Là những thuốc có tác dụng thuần túy trên triệu chứng, cho nên khi dùng thuốc vẫn phải chuẩn đoán và điều trị nguyên nhân.
1.3.1 Dung dịch bù nước.
Gồm có các muối khoáng natri clorid (Nacl) natri citrat, kali clorid (KCl), glucose. Bù nước là cách quan trọng nhất để điều trị tiêu chảy khi không phải lả dạng dung dịch tả.
1.3.2 Thuốc giảm nhu động ruột.
Cao thuốc phiện (opiat): làm giảm thụ động ruột và giải tiết dịch ruột. Sự kích thích các thụ thể opiate ở đám rối thần kinh nơi thành ruột sẽ ức chế hoạt động đẩy tới các chất chứa trong ruột và làm tăng hoạt động dao động.
Thường được chỉ định trong trường hợp tiêu chảy kèm theo co thắt và đau bụng nhiều. Dùng liều cao có thể gây ra táo bón, quen thuốc, co thắt phế quản và suy hô hấp.
Trước đây người ta dùng cồn thuốc phiện nhưng do những tác động trung tâm như suy hô hấp, gây nghiện nên ngày nay không còn sử dụng, thay vào đó có khuynh hướng sử dụng các chất có tác động ngoại biên.
Loperamid: Cấu trúc piperidin, tác động mạnh hơn morphin và đi vào não rất ít. Có thể dùng riêng hoặc phối hợp với trimethoprim, bactrim, fluoroquinodol.
Diphennoxylat: Cấu trúc piperidin, là chuyển hóa chất có hoạt tính mạnh hơn morphin.
1.3.3 Chất kháng tiết dịch ruột.
Có thể bạn quan tâm!
-
Tác Dụng Phụ - Chống Chỉ Định Mề Đay, Nhức Đầu, Chóng Mặt, Tê… Phân Và Nước Tiểu Có Thể Nâu Đỏ -
Nhận Dạng Được Công Thức Các Thuốc Trị Loét Dạ Dày – Tá Tràng. -
Nhận Dạng Được Công Thức Các Thuốc Nhuận Tràng – Tẩy Xổ. -
Một Số Lưu Ý Khi Dùng Thuốc Hạ Huyết Áp -
Chỉ Định: Suy Tim Do Tổn Thương Van, Nhịp Nhanh, Loạn Nhịp. -
Liên Quan Giữa Mức Lipid Trong Máu Với Bệnh Tim-Mạch
Xem toàn bộ 293 trang tài liệu này.
Acetorphan, raccecadotril là tiền chất của acetorphan. Đây là các chất ức chế enkephalinase.
Enkephalinase nội sinh có ở não và thành ruột, có vai trò trong sự điều tiết vận động, sự trao đổi nước và chất điện giải qua màng ruột.
Enkephalinase la enzyme phân hủy enkephalin nội sinh.
Thuốc ức chế Enkephalinase nên chống lại sự tiết dịch ruột quá mức bởi các độc tố, viêm….nên làm giảm sự mất nước.
1.3.4 Sản phẩm từ vi khuẩn.
Vi khuẩn ruột có thể tổng hợp một số ít acid amin, các vitamin nhóm B và ức chế sự phá triển của Candida albicans cũng như các mầm bệnh khác đặc biệt là các mầm phức tạp trong bệnh tiêu chảy do dùng kháng sinh.
Sản phẩm là vi khuẩn không gây bệnh được dùng để cấp bổ sung cho vi khuẩn ruột bị mất do tiêu chảy, gồm có :
- Sacharomyces boulardii
- Lactobacillus acidophilus
1.3.5 Chất hấp phụ
Pectin lactopprotein metyl, attapulgite, kaolin
Các chất này làm tăng độ nhớt của phân, hấp thụ các độc tố của vi khuẩn, thường được dùng trong trường hợp tiêu chảy mạn.
1.3.6 Chất che chở niêm mạc ruột. Diosmectit
Khi nào ruột, thuốc tạo thành lớp gel trên niêm mạc ruột, có sự tương tác giữ thuốc với glucoprotein của chất nhầy làm tăng sức chịu đựng của lớp gel nên bảo vệ được niêm mạc.
