Với vùng 2 (Châu Mỹ):
CS = ½ (21,356 – 17,771) = 1,7925 (triệu đồng)
* Giá trần = 21,356 * Giá chi trả = 17,771
Giá trị du lịch trung bình đối với khách du lịch quốc tế ước lượng khoảng 18,71 triệu đồng 1 khách.
Tổng giá trị du lịch
Bảng 2.25 tổng hợp giá trị du lịch của VQG Xuân Thủy vụ du lịch 2007 - 2008,
theo đó tổng giá trị du lịch của VQG là khoảng 2.4 tỷ đồng/năm.
Bảng 2.25: Tổng giá trị du lịch của VQG Xuân Thủy
Đơn vị: đồng
Tất cả du khách | Trên 1 du khách | ||
Khách nội địa | 605,557.276 | 606.770 | |
Khách quốc tế | 1.815.355.000 | 18.715.000 | |
Tổng | 2.420.912.276 |
Có thể bạn quan tâm!
-
Đánh Giá Các Giá Trị Sử Dụng Trực Tiếp Của Đnn -
Thống Kê Mô Tả Về Hoạt Động Nuôi Ngao Trong Mẫu Điều Tra -
Một Số Đặc Điểm Của Các Vùng Xuất Phát Của Du Khách Nội Địa -
Chi Phí Tu Bổ 20,7 Km Đê Biển Không Có Rừng Bảo Vệ Huyện Giao -
Một Nhóm Thông Tin Về Giá Trị Đa Dạng Sinh Học Của Vqg Xuân Thủy Được Trình Bày Cho Người Dân Khi Điều Tra -
Quan Điểm Về Việc Bảo Tồn Đất Ngập Nước Tại Xuân Thuỷ
Xem toàn bộ 208 trang tài liệu này.

Nguồn: Tổng hợp của tác giả từ kết quả nghiên cứu (2008)
2.4. ĐÁNH GIÁ CÁC GIÁ TRỊ SỬ DỤNG GIÁN TIẾP CỦA ĐNN
2.4.1. Giá trị hỗ trợ sinh thái cho nuôi trồng thủy sản của rừng ngập mặn
Như đã trình bày trong phần 2.2, các quan sát thực tế tại khu vực nuôi trồng thủy sản vùng cửa sông Ba Lạt cho thấy có một sự chênh lệch đáng kể giữa năng suất nuôi tôm tại các đầm nuôi quảng canh (không có rừng ngập mặn) và đầm nuôi sinh thái (có rừng ngập mặn trong ao). Sự chênh lệch về năng suất nuôi trồng này là do vai trò của RNM trong việc tạo ra điều kiện môi trường thuận lợi cho sinh vật tăng trưởng như điều hòa vi khí hậu, ổn định nền ao và cung cấp chuỗi dinh dưỡng trong ao. Giá trị hỗ trợ sinh thái cho nuôi trồng thủy sản của RNM được đánh giá trong luận án bằng phương pháp hàm sản xuất hộ gia đình và giá trị trường.
Mô hình lý thuyết
Việc đánh giá giá trị kinh tế của RNM trong việc hỗ trợ nuôi trồng thủy sản là một quá trình khá phức tạp, tuy nhiên đã được nghiên cứu về cả lý thuyết và thực nghiệm tại nhiều nơi trên thế giới [83]. Cho đến nay, có ba mô hình lý thuyết chính có thể sử dụng để nghiên cứu giá trị trên. Mô hình thứ nhất được xây dựng bởi Ellis và Fisher (1987), mô hình thứ hai do Karl-Gordon Mailer phát triển năm 1996 và mô hình thứ ba được Ivar Strand xây dựng năm 1997. Hai mô hình sau đều tập trung nhấn mạnh vào sự cân bằng kinh tế và sinh thái của hệ thống và đòi hỏi phải có chuỗi dữ liệu theo thời gian để nghiên cứu [84].
Trong điều kiện dữ liệu thứ cấp là khan hiếm, luận án sử dụng mô hình tiếp cận phân tích tĩnh của Ellis và Fisher [66]. Mô hình này sử dụng hàm số Cobb- Douglash để xây dựng hiệu quả tĩnh tối ưu của hàm mục tiêu. Các doanh nghiệp nuôi trồng trong thị trường cạnh tranh có hàm mục tiêu tổng quát như sau:
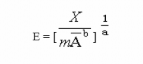
![]()
Trong đó p là giá thị trường của sản phẩm, E là nỗ lực đánh bắt, A là diện tích ĐNN
nuôi trồng theo hecta (là biến ngoại sinh), c là chi phí trên một đơn vị nỗ lực.
