- Nhóm Ib: rút ngắn tái cực
- Nhóm Ic: dẫn truyền nhĩ thất mạnh
Nhóm II: Chẹn kênh K+
Kéo dài thời kì trơ, kéo dài thời kỳ tái cực
Nhóm III: Ức chế giao cảm
Nhóm IV: Ức chế kênh Ca2+
Phân loại theo tác dụng điều trị
- Tác dụng trên loạn nhịp nhĩ: Quinidin, Amiodaron, Verapamil, thuốc chen receptor β adrenergic
- Tác dụng trên loạn nhịp thất: Procanamid, Ajimalin, Lidocain
Có thể bạn quan tâm!
-
Nhận Dạng Được Công Thức Các Thuốc Nhuận Tràng – Tẩy Xổ. -
Trình Bày Được Các Cơ Chế Tác Dụng Của Thuốc Gây Nôn Và Chống Nôn, Cho Ví Dụ. -
Một Số Lưu Ý Khi Dùng Thuốc Hạ Huyết Áp -
Liên Quan Giữa Mức Lipid Trong Máu Với Bệnh Tim-Mạch -
Vẽ Được Khung Hoặc Công Thức Chung Của Mỗi Nhóm Thuốc (Nếu Có); Công Thức Cấu Tạo Của Các Chất Trong Chương. -
Hóa dược trường CĐ phương đông Đà Nẵng - 28
Xem toàn bộ 293 trang tài liệu này.
2.2. CÁC THUỐC
2.2.1. QUINIDIN SULFAT
Kiểm nghiệm
Định tính: Phản ứng Thaleo-erythroquinin, phản ứng tạo huỳnh quang. Ion SO42- phổ UV, IR
Định lượng: Phương pháp định lượng môi trường khan. Phương pháp acid-base. Phương pháp định lượng sắc ký trao đổi ion
Chỉ định: Nhịp nhĩ nhanh (tốt thất), nhịp thất nhanh
Tác dụng phụ
- Thường gặp là tiêu chảy (30-50%)
- Các phản ứng miễn dịch: giảm tiểu cầu, suy tủy, suy gan
- Kích thích niêm mạc tiêu hóa, buồn nôn, dị ứng, sốt, chóng mặt, mẩn ngứa
- Trụy tim mạch, ngoại tâm thu, nhịp thất nhanh, ngừng tim
Tác dụng
-Giảm tác dụng dẫn truyền
190
- Liều cao làm chậm nhịp tim, giãn mạch ngoại biên và hạ huyết áp
- Có tác dụng hủy đối giao cảm
- Làm giảm tính thấm của màng tế bào với các ion → ổn định màng
Tương tác thuốc
- Acetazolamid hay Natri carbonat → tăng hấp thu Quinidin
- Amilorid → nhịp thất nhanh, mất tác dụng của Néotigmin
- Ketoconazol→ nồng độ Quinidin trong máu
- Nifedipin, Verapamil làm giảm nồng độ Quinidin trong huyết tương
- nồng độ Digoxin, tăng nguy cơ tụt huyết áp
- Rifampicin , phenytoin, phenobarbital và các Barbituric giảm nồng độ quinidine trong huyết tương
- Cimetidin, Erythromycin có thể gây ngộ độc Quinidin
2.2.2. PROCAINAMID HYDROCLORID

Kiểm nghiệm
Định tính: Phổ UV, phổ IR, phản ứng diazo hóa Định lượng: Phương pháp diazo hóa (đo nitrit) Chỉ định: Loạn nhịp thất nhanh
Tác dụng phụ: Nôn, chán ăn, rối loạn tâm thần ảo giác có thể gây dị ứng
Tương tác thuốc
- Amiodaron → nồng độ của Procainamid
191
- Mất tác dụng Pyridostigmin và Neostigmin
- Thuốc hạ huyết áp: tăng nguy cơ tụt huyết áp
- Các thuốc ức chế H2→ giảm sự đào thải procainamide ở ống thận
- Ofloxacin cũng giảm thải trừ Procainamid
- Trimethroprim và Procainamid cạnh tranh thải trừ ở ống thận.
2.2.3. LIDOCAIN
Tác dụng: Lidocain là thuốc chống loạn nhịp nhóm Ib. Tác dụng chọn lọc trên loạn nhịp thất. Gần đây được dùng phòng loạn nhịp kèm theo nhồi máu cơ tim.
Chỉ định: Loạn nhịp thất, loạn nhịp thất do ngộ độc digitalis, nhồi máu cơ tim
3. THUỐC TRỊ ĐAU THẮT NGỰC
3.1. ĐẠI CƯƠNG
Nguyên nhân: Cơ tim thiếu oxy
Khắc phục
- Tăng mức cung cấp oxygen cho cơ tim: dùng thuốc giãn mạch
- Giảm mức tiêu thụ oxygen: dùng thuốc ức chế beta-adrenergic, thuốc ức chế kênh calci.
3.2. CÁC THUỐC
3.2.1. NITROGLYCERIN