174
1.3.7 Kháng khuẩn đường ruột
Thường dùng các kháng sinh hấp thụ vào máu rất ít để có nồng độ cao trong ruột cao.
- Hydroxyquinolein: tiliquinol + tilbroquinol
- Nitrofuran: nifuroxazid
- Sulfamid: sulfaguanidin
- Aminosid: neomycin
- Polypeptide: colistin
- Dẫn chất salicylic: acid 5 – aminosalicylic
2. MỘT SỐ THUỐC THÔNG DỤNG ORESOL
Thành phần một gói
- Glucose: 20g
- Nacl: 3,5g
- Na citrate: 2,5g
-KCl: 1,5g
Cách sử dụng
Pha với nước uống để được một lít, uống càng nhiều càng tốt, không có liều tối đa, Sự hấp thụ Glucose kéo theo sự hấp thụ dễ dàng của các ion và nước. Bằng cách này tuy không làm giảm được số lần đi đại tiện nhưng có thể phục hồi sự mất nước và các chất điện giải.
DIPHENOXYLAT HYDROCLORID
Diphenoxylat
Tên khoa học: 1-(3-cyano-3,3’-diphenylpropyl)-4-phenylpiperidin-4-carboxylat ethyl
Tính chất
Lý tính
Bột kết tinh trắng hoặc hầu như trắng, không mùi hoặc hầu như không mùi: khó tan trong nước và isopropanol; hơi tan trong ethanol, aceton; dễ tan trong chloroform và dicloromethan; thực tế không tan ether và hexan.
Nóng chảy ở 2200C với sự phân hủy
Hóa tính
175
Hóa tính của Diphenoxylat hydroclorid là hóa tính của nhóm chức ester, hóa tính phân thơm, tính base của priperidin và hóa tính của hydroclorid kết hợp.
Kiểm nghiệm
Định tính
Phổ hấp thu IR phản ứng của CL-
Thử tinh khiết
Dạng dung dịch, chất tương tự giảm khối lượng do sấy. tro sulfat
Định lượng
Phương pháp chuẩn độ acid – base, dùng điện thế kế xác định điểm tương đương.
Tác dụng phụ
Khô miệng, buồn ngủ, nôn mửa, nhức đầu, ngứa, mày đay (hiếm) Quá liều: Suy hô hấp nặng với triệu chứng của atropine rồi hôn mê Điều trị quá liều bằng naloxon và kèm theo thông khí
Thận trọng khi dùng
Không dùng cho trẻ dưới 30 tháng, phụ nữ có thai hoặc cho con bú, lỵ cấp tính phân có máu và sốt cao, tiêu chảy do dùng kháng sinh (có khả năng viêm ruột màng giả). Do có atropine nên có thể gây glaucoma cấp.
Tương tác thuốc
Tránh phối hợp: rượu vì có nguy cơ gây ngủ
Dạng dùng Viên nén 2,5g Liều dùng
Người lớn: lần đầu tiên 5mg rồi sau đó 2,5 mg x 1 đến 3 lần/ ngày. Trẻ trên 30 tháng tuối: 2,5mg x 1 đến 3 lần/ngày.
LOPERAMID HYDROCHORID

Tên khoa học: 4-[4-(4-cloropheny)4-hydroxypiperidin – 1-y] – N,N- dimetyl – 2, 2 – diphenyl butanamid hydroclorid.
Tính chất
Lý tính
Bột kết tinh rất nhỏ hoặc vô định hình, màu trắng hoặc hơi vàng. Nóng chảy ở khoảng 225oC với sự phân hủy.
Loperamid hydroclorid it tan trong nước, tan trong ethanol, dễ tan trong methanol
176
Hóa tính
Hóa tính của amid là hóa tính của nhóm chức amid, tính base của nhân piperidin, hóa tính của nhân thơm và hóa tính của acid hydrochloric kết hợp. Ứng dụng các tinh chất này để định tính, định lượng và pha chế loperamid.