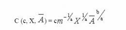
Gọi X là lượng thủy sản đánh bắt phụ thuộc vào nỗ lực và diện tích đất ngập nước,
hàm Cobb-Douglas sẽ có dạng:
![]()
Từ đó, hàm cực tiểu hóa chi phí có dạng:
![]()
Đạo hàm từng phần theo nỗ lực và nhân tử Lagrange được:

Từ phương trình trên, có thể giải để tính E:

Từ đó xây dựng hàm chi phí có dạng:

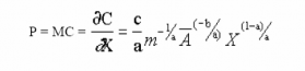
Trong mô hình này, giả sử quyền tài sản là tư nhân và thị trường cạnh tranh, ta có giá cả bằng chi phí cận biên MC. Hàm chi phí biên có dạng như sau:

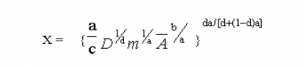
Vì p = MC nên lượng tối ưu sẽ là:

Như vậy, mức sản lượng cân bằng tương ứng với diện tích ĐNN khác nhau là có thể tính toán. Từ đó, giá trị của một đơn vị ĐNN gia tăng có thể tính toán được giống như sự gia tăng của thặng dư tiêu sản xuất [63].
Mô hình thực nghiệm
Như trên đã trình bày, để đánh giá mức độ ảnh hưởng của RNM đối với năng suất nuôi thủy sản, mô hình tĩnh Cobb-Douglas sẽ được sử dụng. Các thông tin thu thập sẽ giúp ước lượng các tham số của mô hình này.
Hàm sản xuất tổng quát có dạng:
Y = KaLb
Trong đó, sản lượng Y được mô tả là hàm của các yếu tố đầu vào. Các yếu tố đầu vào được chia thành 2 nhóm chính là vốn (K) và lao động (L). Hàm ước lượng bình phương nhỏ nhất sẽ có dạng:
LnY = alnK+ blnL
Trong mô hình thực nghiệm, luận án sử dụng kết hợp giữa ý tưởng của mô hình lý thuyết và phương trình hàm sản xuất Cobb-Douglas mở rộng để xem tác động của những yếu tố nội và ngoại sinh tới năng suất nuôi tôm, trong đó ngoài vốn và lao động là hai yếu tố truyền thống, mô hình có lồng ghép thêm yếu tố ngoại sinh là diện tích RNM trong ao.
Sử dụng dạng hàm Cobb-Douglas mở rộng ta có:
LnY = a*lnK + b*lnL + c*LAND + d*FOREST
Bảng 2.26: Giải nghĩa các biến số trong mô hình hàm sản xuất
Tên biến Ký hiệu Giải nghĩa Đơn vị
Sản lượng
tôm
Y Năng suất tôm thu hoạch trên 1 hecta ao nuôi
kg/hecta/năm
Chi phí CAPITAL Chi phí ngoài lao động trên 1
hecta ao nuôi
Lao động LABOR Tổng số ngày lao động trên
mỗi hecta ao nuôi một năm
Nghìn đồng
Số ngày lao
động/hecta/năm
Diện tích
nuôi
AREA Diện tích ao nuôi Hecta
Rừng ngập mặn
FOREST Tỷ số giữa diện tích rừng %
ngập mặn trong ao so với
tổng diện tích của ao nuôi
Biến giả DUMMY Biến giả phân biệt giữa ao
nuôi quảng canh và ao nuôi sinh thái
Nuôi quảng canh = 0 Nuôi sinh thái = 1
Nguồn: Tóm tắt từ nghiên cứu hiện trường của tác giả (2008)
Với những biến số trên, hàm sản xuất chung cho một quan sát thứ i có dạng:
ln(Yi) = a1 + a2DUMMYi + a3lnLABORi + a4lnCAPITALi + a5lnAREAi+ a6DUMMYi*FORESTi
Thu thập số liệu
Việc thu thập số liệu từ các hộ nuôi tôm để đánh giá giá trị hỗ trợ nuôi trồng thủy sản của RNM tại Xuân Thủy được lồng ghép trong quá trình thu thập số liệu về các họat động nuôi tôm của các hộ. Qui trình điều tra và mô tả phiếu điều tra được mô tả trong phần thu thập số liệu về giá trị sử dụng trực tiếp. Trong bảng hỏi các hộ nuôi tôm sinh thái có lồng ghép thông tin về tỷ lệ và diện tích RNM trong ao nuôi.
