngân hàng có thể bị tương quan mạnh với các khoản mục khác trong bảng cân đối và do đó cũng bị tương quan mạnh với các đặc điểm đặc trưng ngân hàng (Benkovskis, 2008). Trong khi đó, chúng tôi giả định rằng chỉ số chính sách tiền tệ, tăng trưởng sản lượng, và tăng trưởng giá cả độc lập với tăng trưởng tín dụng ngân hàng riêng lẻ. Trong thực tế, tăng trưởng tín dụng của các ngân hàng lớn nhất vẫn có thể có một số ảnh hưởng đến các biến kinh tế vĩ mô trong nước. Tuy nhiên, việc giả định các biến kinh tế vĩ mô trong nước như là các biến ngoại sinh ngặt (strictly exogenous) không làm thay đổi đáng kể đến các kết quả nghiên cứu (Benkovskis, 2008).
Để giải thích tính chất tự hồi quy và khắc phục hiện tượng nội sinh của mô hình (3.1), bao gồm sự nội sinh của biến trễ biến phụ thuộc và sự nội sinh có thể tồn tại của các biến đặc điểm đặc trưng ngân hàng, phương pháp GMM hệ thống (SGMM, 1998) được sử dụng trong bài nghiên cứu của chúng tôi. Bên cạnh việc xử lý tốt vấn đề nội sinh bằng các biến công cụ, phương pháp SGMM còn phù hợp với các dữ liệu
bảng với chuỗi thời gian T ngắn và số lượng doanh nghiệp N nhiều. Trong bài nghiên cứu này, chúng tôi sử dụng dữ liệu bảng với thời gian ngắn chỉ 10 năm nhưng số lượng ngân hàng tương đối nhiều. Do đó, việc sử dụng phương pháp SGMM cũng phù hợp với nghiên cứu của chúng tôi về mặt dữ liệu.
Một vấn đề quan trọng khác đó là lựa chọn giữa ước lượng SGMM 1 bước và 2 bước. Sự khác biệt giữa hai ước lượng này cốt ở đặc trưng của một ma trận trọng số riêng lẻ, ước lượng 2 bước sử dụng phần dư của ước lượng 1 bước nên đạt hiệu quả cao hơn. Tuy nhiên, Benkovskis (2008) khuyến nghị rằng sai số chuẩn của ước lượng 2 bước có xu hướng bị chệch xuống trong các mẫu nhỏ, do đó, các kết quả của ước lượng 1 bước sẽ được sử dụng trong bài nghiên cứu của chúng tôi.
Các ước lượng trong bài nghiên cứu được thực hiện bằng phần mềm Stata 12, sử dụng lệnh xtabond2 được giới thiệu bởi Roodman (2009) với tùy chọn robust. Tùy chọn robust được sử dụng khi phần dư của mô hình có phương sai thay đổi. Thông thường các phần dư trong GMM sẽ tồn tại vấn đề HAC (phương sai phần dư thay đổi và tự tương quan) nên sử dụng robust là phù hợp. Tùy chọn robust sẽ ước lượng với giá trị thực của ma trận hiệp phương sai của các tham số. Các sai số thực của hệ số ước lượng sẽ được tính toán, theo đó, gia tăng tính tin cậy của hệ số ước lượng.
Mô hình SGMM (1998) chỉ được xem là phù hợp khi thỏa hai điều kiện. Thứ nhất, tồn tại các hạn chế về giới hạn xác định quá mức (overidentifying restrictions), tức nhằm xác định tính phù hợp của các biến công cụ, kiểm định sự không tồn tại mối tương quan giữa các biến công cụ và sai số. Thứ hai, không tồn tại hiện tượng tự tương quan bậc hai trong phần dư sai phân bậc nhất.