- Đun chế phẩm này với dung dịch kiềm giải phóng dimethylamin làm xanh giấy quỳ đỏ.
- Chế phẩm dược dùng là loperramid hydroclorid do vững bền hơn và dễ tan trong nước hơn loperamid base.
- Định lượng bằng phương pháp do acid trong môi trường khan.
Kiểm nghiệm
Định tính
Phổ hấp thu IR, phản ứng của Cl-, sắc ký lớp mỏng.
Thử tinh khiết
Dạng dung dịch, chất tương tự, giảm khối lượng do sấy, tro sulfat
Định lượng
Phương pháp chuẩn độ acid – base, xác định điểm tương đương bằng điện thế kế.
Chỉ định
Được đề nghị để dự phòng tiêu chảy do sử dụng kháng sinh, kết hợp với chất bù nước.
Do không có tác động trên hệ thần kinh trung ương ở liều điều trị, qua sữa mẹ không đáng kể nên được phép dùng cho phụ nữ đang ở thời kỳ cho con bú.
Tác dụng phụ
Táo bón, ngứa.
Quá liều có thể gây tắc liệt ruột và suy hệ thần kinh trung ương có thể chữa bằng naloxon. Thận trọng khi dùng
Không dùng cho trẻ em dưới 2 tuổi, bị lỵ cấp tính, phân có máu và sốt cao, tiêu chảy do kháng sinh (có khả năng viêm ruột màng giả).
Thận trọng đối với người bị suy gan.
Phụ nữ có thai 3 tháng đầu của thai kỳ chỉ dùng khi cần thiết.
Dạng dùng
Viên nang cứng 2mg; dung dich uống 90ml, ống 0,2mg/ml.
Liều dùng
Người lớn: lần đầu tiên 4mg rồi sau đó 2mg x 1-3 lần/ ngày, tối đa 0,2mg/kg/ngày. Trẻ em > 8 tuổi: lần đầu tiên 2mg, sau đó 2mg x 1-2 lần/ ngày, tối đa 0,2mg/kg/ngày.
Câu hỏi lượng giá
1. Phân loại các thuốc điều trị tiêu chảy? Cấu trúc chung của từng nhóm? Với từng nhóm cấu trúc thì thể hiện vai trò chống tiêu chảy như thế nào?
2. Oresol có thành phần như thế nào? Oresol có vai trò gì trong tiêu chảy? Khi sử dụng thuốc này cần lưu ý điều gì? Tại sao?
3. Loperamid theo sự phân loại thuộc nhóm nào? Hóa tính của loperamid như thế nào? Trình bày định tính, định lượng của loperamid?
177
BÀI 23. THUỐC GÂY NÔN VÀ CHỐNG NÔN
MỤC TIÊU HỌC TẬP
1. Trình bày được các cơ chế tác dụng của thuốc gây nôn và chống nôn, cho ví dụ.
2. Trình bày công thức cấu tạo, tên khoa học, điều chế (nếu có) của apomorphin hydroclorid, metoclopramid và dimehydrinat.
NỘI DUNG
Các thuốc gây nôn và chống nôn tác dụng theo nhiều cơ chế khác nhau.
Một số thuốc tác dụng lên thần kinh trung ương, kích thích hoặc ức chế trung tâm gây nôn ở hành tủy, một số thuốc khác lại có tác dụng lên cơ trơn, làm giảm hoặc tăng co bóp cơ trơn, do đó làm ức chế hoặc gây ra phản xạ nôn.
Thuốc có tác dụng gây nôn do kích thích trung tâm gây nôn như apomorphin, emetin ... được dùng để giải độc thuốc hoặc thức ăn.
Các thuốc có tác dụng chống nôn như metoclopramid, thiethylperazin, atropin, dimehydrinat, scopolamin ... được dùng trong các trường hợp nôn do tăng nhu động ruột, do rối loạn thần kinh trung ương (ví dụ khi say tàu, xe) hoặc do phản xạ.
