Viên nén 200mg, 400mg, 800mg. Thuốc tiêm 200mg/2ml.
Liều dùng
Người lớn: 800mg/ ngày vào buổi tối trong 4 - 8 tuần.
Trẻ em: 20 – 25mg/ kg/ ngày chia thành 4 -6 tuần trong 4 – 8 tuần.
OMEPRAZOL

Omeprazol
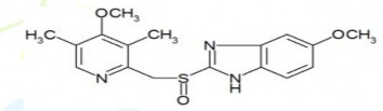
Tên khoa học: 6-methoxy-2-((4-methoxy-3,5-dimethylpyridin-2-yl) methylsulfinyl)-1H- benzol[d]imidazol
Kiểm nghiệm
Định tính
Có thể bạn quan tâm!
-
Một Số Chất Sát Khuẩn, Tẩy Uế Thường Dùng -
Tác Dụng Phụ - Chống Chỉ Định Mề Đay, Nhức Đầu, Chóng Mặt, Tê… Phân Và Nước Tiểu Có Thể Nâu Đỏ -
Nhận Dạng Được Công Thức Các Thuốc Trị Loét Dạ Dày – Tá Tràng. -
Trình Bày Được Các Cơ Chế Tác Dụng Của Thuốc Gây Nôn Và Chống Nôn, Cho Ví Dụ. -
Một Số Lưu Ý Khi Dùng Thuốc Hạ Huyết Áp -
Chỉ Định: Suy Tim Do Tổn Thương Van, Nhịp Nhanh, Loạn Nhịp.
Xem toàn bộ 293 trang tài liệu này.
- Phổ hấp thu IR
- Phổ hấp thu UV
- Sắc ký lớp mỏng
Thử tinh khiết
Dạng dung dịch, độ hấp thụ, tạp chất của omeprazole, chất tương tự, cặn dung môi, giảm khối lượng do sấy, tro sulfat (>0,1%, 1g).
Định lượng
Phương pháp acid – base, dung môi cồn – nước, chuẩn độ bằng NaOH 0,5M, xác định điểm kết thúc bằng điện thế kế.
Tác dụng
Ức chế chọn lọc trên H+/K+ ATPase, men này ở tế bào viền giúp cho sự vận chuyển ion H+ được tiết ra từ bên trong tế bào đi ra dạ dày để kết hợp vớ ion Cl- tạo nên HCl. Sự ức chế do tác động vào nhóm – SH của enzyme.
Thời gian tác động rất dài (>24h) cho phép dùng thuốc 1 lần mỗi ngày nên hữu hiệu hơn loại đối kháng với thụ thể H2 của histamin.
Chỉ định
Loét dạ dày, loét tá tràng tiến triển, viêm thực quản do hồi lưu dạ dày – thực quản.
Tác dụng phụ
Hiếm gặp, buồn nôn (4%), đầy hơi (4%), chóng mặt nhức đầu (3,5%), tiêu chảy.
Chống chỉ định
Phụ nữ cho con bú (do chưa có kết quả nghiên cứu)
Dạng dùng
Viên nang kháng tác động của dịch vị 20mg
Liều dùng
Người lớn: dùng 1 lần 20mg/ ngày trong 4 – 8 tuần.
166
Câu hỏi lượng giá
1. Thuốc kháng histamin H2 có cấu trúc chung như thế nào? Từ cấu trúc đó hãy so với cấu trúc của histamin. Rút ra kết luận?
2. Thuốc ức chế bơm proton có cấu trúc chung như thế nào? Sự thay đổi cấu trúc có ý nghĩa gì không?
3. Thuốc kháng acid có đặc điểm gì mà có khả năng trung hòa được acid dư? Nhóm này cần uống vào thời điểm nào tại sao?
4. Nhóm kháng acid khi sử dụng cần lưu ý những điều gì? Lý do tại sao?
5. Nhóm tăng cường yếu tố bảo vệ dạ dày nên uống vào lúc nào? Tại sao? Nhóm này có tác dụng phụ gì không? Giải thích?
6. Nhôm hydroxyd tan trong acid, kiềm? Nhôm hydroxyd ngoài cách điều chế từ phèn nhôm thì còn được điều chế từ phèn nhôm thì còn được điều chế từ đâu không? Nêu rõ? Nhôm hydroxyd định lượng bằng phương pháp nào? Tại sao?