Để kiểm định tính phù hợp của SGMM, kiểm định Hansen (1982) về giới hạn xác định quá mức và kiểm định Arellano – Bond (1991) về hiện tượng tự tương quan được sử dụng. Đầu tiên, kiểm định Hansen (1982) về giới hạn xác định quá mức trong ước lượng SGMM là kiểm định chi bình phương về tính hợp lệ của biến công cụ. Biến công cụ tốt phải phù hợp và hợp lệ, tức là tương quan với các biến hồi quy nội sinh trong khi cùng lúc trực giao với phần dư (Baum và cộng sự, 2003). Giả thuyết H0 của kiểm định Hansen là: biến công cụ hợp lệ. Vì thế, giá trị p của thống kê Hansen
càng lớn càng tốt. Tiếp theo, kiểm định Arellano – Bond (1991) về hiện tượng tự tương quan trong phần dư AR(1) và AR(2), có giả thuyết H0 là: không tự tương quan và được áp dụng cho số dư sai phân. Kiểm định tiến trình AR(1) trong sai phân bậc 1 thường bác bỏ giả thuyết H0. Điều này bởi vì ∆εi,t = εi,t – εi,t – 1 và ∆εi,t – 1 = εi,t – 1 – εi,t – 2, cả hai đều có εi,t – 1. Cho nên kiểm định AR(2) quan trọng hơn bởi vì nó kiểm tra tự tương quan ở các cấp độ. Trong bài nghiên cứu này, vì phương pháp ước lượng bao gồm việc lấy sai phân bậc nhất, nên sẽ có sự hiện diện của tự tương quan bậc một, nhưng không được có tương quan bậc hai trong phần dư của phương trình sai phân bậc nhất. Vì thế, giá trị p của kiểm định Arellano – Bond cho AR(2) càng cao càng tốt.
3.3. Dữ liệu nghiên cứu
Nghiên cứu tiến hành ước lượng hồi quy dữ liệu bảng. Nguồn số liệu được thu thập từ báo cáo tài chính hợp nhất hàng năm đã được kiểm toán của 30 ngân hàng thương mại Việt Nam trong giai đoạn từ năm 2005 đến năm 20142. Trong đó, có 1 ngân hàng thương mại nhà nước, 4 ngân hàng có tỷ lệ sở hữu nhà nước lớn, và 25 ngân hàng thương mại cổ phần. Mẫu nghiên cứu không bao gồm các Ngân hàng Phát triển Việt Nam và Ngân hàng Chính sách Xã hội, vốn là các ngân hàng chuyên cấp tín dụng cho các đối tượng ưu tiên của chính phủ, do đó hoạt động tín dụng của các ngân hàng này ít bị ảnh hưởng bởi các quyết định chính sách tiền tệ. Các Ngân hàng Liên doanh, Ngân hàng Nước ngoài và Chi nhánh Ngân hàng Nước ngoài tại Việt Nam cũng không được đưa vào phân tích do hoạt động của nhóm ngân hàng này hiện nay vẫn còn nhiều hạn chế3, hơn nữa số liệu của nhóm ngân hàng này cũng không được công bố rộng rãi.
Về việc lựa chọn số liệu từ báo cáo tài chính hợp nhất thay vì số liệu từ báo cáo tài chính riêng, chúng tôi cho rằng các báo cáo tài chính hợp nhất là cơ sở để xem xét
2 Xem Phụ lục C.1 về danh sách các ngân hàng trong mẫu nghiên cứu.
3 Tổng tài sản của các Ngân hàng Liên doanh và Ngân hàng Nước ngoài tại Việt Nam chỉ chiếm khoảng 11% trong tổng tài sản của toàn ngành theo số liệu thống kê của Ngân hàng Nhà nước vào ngày 31/07/2013.
hoạt động của các ngân hàng hiện đại. Lý do chính là ngày nay phần lớn các ngân hàng đều phát triển theo hướng tập đoàn đa ngành nghề, đa lĩnh vực nên các báo cáo tài chính riêng không thể phản ánh được tình hình tài chính cũng như tình hình kinh doanh thực sự của các ngân hàng này mà chỉ có báo cáo tài chính hợp nhất mới đáp ứng được các mục tiêu trên.