Kiểm nghiệm
Định tính: phản ứng màu với diphenylamine
Định lượng: sắc ký khí
192
Chỉ định: phòng cơn đau thắt ngực, trị suy tim trái. Phối hợp với các thuốc khác trong phù phổi cấp
Lưu ý: tăng liều từ từ
Tác dụng phụ: tăng nhạy cảm thuốc, loạn nhịp, nhịp nhanh, rối loạn tiêu hóa, khô miệng, nhức đầu dữ dội, hạ huyết áp
Tương tác thuốc
- Một số thuốc cường giao cảm giảm tác dụng giãn mạch của Nitroglycerin
- Nitroglycerin cũng đối kháng tác dụng của Acetylcholin, histamine
- Aspirin dùng ở liều cao có thể ức chế sự hấp thu của Nitroglycerin qua đường dưới lưỡi
3.2.2. TRIMETAZIDIN HYDROCLORID

Kiểm nghiệm
Định tính: Phổ IR, Ion Cl-
Định lượng: Phương pháp bạc (HCl)
Tác dụng
- Là thuốc chống đau thắt ngực thế hệ mới là nhóm ức chế 3-ketoacylcoenzym A thiolase (3-KAT)
- Trimetazidin điều chỉnh quá trình chuyển hóa năng lượng cơ tim trong bệnh đau thắt ngực
Chỉ định
- Trị và dự phòng cơn đau thắt ngực, suy mạch vành
193
- Hỗ trợ các triệu chứng chóng mặt, ù tai, trị tổn thương võng mạc
- Điều trị chứng chóng mặt do nguyên nhân vận mạch
Tác dụng phụ: Rối loạn tiêu hóa, buốn nôn
Chống chỉ định: Cơn đau thắt ngực cấp hay nhồi máu cơ tim. Phụ nữ có thai và cho con bú, mãn cảm thuốc
4. THUỐC CHỮA SUY TIM
4.1. Đặc điểm chung
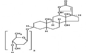
- Gồm các Glycosid tim có nguồn gốc từ thực vật, có cấu trúc tương tự nhau, cùng một cơ chế tác dụng.
- Cấu trúc gồm phần đường và phần không đường là Genin có cấu trúc Steroid
- Phần đường giúp dễ hòa tan và hấp thu.
- Phần không đường có tác dụng đặc hiệu trên tim
- Nếu dùng dạng thuốc chưa bị phân hủy thì cho tác dụng mạnh và kéo dài, độc tính cao như Digitoxin mạnh và độc gấp 3 lần Digitoxygenin.
4.2. Dược động học
- Hấp thu: đường uống, tiêm…
- Phân bố: đến các tổ chức, đặc biệt là trong tim khi Kali – huyết giảm.
- Chuyển hóa: chủ yếu ở gan (trừ Uabain)
- Thải trừ: Chủ yếu qua thận, phần nhỏ qua phân, tốc độ tùy loại Glycosid tim.
4.3. Tác dụng
- Cường tim: tăng sức co bóp, tăng trương lực cơ tim.
- Làm chậm nhịp tim.
- Điều hòa nhịp tim: chống loạn nhịp do giảm tính tự động và kích thích dẫn truyền, kéo dài thời gian trơ và lợi tiểu do ức chế tái hấp thu Na+, tăng tuần hoàn của thận.
4.4. Tác dụng phụ
194
- Rối loạn tiêu hóa: chán ăn, buồn nôn, tiêu chảy.
- Rối loạn thần kinh: chong mặt, nhức đầu, buồn ngủ.
- Rối loạn thị giác: giảm thị lực, loạn sắc.
4.5. Chỉ định: Suy tim do tổn thương van, nhịp nhanh, loạn nhịp.
4.6. Chống chỉ định: Nhịp chậm, nhịp nhanh tâm thất, rung thất, viêm cơ tim cấp.
4.7. CÁC THUỐC
4.7.1. STROPHANTIN G