Bảng 2.27: Thống kê mô tả các biến số hộ nuôi tôm trong mẫu điều tra
Số phiếu | Nuôi quảng canh | Nuôi sinh thái | |
Giao Thiện | 35 | 19 | 16 |
Giao An | 24 | 13 | 11 |
Giao Lạc | 19 | 10 | 9 |
Giao Xuân | 2 | 2 | 0 |
Tổng | 80 | 44 | 36 |
Nguồn: Tổng hợp từ số liệu điều tra của tác giả (2008)
Kết quả nghiên cứu
Kết quả khảo sát cho thấy có sự khác biệt giữa các biến số cơ bản của các đầm nuôi
tôm quảng canh và sinh thái (bảng 2.28).
Bảng 2.28: Thống kê mô tả các biến số hộ nuôi tôm trong mẫu điều tra
Các biến số Nuôi quảng canh Nuôi sinh thái
Trung bình | Độ lệch chuẩn | Trung bình | Độ lệch chuẩn | |
Diện tích (ha) | 9,5 | 2,2 | 11,8 | 3,6 |
Sản lượng/1ha | 132,5 | 49,6 | 191,1 | 70,6 |
Tuổi của ao (năm) | 10,2 | 3,1 | 7,8 | 2,2 |
Lao động | 82 | 16,2 | 98 | 20,1 |
(ngày/ha/năm) | ||||
Tỷ lệ rừng ngập mặn trong ao (%) | - | - | 30 | 16,1 |
Nguồn: Tác giả xử lý từ số liệu điều tra (2008)
Như vậy, với mẫu nghiên cứu thì có một sự khác biệt đáng kể và có ý nghĩa giữa sản lượng nuôi tôm của ao quảng canh và ao sinh thái. Sản lượng trung bình của ao nuôi quảng canh là 133 kg/ha và sản lượng trung bình của ao nuôi sinh thái là 191 kg/ha. Ngoài ra, diện tích ao nuôi sinh thái trung bình cao hơn nuôi quảng canh trong khi tuổi của ao quảng canh lại lớn hơn tuổi nuôi tôm trong ao sinh thái. Số ngày lao động trên một đơn vị diện tích cũng có sự khác biệt giữa hai nhóm nuôi; trong đó số ngày trung bình lao động tại ao quảng canh là 82, còn ao sinh thái là 98 ngày. Đặc biệt, chỉ ở đầm sinh thái mới có cây ngập mặn với tỷ lệ che phủ trung bình là 30% diện tích ao. Kết quả ước lượng của mô hình hàm sản xuất với ao quảng canh và sinh thái được trình bày khái quát trong bảng 2.29.
Bảng 2.29: Hàm sản xuất nuôi tôm hộ gia đình
Hệ số | P value | |
Constant | 1.361 | 0.046 |
DUMMY | 1.023 | 0.053 |
Ln(LABOR) | 0.176 | 0.055 |
Ln(CAPITAL) | 0.255 | 0.090 |
Ln(AREA) | 0.432 | 0.421 |
DUMMY* FOREST | 0.478 | 0.085 |
R-square | 0.782 |
Nguồn: Tác giả xử lý từ số liệu điều tra (2008)
Theo kết quả ước lượng, các hệ số trong mô hình đều dương nhưng chỉ có hệ số của LABOR, CAPITAL và FOREST là có ý nghĩa ở mức sai số 10%. Hệ số của AREA là dương nhưng không có ý nghĩa. Điều này có nghĩa là hiệu quả kinh tế theo qui mô (economy of scale) không thể hiện trong mẫu nghiên cứu về nuôi tôm tại Xuân Thủy, cụ thể hơn việc tăng diện tích ao nuôi không làm gia tăng sản lượng tôm đầu ra. Tuy nhiên, vốn và lao động có ảnh hưởng tới sản lượng tôm, cụ thể là tăng 1% lao động có thể dẫn tới tăng 0.17% sản lượng đầu ra, tăng 1% vốn dẫn tới tăng 0.25% mức sản lượng.
Một kết quả quan trọng của mô hình này là tác động của biến rừng ngập mặn (FOREST) đến năng suất nuôi tôm. Hệ số của biến FOREST là dương (0.478) và có ý nghĩa ở mức sai số 10%. Như vậy, với đầm nuôi sinh thái thì khi tăng 1% tỉ lệ bao phủ của rừng sẽ làm tăng sản lượng tôm trung bình là tăng 0,478%. Như vậy có thể thấy nuôi tôm sinh thái sẽ cho năng suất nuôi cao hơn và ổn định hơn nuôi tôm quảng canh.