Một số thuốc có tác dụng chống nôn (hoặc gây nôn) được trình bày ở các chương khác (như thuốc hủy phó giao cảm, thuốc kháng thụ thể H1 ...)
1. THUỐC GÂY NÔN
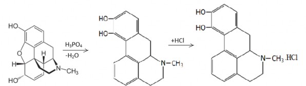
APOMORPHIN HYDROCLORID
Công thức

C17H18ClNO2. 1/2H2O ptl: 312,8
Tên khoa học: 6-methyl-5,6,6a,7-tetrahydro-4H-dibenzo[de,gư quinolin-10,11-diol hydroclorid
Điều chế:
Có nhiều phương pháp pháp để điều chế apomorphin nhưng cách hay dùng nhất là đun nóng morphin với acid phosphoric đặc (có tỷ trọng 1,76-1,78) ở nhiệt độ từ 1200C
178
đến 1400C. Khi đó morphin bị mất nước và tạo thành apomorphin. Kiềm hóa để được apomorphin base rồi cho tác dụng với acid hydrocloric thì được apomorphin hydroclorid.

Morphin Apomorphin Apomorphin hydroclorid
Tính chất:
Lý tính:
Apomorphin hydroclorid ở dưới dạng bột kết tinh trắng hơi xám vàng.
Trong không khí dễ bị oxy hóa thành màu xanh.
Chế phẩm tan trong nước(1/60), trong ethanol (1/50); gần như không tan trong ether, cloroform.
20 0 0
Nhiệt độ nóng chảy ở khoảng 1950C.
[α]D = từ -46 đến -56 ( dung dịch 1,5% trong acid hydroclorid loãng).
Hóa tính:
Do có 2 nhóm chức –OH phenol nên apomorphin rất dễ bị oxy hóa:
- Tác dụng với acid nitric đặc cho màu đỏ máu.
- Tác dụng với dung dịch iod trong môi trường kiềm natri carbonat rồi thêm ether và lắc. Sau khi để lắng thì lớp ether có màu tím đỏ, lớp nước ở phía dưới có màu xanh lá cây.
- Cho phản ứng của ion clorid.
Định lượng:
Thường dung phương pháp môi trường khan với acid percloric (ví dụ theo BP
2000).
Có thể định lượng ion clorid bằng phương pháp đo bạc.
Công dụng:
Apomorphin tác dụng lên trung tâm gây nôn, kích thích trung tâm này gây ra phản xạ nôn.
Chế phẩm được dung để giải độc khi bị ngộ ddooojc thuốc hoặc thức ăn.
Dạng dùng: Thuốc uống hay thuốc tiêm.
Liều dùng: Uống, tối đa 0.01 g/lần; 0.03 g/24 giờ.
Tiêm tối đa 0.005 g/lần; 0.01 g/24 giờ.
Chú ý: Chế phẩm dễ bị oxy hóa nên khi dung mới pha.
Khi trung tâm gây nôn bị ức chế (chẳng hạn do thuốc ngủ) thì thuốc không còn có tác dụng.
Bảo quản: Cần đựng trong lọ kín, tránh ánh sáng vì rất dễ bị oxy hóa.
179
EMETIN HYDROCLORID
Trước đây dùng emetin (có trong dược liệu Ipeca) để gây nôn (theo đường uống), nay chất này chủ yếu dùng dạng thuốc tiêm để trị lỵ amip.
2. THUỐC CHỐNG NÔN
METOCLOPRAMID
Biệt dược: Ananda; Clopra; Gastronerton.
Công thức:

C14H22ClN3O2.HCl p.t.l: 354,3
Tên khoa học: 2-methoxy-5-cloro-4-amino-N-[2-(diethylamino)ethyl] benzamid hydroclorid
Điều chế:
Tổng hợp hóa học, ví dụ ngưng tụ 2-methoxy-4-nitro-5-clor benzol clorid với N,N- diethyl ethylene diamin, sau đó khử hóa nhóm nitro và them acid hydrochloric.