7. Để cimetidine có tác dụng thì cấu trúc cấu tạo như thế nào? Định lượng bằng phương pháp nào? Tại sao?
8. Omeprazol bền vững trong môi trường nào? Do đó omeprazole thường có dạng bào chế nào? Tại sao?
167
BÀI 21. THUỐC NHUẬN, TẨY
MỤC TIÊU BÀI HỌC: Sau khi học xong bài này, sinh viên có khả năng
1. Nhận dạng được công thức các thuốc nhuận tràng – tẩy xổ.
2. Trình bày được tác dụng, tác dụng phụ, chỉ định của các thuốc nhuận tràng – tẩy xổ.
3. Vận dụng những kiến thức đã học vào hoạt động nghề nghiệp.
NỘI DUNG
1. ĐẠI CƯƠNG
1.1. Nguyên nhân gây táo bón
Táo bón không phải là bệnh mà là một triệu chứng có thể là hậu quả của nhiều bệnh. Nguyên nhân của táo bón:
- Do bẩm sinh
- Do tư thế bất động lâu ngày.
- Do rối loạn hormon và chuyển hóa: có thai, thiểu năng giáp trạng, cường phó giáp trạng, cường calci huyết, nhược kali huyết.
- Do tổn thương về thần kinh: lo âu.
- Do tổn thương ruột và trực tràng.
- Do dùng thuốc: opiat, kháng cholinergic, chống trầm cảm.
1.2. Thuốc nhuận tràng, thuốc xổ
Thuốc nhuận tràng, thuốc xổ dùng để trị táo bón do làm gia tăng và dễ dàng sự bài tiết phân bằng cách gia tăng tác dụng tại chỗ nhu động ruột hoặc làm mềm chất chứa trong ruột. Các thuốc này được phân biệt với nhau do cường độ tác dụng và liều dùng.
Tác dụng của thuốc nhuận tràng êm dịu hơn thuốc xổ vì cho phân có dạng như bình thường còn thuốc xổ đôi khi làm tiêu chảy.
Trường hợp sử dụng:
Rối loạn sự vận chuyển của ruột già do dùng thuốc (opiat), bất động lâu ngày, tuổi già. Cần gia tăng sự tống các chất độc, chuẩn bị nội soi, X quang chẩn đoán hoặc phẫu thuật.
1.3. Phân loại
Có thể phân loại nhiều cách
1.3.1. Theo bản chất của thuốc
- Chất xơ
- Muối: Magnesi sulfat, natri sulfat
- Đường sorbitol
- Dầu paraffin, dầu thầu dầu
1.3.2 Theo cấu trúc
- Các polysaccarid như peptin, gôm, glycoprotein có trong rau quả, ngũ cốc nguyên vẹn, là những sợi không tan trong nước gồm những chuỗi carbon không bị tấn công bởi men tiêu hóa, không được hấp thu liên kết với nước và các ion trong ruột nên phồng lên.
- Sợi thức ăn: cám lúa mì
- Cám có acid phytic nên tạo tủa với ion Zn và Ca.
168
- Chất nhầy: agar – agar
- Gôm: nhựa trôm
- Hạt lanh
Tác dụng phụ của nhóm là do sợi làm tăng khối lượng phân cũng tạo diều kiện cho vi khuẩn phát triển dễ dàng nên có thể tạo một số chất làm sinh hơi ở ruột, đau bụng ở người bị viêm ruột do đó nên tránh dùng trong trường hợp khó tiêu, viêm ruột cấp, viêm trực tràng, xuất huyết.
1.3.3. Theo cơ chế tác động
- Gia tăng khối lượng phân: chất xơ, chất nhầy.