Do các hạn chế về mặt công bố và thu thập số liệu, cũng như giai đoạn từ năm 2005 đến năm 2014 là giai đoạn chứng kiến sự phát triển đầy thăng trầm của ngành ngân hàng Việt Nam, với giai đoạn đầu của thời kỳ nghiên cứu đánh dấu sự phát triển mạnh mẽ khi có hàng loạt ngân hàng mới gia nhập ngành, trong khi giai đoạn sau của thời kỳ nghiên cứu cho thấy sự chững lại với những dấu hiệu thoái trào khi hàng loạt các ngân hàng đứng trước các yêu cầu về cải cách, sáp nhập, hay rời khỏi ngành. Vì vậy, có một số ngân hàng không có đầy đủ dữ liệu trong giai đoạn khảo sát, nên dữ liệu nghiên cứu thu thập được là dữ liệu bảng không cân đối (unbalanced panel data) với 30 ngân hàng và 295 quan sát.
Số liệu về bảng cân đối của từng ngân hàng được thu thập từ trang web của các công ty chứng khoán cũng như của chính các ngân hàng đó. Các chỉ số được sử dụng để đo lường biến tăng trưởng tín dụng ngân hàng và các biến đặc điểm đặc trưng ngân hàng mà chúng tôi sử dụng trong mô hình nghiên cứu là dữ liệu thứ cấp, được tính toán từ các khoản mục trên bảng cân đối của từng ngân hàng riêng lẻ4. Trong đó, tín dụng ngân hàng được xác định như là tổng cho vay khách hàng và bao gồm cả các khoản nợ có vấn đề. Quy mô của một ngân hàng được đo lường bằng tổng tài sản trên bảng cân đối của ngân hàng đó. Tài sản thanh khoản bao gồm tiền và các khoản tương đương tiền, tiền gửi tại Ngân hàng Nhà nước, tiền gửi tại và cho vay các tổ chức tín dụng khác, chứng khoán kinh doanh, chứng khoán đầu tư, các công cụ tài chính phái sinh và các tài sản tài chính khác. Nguồn vốn được định nghĩa như là tổng vốn và các quỹ (tương tự Matousek và Sarantis, 2009).
Như đã đề cập trong Phần 3.1, chỉ số chính sách tiền tệ trong mô hình nghiên cứu của chúng tôi được đại diện bởi những thay đổi trong lãi suất điều hành ngắn hạn.
4 Xem Phụ lục C.2 về số liệu bảng cân đối ngân hàng.
Về mặt lãi suất chính sách, tại Việt Nam có ba lãi suất chính: lãi suất bình quân liên ngân hàng (VNIBOR), lãi suất tái cấp vốn, và lãi suất tái chiết khấu. Tuy nhiên, cửa chiết khấu và vay tái cấp vốn tại Việt Nam hoạt động không nhiều và hiệu quả, trong khi đó hoạt động trên thị trường liên ngân hàng là kênh điều hành chính của Ngân hàng Nhà nước trong thực thi chính sách tiền tệ. Do đó, lãi suất bình quân liên ngân hàng thường được sử dụng như một chỉ số đại diện cho lãi suất của chính sách tiền tệ tại Việt Nam (Trầm Thị Xuân Hương và cộng sự, 2014). Các ngân hàng trung ương trên thế giới cũng sử dụng lãi suất bình quân liên ngân hàng làm lãi suất đại diện cho chính sách tiền tệ (Disyatat và Vongsinsirikul, 2003; Benkovskis, 2008). Trong bài nghiên cứu này, chúng tôi cũng sử dụng lãi suất bình quân liên ngân hàng kỳ hạn 3 tháng (VNIBOR 3M) như một chỉ số đại diện cho chính sách tiền tệ.