Tên khác: Strophantin G
Biệt dược: Ouabaine*, Cardibain* CTPT: C29H44O12
Nguồn gốc: Là glycoside tim có trong cây sừng dê hoa vàng
Tính chất:
- Tinh thể không màu hay bột kết tinh trắng, không mùi, vị hơi đắng.
- Hơi tan trong nước, khó tan trong Ethanol, gần như không tan trong Ether và Cloroform. Không bền vững dưới tác dụng của ánh sáng.
Dạng thuốc: Ống dung dịch tiêm 0,25mg/1ml
Tác dụng: Cường tim, làm chậm nhịp tim, điều hòa nhịp tim. Xuất hiện rất nhanh chỉ sau khi tiêm 5-10 phút.
195
Tác dụng phụ: Rối loạn tiêu hóa: chán ăn, buồn nôn, ỉa chảy. Rối loạn thần kinh: chong mặt, nhức đầu, buồn ngủ. Rối loạn thị giác: giảm thị lực, loạn sắc.
Chỉ định: Suy tim, loạn nhịp, nhịp nhanh, mạch nhanh kèm rung nhĩ, phù phổi cấp, loạn nhịp tâm thất.
Chống chỉ định: Suy tim kèm mạch chậm, tổn thương hoặc thoái hóa cơ tim, ngoai tâm thu tâm thất.
Cách dùng: Tiêm tĩnh mạch 0,25mg/lần, ngày 1-2 lần. Truyền nhỏ giọt tĩnh mạch.
Liều tối đa: tiêm tĩnh mạch 0,50mg/ lần, 1mg/ ngày.
4.7.2. DIGOXIN

CTPT: C41H64O16
Tính chất: có nguồn gốc từ lá cây Digitan lông (Digitalis lanata Ehrh). Thuốc được hấp thu nhanh và thải trừ nhanh hơn Digitoxin, ít gây tích lũy trong cơ thể.
Dạng thuốc:
- Viên nén: 0.125mg, 0.25mg, 0.50mg
- Ống tiêm: 0,1mg/1ml, 0,25mg/1ml
Tác dụng: làm chậm nhịp tim, điều hòa nhịp tim
Chỉ định: Suy tim, rung nhĩ, loạn nhịp và nhịp nhanh
Chống chỉ định: suy tim kèm nhịp chậm, tổn thương hoặc thoái hóa cơ tim, nghẽn nhĩ thất.
Cách dùng
196
- Tấn công: 0,5 – 1mg/ ngày, chia làm 2 lần.
- Duy trì: 0,125mg – 0,25mg/ ngày, uống 1 lần trong ngày.
- Liều tối đa: không được uống quá 1mg/ lần, 2mg/ ngày.
- Chú ý: Không được tiêm quá 1,5mg/ ngày. Trẻ em ở dạng tiêm với liều 0,01 – 0,02 Microgam/ 1kg thể trọng/ ngày.
Tương tác thuốc
- Ranh giới giữa nồng độ điều trị và nồng độ độc của Digoxin rất nhỏ
- Ngộ độc Digoxin có thể gây loạn nhịp tim nguy hiểm tính mạng, từ nhịp thất rất chậm đến nhịp nhanh thất
- Ở bệnh nhân đang bị bệnh về dẫn truyền điện tim, Digoxin có thể thúc đẩy block tim và nhịp tim chậm nghiêm trọng
- Bệnh nhân có Kali máu thấp có thể bị ngộ độc Digoxin ngay cả khi nồng độ Digoxin không tăng.
- Tương tự như vậy, Calci máu cao và Magie máu thấp làm tăng ngộ độc Digoxin và gây rối loạn nhịp nghiêm trọng
- Các thuốc như Quinidin, Verapamil và Amiodaron có thể làm tăng nồng độ Digoxin và nguy cơ ngộ độc
- Uống Digoxin cùng với chất chẹn Beta, hoặc chất chẹn kênh calci có thể gây nhịp tim chậm nghiêm trọng
5. THUỐC CHỐNG CHOÁNG PHẢN VỆ
5.1. Tác dụng
- Phục hồi chức phận của tim trong truocngwf hợp suy tim cấp
- Kích thích thần kinh trung ương ở trung tâm vận mạch và trung tâm hô hấp ở hành tủy
5.2. CÁC THUỐC
5.2.1. ADRENALIN
197