- Thẩm thấu: do giữ nước tại ruột nen làm mềm phân, gồm magnesi sulfat, natri sulfat, sorbitol.
Thuốc nhuận tràng thẩm thấu dạng muối
Các muối chứa Na, Mg có tác động nhuận tràng là do khả năng giữ nước lại trong ruột. Thường được dùng để chuẩn bị cho phẫu thuật ống tiêu hóa, nội soi ruột, ngộ độc, loại trừ kí sinh trùng ở ruột kèm theo thuốc diệt giun sán.
- Các muối chứa Natri: Natri citrate, natri laurylsulfoacetat, natri tartrat, natri sulfat tác dụng rất mạnh, không dùng cho người suy thận, suy tim.
- Thuốc muối magnesi hydrat hóa: nhũ tương hóa với dầu paraffin có tác dụng nhuận tràng. Chất này kích thích tiết cholecystokinin làm tăng nhu động ruột. Không nên dùng thuốc này cho người suy thận.
Thuốc nhuận tràng thẩm thấu dạng đường
Các loại đường polyol do có cấu trúc phức tạp nên không được cơ thể hấp thu qua ruột.
*Lactulose hay fructose – galactose.
- Ngoài được chỉ định chính làm thuốc nhuận tràng, lactulose còn được dùng trong bệnh não do gan mạn do làm giảm sự hấp thu ammoniac vào máu.
*Lactitol hay sorbitol-galactos Tác dụng tương tự lactulose.
Dạng thuốc gói 10 g/ gói. Người lớn: 10-30g/ ngày, trẻ em: 0,25g/kg/ngày, trẻ sơ sinh: 2,5g/ ngày. Dùng 1 lần vào buổi tối.
*Sorbitol
Có thể dùng bằng cách uống hoặc qua đường trực tràng.
Được dùng chung với natri sulfonat polystryen trong trường hợp tăng kali huyết, với than hoạt trong trường hợp ngộ độc thuốc để tránh táo bón do các chất này gây ra.
Liều dùng 5-15g/ngày.
*Polyetylenglycol hay macrogol 4000
- Thuốc hút nước nên làm mềm phân.
- Không dùng cho bệnh nhân bị nghẽn ruột.
- Người lớn: 1-2 gói/ ngày. Gói chứa 10g macrogol 4000
Thuốc nhuận tràng kích thích
Gia tăng nhu động ruột: dầu thầu dầu, antraquinon.
Thận trọng khi dùng
- Có thể viêm hậu môn khi dùng lâu
169
- Không nên dùng cho bệnh nhân bị viêm ruột già xuất huyết.
Lạm dụng thuốc nhuận tràng
Đối với người có tổng trạng tốt thì thuốc nhuận tràng là lưu ý thứ hai sau việc chỉ định ăn nhiều chất xơ, uống nhiều, hoạt động thể lực hợp lý. Khi phải dùng thuốc thì nên dùng liều hữu hiệu nhưng thấp nhất, càng ít dùng càng tốt và ngưng thuốc ngay khi cần thiết.
Nếu bị táo bón do sử dụng dược phẩm thì nên thay đổi thuốc điều trị.
Sau khi tống xuất toàn bộ thuốc chứa trong ruột thì phải cần nhiều ngày để có lại việc đi đại tiện bình thường, trong những ngày này bệnh nhân lại nghĩ mình bị táo bón nên lại dùng thuốc, sau một thời gian như thế thì việc vận chuyển qua ruột bị rối loạn hoàn toàn và bệnh nhân sẽ phải lệ thuộc vào thuốc.
Có thể gây ra tiêu chảy, rối loạn chức năng hệ tiêu hóa, mất kali nên suy nhược, mất cân bằng kali có ảnh hưởng đến thần kinh cơ và tim.