Thời kỳ mẫu kéo dài từ năm 2005 đến năm 2014. Đây dường như là một thời kỳ đủ dài bởi vì nó bao hàm toàn bộ chu kỳ của chính sách tiền tệ, tức là, các thời kỳ thắt chặt tiền tệ và nới lỏng tiền tệ (xem Hình 3.1).
Lãi suất bình quân liên ngân hàng kỳ hạn 3 tháng (%)
10
8
6
4
2
0
-2
-4
-6
-8
-10
18
16
14
12
10
2005 2006 2007 2008 2009 2010 2011 2012 2013 2014
8
6
4
2
0
DRATE (sai phân, cột trái)
RATE (giá trị, cột phải)
Hình 3.1. Chỉ số chính sách tiền tệ Việt Nam giai đoạn 2005 – 2014
Nguồn: Trung tâm Dữ liệu Đại học Kinh tế Thành phố Hồ Chí Minh
Có hai lý do để chúng tôi chọn năm 2005 làm mốc nghiên cứu. Thứ nhất, năm 2005 là năm có một số văn bản pháp luật quan trọng ra đời, làm tiền đề cho việc quản lý, điều hành và hoạt động đã chi phối không nhỏ đến hoạt động kinh doanh của các doanh nghiệp cũng như các tổ chức hoạt động trong lĩnh vực tín dụng như Luật Doanh nghiệp, Luật Cạnh tranh,… Thứ hai, vì tính sẵn có của dữ liệu và yêu cầu của các biến trong mô hình nghiên cứu.
Số liệu về lãi suất bình quân liên ngân hàng và tình hình kinh tế vĩ mô hàng năm (tăng trưởng sản lượng thực GDP và lạm phát CPI) trong thời kỳ từ năm 2005 đến năm 2014 được thu thập từ Trung tâm Dữ liệu Đại học Kinh tế Thành phố Hồ Chí Minh5. Số liệu được thu thập và sắp xếp theo dữ liệu bảng.
Cấu trúc dữ liệu bảng được kết hợp từ hai thành phần: thành phần dữ liệu chéo và thành phần dữ liệu thời gian. Dữ liệu bảng hiện nay được khai thác và sử dụng phổ biến, vì nó khắc phục việc ít dữ liệu, khắc phục nhược điểm của dữ liệu thời gian, dữ liệu chéo, và quan trọng đặc điểm dữ liệu dạng bảng thể hiện tính đa dạng và phong phú, giúp kết quả ước lượng có độ tin cậy cao.
Bảng 3.2. Thống kê mô tả các biến
Biến | 2005 - 2014 (N = 295) | |||
Giá trị trung bình | Giá trị nhỏ nhất | Giá trị lớn nhất | Độ lệch chuẩn | |
Cho vay (ln loan) | 16.6728 | 11.0602 | 20.1011 | 1.6151 |
Quy mô (ln asset) | 17.3272 | 11.8835 | 20.3623 | 1.6212 |
Thanh khoản (equity/asset) | 0.3751 | 0.0400 | 0.7493 | 0.1404 |
Vốn hóa (capital/asset) | 0.1231 | 0.0291 | 0.7121 | 0.0926 |
Lãi suất ngắn hạn (rate) | 9.0271 | 3.7400 | 16.2300 | 3.4562 |
Tăng trưởng GDP | 6.1977 | 5.2474 | 7.5473 | 0.7624 |
Lạm phát CPI | 10.2209 | 4.0898 | 23.1221 | 5.6673 |
Nguồn: Tính toán của tác giả
5 Xem Phụ lục C.3 về số liệu kinh tế vĩ mô.
Kết quả thống kê mô tả dữ liệu nghiên cứu được trình bày ở Bảng 3.2. Nhìn chung, sự phát triển của ngành ngân hàng vẫn chưa đồng đều, sự chênh lệch về quy mô tài sản, tổng tín dụng, tỷ lệ tài sản thanh khoản trên tổng tài sản, và tỷ lệ vốn chủ sở hữu trên tổng tài sản còn khá lớn.