Tính chất:
Bột kết tinh nhỏ, trắng, vị đắng, không bền với ánh sang, rất dễ tan trong nước (tạo thành dung dịch có pH từ 5.3 đến 6.3), dễ tan trong ethanol, thực tế không tan trong ether.
Nhiệt độ nóng chảy khoảng 1830C-1850C.
Định tính:
- Hấp thụ ánh sáng tử ngoại: Có các cực đại hấp thụ ở 272.5 nm và 308 nm. (có thể ứng dụng để định tính và định lượng).
- Là một amin thơm bậc nhất nên cho phản ứng diazo hóa: Với natri nitrit trong môi trường acid sau đó them dung dịch naphtol trong kiềm thì có tủa màu đỏ.
- Cho phản ứng của ion clorid.
Định lượng:
Thường dùng phương pháp môi trường khan. Ví dụ hòa chế phẩm vào anhydride acetic, thêm chloroform và acetat thủy ngân II, định lượng bằng dung dịch acid perclorid 0.1M trong dioxin đến màu đỏ tím (chỉ thị là vàng methanol).
Công dụng:
Metoclopramid là một thuốc tổng hợp có tác dụng chống nôn mạnh và điều hòa nhu động ruột.
Được chỉ định trong các chứng nôn, buồn nôn, nấc, đau nửa đầu, rối loạn vận động đường tiêu hóa như khó tiêu do rối loạn nhu động ruột hoặc chuẩn bị cho một số xét nghiệm đường tiêu hóa.
Liều dùng:
Người lớn uống 5-10 mg/lần, 3 lần/ngày. Trong hội chứng cấp thì tiêm bắp hoặc tiêm tĩnh mạch 1 đến 3 ống (ống 10 mg/2 ml) trong 1 ngày.
180
Trẻ em thường dùng uống thuốc giọt với liều 0.5 mg/kg cơ thể trong 1 ngày, chia làm 3 lần.
Dạng dùng:
Viên nén 5, 10 và 15 mg; ống tiêm 2 mg/18 ml; dung dịch uống 5 mg/5 ml; thuốc giọt 0.1 mg/giọt; thuốc đạn 10 và 20 mg.
Chống chỉ định:
Bệnh ở đường tiêu hóa (có biểu hiện xuất huyết, tắc, thủng …), rối loạn vận động muộn do thuốc, u tủy thượng thận, người động kinh.
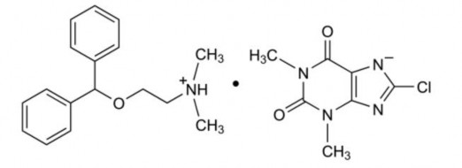
DIMENHYDRINAT
Tên khác: Diphenhydramine theoclat,
Biệt dược: Dramamine; Agolene; Dimenate; Xamamina.
Công thức:

C17H7ClN4O2. C17H21NO ptl: 470,0
Là muối diphehydramin của 8-chlorotheophylinat.
Tên khoa học: 8-chloro-3,7-dihydro-1,3-dimethyl-1H-purin-2,6-dion kết hợp với 2- (diphenylmethoxy)-N,N dimethylethylamin (tỷ lệ 1:1).
Tính chất:
Bột kết tinh trắng, không mùi, ít tan trong nước, dễ tan trong ethanol hoặc chloroform, hơi tan trong ether. Nhiệt độ nóng chảy khoảng 1020C-1060C.
Hóa tính của chế phẩm là hóa tính của hai thành phần trong công thức trên.
Định tính:
- Đo nhiệt độ nóng chảy.
- Đo phổ hồng ngoại, so với chuẩn dimehydrinat.
- Làm phản ứng kết tủa với acid picric (môi trường cồn) rồi đo độ chảy của tủa (1300C đến 1340C).
Định lượng:
- Diphenylhydramin: Định lượng bằng acid percloric trong môi trường khan (acid acetic khan). Xác định điểm kết thúc bằng đo thế.
- 8-clorotheophylin: Dùng dung dịch AgNO3 để kết tủa (môi trường khan ammoniac và amoni nitrat). Lọc bỏ tủa và định lượng bạc dư bằng dung dịch
181