2. MỘT SỐ THUỐC THÔNG DỤNG
MAGNESI SULFAT
Mg(OH)2.7H2O
Điều chế
Từ acid sulfuric loãng với magnesi carbonat
H2SO4 + MgCO3 = MgSO4 + H2CO3
Dung dịch được cô để kết tinh. Tinh chế sản phẩm bằng cách tái kết tinh trong nước.
Kiểm nghiệm
Định tính
Phản ứng của ion Mg++, SO4—
Thử tinh khiết
Dạng dung dịch, giới hạn acid – kiềm, clorid, arsenic, kim loại nặng, sắt, giảm khối lượng do sấy khô.
Định lượng
Phương pháp complexon.
Tác dụng
Ion SO42- không được hấp thu nên giữ lại các cation để có sự cân bằng điện tích. Ion Mg2+ còn có thể kích thích màng nhầy tá tràng tiết ra cholecystokinin hay pancreatozymin làm tăng nhu động ruột.
Thuốc này còn được gọi là thuốc xổ muối, gây ra sự bài xuất phân lỏng sau khi uống 1 -3 giờ nên có thể dùng để tháo sạch ruột khi bị ngộ độc.
Chỉ định
Táo bón, thời gian dùng thuốc không quá 8 – 10 ngày
Chống chỉ định
Dùng MgSO4 cho người suy thận do có nguy cơ ngộ độc Mg.
Liều dùng
Người lớn: 2 thìa cà phê/ ngày vào buổi tối
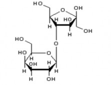
LACTULOSE
170

C12H22O11
Tên khoa học: 4-O-(β-D-galactopyransyl)-D-arabino-hex-2-ulofuranose.
Kiểm nghiệm
Định tính
Sắc ký lớp mỏng, phản ứng tạo tủa với Cu tartrat, phản ứng màu với ammoniac, năng suất quay cực.
Thử tinh khiết
Độ trong và màu của dung dịch, pH, năng suất quay cực, chất tương tự là galatose, lactose, apilactose, tagatose và fructose, bor, chì, hàm lượng nước, tro sulfat, nhiễm vi khuẩn.
Định lượng
Sắc ký lớp mỏng.
Tác dụng
Là disaccarid tổng hợp không bị phân hủy bởi các men tiêu hóa, có tác động như thuốc nhuận tràng thẩm thấu.
Tác động kéo dài 24 – 48 giờ, dễ dung nạp ngay cả ở phụ nữ có thai và trẻ con. Không tái hấp thu ở ống tiêu hóa mà chuyển dạng ở ruột già thành acid lactic, acetic, thải qua phân. Khi vào ống tiêu hóa được thủy phân bởi hệ vi khuẩn ruột tạo thành acid lactic và acid acetic, kích thích nhu đông ruột.
Chỉ định
Trị táo bón ngay cả ở phụ nữ có thai và trẻ em. Có tác động 30 phút đến 3 giờ.
Chống chỉ định
Chế độ ăn kiêng lactose, viêm ruột.
Dạng dùng
Thuốc bột 10g; dung dich uống 200ml, 10g/ thìa canh.
Liều dùng
- Người lớn: 10 – 30g/ ngày.
- Trẻ em: 0,25mg/ kg/ ngày. Trẻ sơ sinh: 2,5 – 3g/ ngày vào buổi tối.
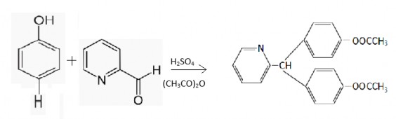
BISACODYL
C12H19NO4
Tên khoa học: diacetat 4,4’-(2-pyridylmethylen) diphenyl
Điều chế
171

Kiểm nghiệm
Định tính
Phổ hấp thu IR, điểm chảy, phổ hấp thu UV, sắc ký lớp mỏng.
Thử tinh khiết
Giới hạn acid – base, chất tương tự, giảm khối lượng do sấy, tro sulfat.
Định lượng
Phương pháp môi trường khan
Tác dụng
Gia tăng nhu động ruột và sự bài tiết nước, các chất điện giải.