Cụ thể, tăng trưởng tín dụng bình quân của các ngân hàng thương mại (được tính bằng logarit tự nhiên của tổng tín dụng) là 16.67%, biến thiên mạnh từ 11.06% đến 20.10%, con số này tương đương với tăng trưởng tài sản của các ngân hàng (được tính bằng logarit tự nhiên của tổng tài sản) là 17.33%, biến thiên từ 11.88% đến 20.36%, điều này cho thấy sự phát triển về quy mô của ngành ngân hàng đi kèm với sự tăng trưởng tín dụng cho nền kinh tế. Trong khi đó, tỷ lệ thanh khoản và tỷ lệ vốn hóa ngân hàng (được đo bằng tỷ số tài sản thanh khoản trên tổng tài sản và tỷ số vốn chủ sở hữu trên tổng tài sản) nhìn chung ít biến động, với độ lệch chuẩn tương đối thấp (0.14 và 0.09). Lãi suất ngắn hạn trung bình là 9.03% và biến động trong khoảng từ 3.74% đến 16.23%, cho thấy thời kỳ 2005 – 2014 là một thời kỳ chính sách tiền tệ Việt Nam có nhiều biến động lớn đi kèm với sự nỗ lực của Ngân hàng Nhà nước trong việc ổn định thị trường tiền tệ. Tuy nhiên, dường như hoạt động của nền kinh tế vẫn chưa đạt hiệu quả, mặc dù tốc độ tăng trưởng tín dụng tương đối cao (trung bình đạt 16.67%) nhưng tốc độ tăng trưởng GDP thực chỉ đạt 6.20%, trong khi đó tỷ lệ lạm phát CPI trung bình khá cao 10.22%, và biến động tương đối mạnh từ 4.09% đến 23.12% (với độ lệch chuẩn là 5.67). Điều này cho thấy ảnh hưởng của tín dụng ngân hàng đến lạm phát là lớn hơn đến tăng trưởng kinh tế, hàm ý rằng khả năng hấp thụ các nguồn tín dụng ngân hàng của nền kinh tế vẫn chưa được tốt.
CHƯƠNG 4
KẾT QUẢ NGHIÊN CỨU
4.1. Tác động bất đối xứng của chính sách tiền tệ đến cung tín dụng ngân hàng
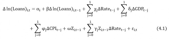
Để tìm hiểu về vai trò của kênh cho vay ngân hàng trong truyền dẫn chính sách tiền tệ của Ngân hàng Nhà nước Việt Nam, chúng tôi cần tìm hiểu chính sách tiền tệ có tác động như thế nào đến cung tín dụng ngân hàng. Theo lý thuyết về kênh cho vay, tác động của chính sách tiền tệ đến cung tín dụng ngân hàng có tính chất phân phối quan trọng, các ngân hàng khác nhau về quy mô, thanh khoản, vốn hóa sẽ phản ứng khác nhau trước một cú sốc tiền tệ thắt chặt. Để tìm kiếm các bằng chứng thực nghiệm về tác động bất đối xứng của chính sách tiền tệ đến cung tín dụng ngân hàng, chúng tôi tiến hành ước lượng mô hình (3.1) bằng phương pháp SGMM như đã được đề cập trong Chương 3. Ehrmann và Worms (2004) cho rằng chính sách tiền tệ có độ trễ trong tác động đến các biến khác trong nền kinh tế, tương tự như Matousek và Sarantis (2009), trong bài nghiên cứu này, chúng tôi cũng đã thử nghiệm với nhiều độ trễ khác nhau cho các biến giải thích và biến phụ thuộc, nhưng các thử nghiệm cho thấy rằng các độ trễ dài hơn thì không có ý nghĩa thống kê, vì vậy một độ trễ là đủ cho Việt Nam. Mô hình (3.1) với một độ trễ được cụ thể hóa như sau:

Các ước lượng của mô hình được trình bày trong Bảng 4.1, trong đó thể hiện hệ số hồi quy và mức ý nghĩa của các biến6. Đối với các đặc điểm ngân hàng, chúng tôi ước lượng mô hình với từng đặc điểm riêng biệt (cột 1 – cột 3), sau đó với từng cặp đặc điểm (cột 4 – cột 6), và cuối cùng với tất cả ba đặc điểm với nhau (cột 7). Trong
