
Hình 1.12. Cấu tạo máy hạ thân nhiệt Thermogard XP [99].

Hình 1.13. Màn hình điều khiển của máy hạ thân nhiệt Thermogard XP [99].

Hình 1.14. Cấu tạo catheter hạ thân nhiệt của ZOLL [99].
Tùy theo số bóng trên catheter, có 4 loại catheter Cool Line (2 bóng), Icy (3 bóng) và Quattro (4 bóng), catheter Solex (2 bóng nhưng cấu tạo xoắn đặc biệt, tốc độ làm lạnh gấp 2 lần catheter Cool line). Đặc điểm các loại catheter được trình bày trong bảng dưới
Bảng 1.5. Đặc điểm các loại catheter làm lạnh ThermoGuard [99].
Cool Line | Icy | Solex | Quattro | |
Số lượng bóng | 2 | 3 | Bóng dạng xoắn | 4 |
Vị trí đặt catheter | Tĩnh mạch dưới đòn Tĩnh mạch cảnh trong Tĩnh mạch đùi | Tĩnh mạch đùi | Tĩnh mạch dưới đòn Tĩnh mạch cảnh trong Tĩnh mạch đùi | Tĩnh mạch đùi |
Chiều dài catheter | 22 cm | 38 cm | 20 cm | 45 cm |
Đường kính catheter | 9,3 F | 9,3 F | 9,3 F | 9,3 F |
Tốc độ làm lạnh (°C/giờ) | 0,5 – 1 | 1 – 2 | 1 – 2 | 2 – 3 |
Thời gian lưu catheter | < 7 ngày | < 4 ngày | < 7 ngày | < 4 ngày |
Có thể bạn quan tâm!
-
Cơ Chế Bảo Vệ Não Của Hạ Thân Nhiệt Chỉ Huy Sau Ngừng Tuần Hoàn -
Kết Cục Lâm Sàng Hạ Thân Nhiệt Nhẹ Sau Hồi Sinh Tim Phổi Ở Chó [73]. -
Các Nghiên Cứu Về Hạ Thân Nhiệt Chỉ Huy Cho Bệnh Nhân Hôn Mê Sau Nth -
Quy Trình Điều Trị Bệnh Nhân Hạ Thân Nhiệt Chỉ Huy Đích 33°C -
Các Thông Số Khi Nhập Viện: Tuổi, Giới, Tiền Sử Bệnh, Nơi Xảy Ra Nth, Đặc Điểm Cấp Cứu Nth… (Xem Bảng 2.3). -
Đặc Điểm Lâm Sàng, Cận Lâm Sàng Thời Điểm Nhập Viện
Xem toàn bộ 207 trang tài liệu này.
Các catheter làm lạnh đều được phủ heparin vô khuẩn trong lòng catheter. Catheter có 5 nòng, 2 nòng kết nối với các bóng trên thân catheter, 3 nòng còn lại như nòng của catheter tĩnh mạch trung tâm 3 nòng. Có thể sử dụng catheter làm lạnh làm đường truyền trung tâm.

Hình 1.15. Mô tả cách thức kết nối hệ thống Thermoguard XP [99].
Hệ thống làm lạnh nội mạch Thermogard XP hoạt động nhờ bộ điều khiển Thermogard XP, khi có bộ khởi động (Start up kit), sẽ làm lạnh nước muối và đi vào catheter làm lạnh, dòng nước muối lạnh sẽ qua các bóng của catheter làm lạnh tiếp xúc với dòng máu trong cơ thể, làm lạnh dòng máu. Ngược lại sẽ có dòng nước ấm, qua các bóng và làm ấm dòng máu tiếp xúc với catheter (giai đoạn làm ấm) [99].