Hàm sản xuất có thể cho biết tác động của sự gia tăng mức độ che phủ RNM trong ao tới năng suất nuôi tôm của ao. Tuy nhiên, mô hình này không cho biết được sự tồn tại của một diện tích nhất định RNM trong ao nuôi sinh thái sẽ làm năng suất tôm khác biệt bao nhiêu so với năng suất nuôi tôm của ao có diện tích tương đương nuôi bằng phương pháp quảng canh. Để tính được giá trị này, nghiên cứu áp dụng một cách tiếp cận đơn giản là so sánh tổng sản lượng qui đổi về cùng một đơn vị diện tích giữa ao sinh thái và ao nuôi quảng canh và giả định sự khác biệt giữa hai mức sản lượng là do tác động của sự có mặt của RNM trong ao. Từ đó tính ra giá trị dịch vụ hỗ trợ sinh thái của RNM với nuôi tôm.
Kết quả trong mẫu cho thấy, tổng sản lượng nuôi tôm sinh thái của mẫu điều tra là 81,175 tấn tương ứng với tổng diện tích nuôi là 425 ha. Nếu qui đổi về diện tích nuôi tương tự và lấy năng suất trung bình trong ao nuôi quảng canh làm trọng số thì sản lượng tương ứng là 56,525 tấn. Tổng diện tích RNM trong mẫu nuôi sinh thái (qui đổi từ giá trị phần trăm) là 127,5 ha. Như vậy, giá trị tạm tính của một hecta RNM có trong ao nuôi trong việc hỗ trợ môi trường nuôi tôm là (81,175 – 56,525)/127,5*87.500 = 16,51 triệu đồng/năm.
Theo Phòng Thủy sản huyện Giao Thủy (2008), diện tích ao nuôi sinh thái chiếm khoảng 30% tổng diện tích nuôi tôm toàn vùng tương ứng 600 ha. Vì vậy, diện tích RNM trong các ao nuôi ước tính là 186 ha. Từ đó tổng giá trị của RNM trong ao trong việc hỗ trợ môi trường sinh thái cho nuôi tôm là 3.071.250.000 đồng/năm.
2.4.2. Giá trị phòng hộ đê biển của rừng ngập mặn
Rừng ngập mặn tại Xuân Thủy đóng vai trò như một “tấm đệm” chắn sóng có khả năng bảo vệ giảm bớt thiệt hại của bão gây ra cho đê biển, giúp duy trì được tính bền vững của đê. Hệ thống đê biển của huyện Giao Thuỷ với chiều dài khoảng 30,2 km, trong đó 20,7 km không có RNM phòng hộ và 10,5 km có RNM phòng hộ. Tổng diện tích RNM phòng hộ ngoài đê biển là 3.100 ha, trải dài gần 11 km dọc theo tuyến đê biển, nơi hẹp nhất là 0,5 km và nơi rộng nhất là 3,5 km.
Khu RNM phòng hộ đê biển được gây trồng vào những năm 1980. Có 5 loài cây ngập mặn chủ yếu gồm Trang (Kandelia ovata), Sú (Aegiceras corniculatum), Bần chua (Sonneratia caseolaris), Tra (Hibiscus tiliaceus) và Mắm biển (Avicenia marina). Trong đó, Trang và Sú là hai loài cây chiếm ưu thế ở khu vực này. RNM ở đây tuy không cao nhưng có mật độ dày đặc, khoảng 4.500 – 6.500 cây/ha, tán xòe rộng, độ che phủ trên 85% và khả năng tái sinh tự nhiên rất cao [40].
Khu vực Giao Thuỷ chịu ảnh hưởng của gió mùa Đông Nam, số lượng cơn bão trung bình nhiều năm trong vùng lên tới 5-7 cơn. Theo số liệu thống kê, từ năm 1960 trở lại đây, có trên dưới 10 cơn bão lớn với sức gió giật trên cấp 10 đổ bộ vào bờ biển của huyện. Trong đó đáng kể nhất là cơn bão Rose (1968), bão Alice (1975), bão Naney (1982), bão Franky (1996) và đặc biệt là bão Damrey (2005). Như vậy, theo quy luật từ 7-12 năm lại xuất hiện bão lớn một lần. Lũ và triều cường kết hợp với bão bão khiến cho các tuyến đê biển ở đây bị ảnh hưởng nghiêm trọng. Sau mỗi cơn bão lớn, rất nhiều đoạn đê biển bị phá vỡ hoặc xói lở nghiêm trọng.
Phương pháp đánh giá giá trị phòng hộ đê biển của RNM
Có rất nhiều phương pháp đã được sử dụng để tính toán giá trị phòng hộ đê biển của RNM trên thế giới, trong đó được sử dụng phổ biến là phương pháp chi phí thiệt hại tránh được (cost avoided method). Phương pháp này được xây dựng trên giả định là nếu con người phải gánh chịu những chi phí khi một dịch vụ môi trường nào đó mất