Chỉ định
Táo bón, không dùng quá 8 – 10 ngày.
Chống chỉ định
Phụ nữ có thai, cho con bú, trẻ dưới 15 tuổi, đau bụng không rõ nguyên nhân.
Tương tác thuốc
Không phối hợp với các thuốc gây xoắn đỉnh.
Dạng dùng – liều dùng
Viên nén 5mg. Người lớn 1 – 2 viên/ ngày vào buổi tối.
Câu hỏi lượng giá
1. Thuốc nhuận tràng phân loại như thế nào? Giải thích từng nhóm dựa vào cấu trúc?
2. Từng nhóm nhuận tràng khi sử dụng cần chú ý gì? Giải thích dựa vào cấu trúc?
3. Magnesi sulfat thuộc nhóm nhuận tràng nào? Được điều chế từ đâu? Định lượng bằng phương pháp nào? Tại sao?
4. Tính chất của lactulose? Khi định tính phản ứng với đồng tartrat tạo màu gì? Phản ứng với ammoniac tạo màu gì? Tại sao?
5. Bisacodyl được điều chế từ đâu? Viết phương trình điều chế? Nêu tính chất của bisacodyl?
172
BÀI 22. THUỐC CHỐNG TIÊU CHẢY, LỴ
MỤC TIÊU BÀI HỌC: Sau khi học xong bài này, sinh viên có khả năng
1. Nhận dạng được công thức phân thử các thuốc trị tiêu chảy
2. Trình bày được tác dụng, tác dụng phụ, chỉ định của thuốc trị tiêu chảy
3. Vận động những kiến trúc đã học vào hoạt động nghề nghiệp.
NỘI DUNG:
NỘI DUNG
1.Đại cương
1.1 Nguyên nhân và xử lý bệnh tiêu chảy Nhiễm, khuẩn, virus
Vi khuẩn hoặc virus xâm nhập vào thành ruột phát động sự viêm cùng với gia tăng tiếp dịch vào ruột. Hệ thống cơ ở ruột phản ứng lại bằng cách gia tăng nhu động.
Nhiễm khuẫn: Bệnh sốt thương hàn; viêm ruột cấp tính hay thứ cấp do Salmonella, Staphylococus, vi khuẩn ruột (thường xảy ra ở trẻ em). Các vi khuẩn tiết ra chất độc, chất độc này ức chế khả năng hấp thu nước và Nacl của ruột. Nhiễm độc tố vi khuẩn: ngộ độc thức ăn thường xảy ra cho nhiều người cùng một lúc khi dùng các thức ăn như: thịt, cá, sữa, nấm, đồ hộp….. không được chế biến, bảo quản tốt, các vi khuẩn phóng thích độc tố gây tiêu chảy: salmonella, Staphylococ, đặc biệt lả Botulis.
Nhiễm khuẩn: điều trị bằng kháng sinh, sulfamid kháng khuẩn đường ruột. Nhiễm virus: chỉ có thể điều trị triệu chứng.
Nhiễm ký sinh trùng
Amib ruột, Giardia là các ký sinh trùng thường gặp trong các trường hợp nhiễm khuẩn ruột do ký sinh trùng có thể gây tiêu chảy.
Điều trị nguyên nhân: bằng các thuốc diệt ký sinh trùng.
Do dùng thuốc
Dùng kháng sinh uống phổ rộng
Colchicin trong điều trị Gout, khi ngừng uống sẽ hết.
Ung thư đường tiêu hóa
Ung thư dạ dày, tụy, ruột,… thường xảy ra ở những người trên 50 tuổi và không có nguyên nhân rõ ràng, có thể chẩn đoán bằng cách siêu âm, chụp X quang.
Rối loạn chức năng tiêu hóa
Là nguyên nhân cuối cùng sau khi bị loại trừ các nguyên nhân khác.
1.2 Nguyên tắc điều trị
- Ngăn chặn sự mất nước và chất điện giải.
- Giảm số lần đi cầu
1.3 Các thuốc điều trị
173