6 Kết quả chi tiết của các ước lượng được trình bày trong Phụ lục B.1 – Phụ lục B.7.
mỗi hồi quy chúng tôi sử dụng tất cả các biến độc lập nội sinh ở thời điểm t – 2 như là các biến công cụ7.
Chúng tôi sẽ tiến hành phân tích các kết quả được trình bày trong Bảng 4.1 lần lượt theo các nội dung sau:
- Đầu tiên là kết quả của các kiểm định Hansen và kiểm định Arellano Bond về sự phù hợp của các ước lượng SGMM.
- Tiếp theo, chúng tôi sẽ xem xét các tác động cố định qua các ngân hàng, tăng trưởng tín dụng ngân hàng, tác động trực tiếp của chính sách tiền tệ đến tăng trưởng tín dụng ngân hàng, tác động của cầu tín dụng đến tăng trưởng tín dụng ngân hàng, tác động của các đặc điểm ngân hàng đến tăng trưởng tín dụng ngân hàng, cũng như các tác động phân phối của chính sách tiền tệ đến tăng trưởng tín dụng ngân hàng.
- Sau cùng, chúng tôi sẽ tiến hành kiểm định độ chệch lựa chọn để đảm bảo độ tin cậy của các kết quả đã phân tích.
7 Theo Matousek và Sarantis (2009), thông thường đối với dữ liệu hàng năm, khi một biến độc lập nội sinh trong mô hình hồi quy ở thời điểm Xt – i, thì biến công cụ sẽ là Xt – i – 1.
Size (1) | Liq (2) | Cap (3) | Size Liq (4) | Size Cap (5) | Liq Cap (6) | Size Liq Cap (7) | |
Loans(1) | 0.5500*** | 0.8900*** | 0.8810*** | 0.5570*** | 0.5750*** | 0.9200*** | 0.5570*** |
Rate | -0.1210*** | -0.0071 | -0.0156 | -0.1250*** | -0.1170*** | 0.0010 | -0.1290*** |
Rate(1) | 0.0383 | -0.1140*** | -0.1150*** | 0.0356 | 0.0517 | -0.1220*** | 0.0650 |
GDP | 0.2360** | 0.5940*** | 0.6140*** | 0.2560** | 0.2110 | 0.6150*** | 0.1900 |
GDP(1) | -0.3680*** | -0.2130*** | -0.2360*** | -0.3770*** | -0.3390*** | -0.1950*** | -0.3490*** |
CPI | 0.0804*** | 0.0227* | 0.0307** | 0.0854*** | 0.0759*** | 0.0182 | 0.0822*** |
CPI(1) | 0.0032 | 0.1020*** | 0.1050*** | 0.0071 | -0.0064 | 0.1070*** | -0.0134 |
Size(1) | 0.3160*** | 0.3190*** | 0.3060** | 0.3200** | |||
Size(1)*Rate | 0.0063** | 0.0059** | 0.0135** | 0.0139** | |||
Size(1)*Rate(1) | 0.0016 | 0.0014 | -0.0009 | -0.0008 | |||
Liq(1) | 0.3690 | -0.1590 | 0.9290 | -0.0458 | |||
Liq(1)*Rate | -0.0015 | -0.0130 | -0.0119 | 0.0155 | |||
Liq(1)*Rate(1) | -0.0015 | -0.0087 | -0.0431 | -0.0399 |
Bảng 4.1. Các ước lượng của phương trình (4.1) sử dụng dữ liệu ngân hàng
37