Hình 1.16. Cách làm lạnh (hoặc làm ấm) dòng máu trong cơ thể qua catheter [99].
CHƯƠNG 2. ĐỐI TƯỢNG VÀ PHƯƠNG PHÁP NGHIÊN CỨU
2.1. ĐỊA ĐIỂM NGHIÊN CỨU
Khoa Cấp cứu A9 – Bệnh viện Bạch Mai, thời gian từ 10/2015 – 6/2021.
2.2. ĐỐI TƯỢNG NGHIÊN CỨU
Nghiên cứu gồm những bệnh nhân hôn mê sau NTH ngoại viện được cấp cứu thành công, có tái lập tuần hoàn tự nhiên.
2.2.1. Tiêu chuẩn chọn bệnh nhân
2.2.1.1 Tiêu chuẩn chọn bệnh nhân nhóm can thiệp
- Bệnh nhân NTH ngoại viện do rung thất, vô tâm thu hoặc hoạt động điện vô mạch được hồi sinh tim phổi thành công, có tái lập tuần hoàn tự nhiên.
- Bệnh nhân còn hôn mê, không đáp ứng hoàn toàn theo lệnh (điểm Glasgow < 13 điểm).
- Thời gian từ khi tái lập tuần hoàn tự nhiên đến khi tiến hành hạ thân nhiệt tối đa 6 giờ.
- Huyết áp duy trì được (HA tối đa ≥ 90 mmHg và HA trung bình ≥ 65 mmHg).
- Tuổi ≥ 18.
2.2.1.2. Tiêu chuẩn chọn bệnh nhân nhóm chứng hồi cứu
- Bệnh nhân đủ tiêu chuẩn chọn giống như nhóm can thiệp.
- Bệnh nhân chưa từng được can thiệp điều trị bằng phương pháp hạ thân nhiệt.
Cách tuyển chọn bệnh nhân nhóm chứng hồi cứu: tra cứu sổ ra vào tất cả bệnh nhân vào khoa cấp cứu A9 – Bệnh viện Bạch mai từ tháng 9/2015 trở về trước, tìm tất cả các bệnh nhân được chẩn đoán NTH ngoại viện, tra mã lưu trữ trên kho lưu trữ hồ sơ của bệnh viện cho đến khi đủ số lượng bệnh nhân nghiên cứu.
2.2.2. Tiêu chuẩn loại trừ bệnh nhân
2.2.2.1. Tiêu chuẩn loại trừ bệnh nhân nhóm hạ thân nhiệt
- Hôn mê trước khi NTH do nguyên nhân khác (quá liều thuốc an thần, gây nghiện, chấn thương sọ não, đột quỵ não).
- Sử dụng thuốc an thần trước khi vào viện.
- Nhiễm khuẩn nặng, hoặc sốc nhiễm khuẩn.
- Phẫu thuật lớn trong vòng 14 ngày.
- Bệnh nhân có chỉ định can thiệp có nguy cơ làm gián đoạn quá trình điều trị hạ thân nhiệt chỉ huy (can thiệp ngoại khoa…).
- Chảy máu nặng tiếp diễn trên lâm sàng.
- Rối loạn nhịp tim phức tạp chưa kiểm soát được.
- Có tiền sử bệnh lý đông máu (xuất huyết giảm tiểu cầu, Hemophilia, thiếu hụt các yếu tố đông máu)
- Hạ thân nhiệt tự nhiên (nhiệt độ trung tâm cơ thể dưới 35°C)
- Phụ nữ có thai.
- Bệnh lý mạn tính ở giai đoạn cuối (ung thư giai đoạn cuối, HIV chuyển giai đoạn, bệnh nhân nằm 1 chỗ > 3 tháng, xơ gan Childpush C, suy thận mạn chạy thận chu kỳ).
- Người nhà bệnh nhân không đồng ý tham gia nghiên cứu hoặc không muốn tiếp tục tham gia nghiên cứu.
2.2.2.2. Tiêu chuẩn loại trừ bệnh nhân cho nhóm chứng (nhóm hồi cứu)
- Giống các tiêu chuẩn loại trừ bệnh nhân ở nhóm hạ thân nhiệt
- Khai thác hồ sơ bệnh án hồi cứu, bệnh nhân không đủ thông tin về các tiêu chuẩn loại trừ sẽ bị loại ra khỏi nghiên cứu.
2.3. PHƯƠNG PHÁP NGHIÊN CỨU
2.3.1. Phương pháp nghiên cứu
Là nghiên cứu can thiệp có nhóm đối chứng (nhóm chứng hồi cứu).
2.3.2. Cỡ mẫu nghiên cứu
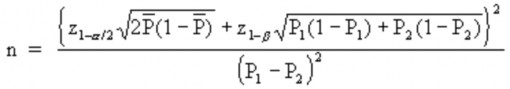
Trên cơ sở nghiên cứu đánh giá kết cục bệnh nhân hôn mê sau NTH ngoại viện được thực hiện tại khoa hồi sức cấp cứu bệnh viện Thanh Nhàn, được điều trị bằng các phương pháp thường quy, không có điều trị hạ thân nhiệt tỉ lệ tử vong là 85,71% [46].
Điều trị hạ thân nhiệt đích 33°C trong nghiên cứu dự tính làm giảm tỉ lệ tử vong xuống 52,2% [100].
Tính cỡ mẫu dựa trên so sánh hai tỉ lệ. Dựa vào công thức tính cỡ mẫu:

Trong đó:
- n: cỡ mẫu của nghiên cứu
- Z 1- α/2 : độ tin cậy mong muốn
- Z1 – β : giá trị được tính dựa trên lực thống kê.
- P1: tỉ lệ tử vong khi điều trị thường quy, P1 = 85,71%
- P2: tỉ lệ tử vong dự kiến khi điều trị hạ thân nhiệt đích 33°C, P2 = 52,2% [100].
Với (1-α = 99%; 1-β = 90%) tính được n = 55
Vì nghiên cứu với nhóm chứng hồi cứu, chấp nhận nhóm can thiệp và nhóm chứng có thể không hoàn toàn tương đồng, chúng tôi lấy thêm 20% số bệnh nhân. Cỡ mẫu tối thiểu trong nghiên cứu là:
n1 = n2 = 55 + 55 x 20% = 66
Trong nghiên cứu của chúng tôi tuyển chọn được 68 bệnh nhân nhóm điều trị hạ thân nhiệt và 68 bệnh nhân nhóm chứng.
2.3.3. Phương tiện nghiên cứu
- Máy hạ thân nhiệt Thermogard XP của hãng ZOLL
o Catheter làm lạnh nội mạch ThermoGuard của hãng ZOLL: trong nghiên cứu của chúng tôi sử dụng 3 loại catheter Cool line, Icy và Solex.
o Bộ kít khởi động (Start-up Kít)
o Cảm biến nhiệt.
o Đầu dò nhiệt ở thực quản để theo dõi nhiệt độ trung tâm.
o Cáp nối đầu dò nhiệt.
- Catheter động mạch (artline)
- Catheter tĩnh mạch trung tâm.
- Các phương tiện phục vụ cho nghiên cứu được sử dụng tại các khoa Huyết học, khoa Sinh hóa, khoa Chẩn đoán hình ảnh và khoa Cấp cứu của bệnh viện Bạch Mai có tiêu chuẩn chính xác cao:
o Máy theo dõi (máy Vismo PVM-2703 của hãng Nihon Kohden, Nhật Bản). Máy xét nghiệm huyết học (máy Advia 2120i của hãng Siemens Healthineers, Ðúc), xét nghiệm đông máu (máy CS-2100i của hãng Sysmex, Nhật Bản), xét nghiệm sinh hoá máu (máy Cobas c501 của hãng Roche, Thụy Sĩ) và xét nghiệm khí máu động mạch (máy Stat Profile® pHOx® Ultra của hãng Nova Biomedical, Mỹ).
o Máy chụp phim cắt lớp vi tính, cộng hưởng từ của hãng Siemens Healthineers, Đức.
o Máy điện não Carescape monitor B650.
o Các phương tiện khác phục vụ cho quá trình nghiên cứu: máy đo huyết áp, máy làm điện tim, máy truyền dịch, bơm tiêm điện, máy thở và các phương tiện khác có tiêu chuẩn chính xác cao.
- Bệnh án nghiên cứu (Phụ lục)
2.3.4. Các bước tiến hành nghiên cứu
Bệnh nhân đủ tiêu chuẩn chọn lựa trong nhóm hạ thân nhiệt sẽ được:
a. Hoàn thành phiếu đồng ý tham gia nghiên cứu: theo mẫu thống nhất.
b. Điều trị:
Điều trị chung (theo khuyến cáo của hội tim mạch Hoa Kỳ 2015)
- Tất cả các bệnh nhân được đặt ống nội khí quản, thở máy. Điều chỉnh máy thở theo kết quả khí máu động mạch (duy trì PaCO2, PaO2 trong giới hạn bình thường, PaCO2 từ 35 – 45 mmHg, PaO2 từ 60 – 300 mmHg).
- Điều trị tụt huyết áp bằng truyền dịch, sử dụng thuốc trợ tim, vận mạch (Adrenalin, Noradrenalin, Dopamin, Dobutamin). Mục tiêu duy trì huyết áp trung bình ≥ 65 mmHg.
- Đặt catheter tĩnh mạch trung tâm, catheter động mạch, đặt sonde dạ dày cho ăn, đặt sonde bàng quang.
- Bệnh nhân có nhồi máu cơ tim ST chênh lên hội chẩn bác sỹ chuyên khoa tim mạch, can thiệp động mạch vành trước, sau đó điều trị hạ thân nhiệt sau can thiệp. Nếu bệnh nhân có nhồi máu cơ tim không ST chênh lên, ưu tiên điều trị hạ thân nhiệt trước, sau khi kết thúc làm ấm xem xét can thiệp động mạch vành.
- Điều chỉnh đường máu theo phác đồ (phụ lục 1).
- Điều chỉnh điện giải, rối loạn nhịp tim, nhiễm trùng (dùng kháng sinh dự phòng, đổi kháng sinh khi nghi ngờ hoặc có bằng chứng nhiễm trùng bệnh viện), co giật.
- Điều trị dự phòng huyết khối, xét dự phòng loét dạ dày bằng PPI.
- Tất cả các bệnh nhân được chăm sóc điều dưỡng theo quy trình của khoa cấp cứu bệnh viện Bạch Mai.
Điều trị hạ thân nhiệt chỉ huy
- Chuẩn bị máy hạ thân nhiệt
o Bật công tắc POWER ON máy hạ thân nhiệt, mở nắp bình kiểm tra dung môi đảm bảo mức dung môi MAX


![Kết Cục Lâm Sàng Hạ Thân Nhiệt Nhẹ Sau Hồi Sinh Tim Phổi Ở Chó [73].](https://tailieuthamkhao.com/uploads/2024/03/20/danh-gia-hieu-qua-bao-ve-nao-o-benh-nhan-hon-me-sau-ngung-tuan-hoan-bang-5-1-120x90.jpg)



