cũng sẽ vẽ sai và hậu quả là những nội dung quản lý dựa trên cơ sở sơ đồ mạng như quản lý nhân lực, chi phí… cũng sẽ bị sai lệch.
Ví dụ, xây dựng sơ đồ PERT cho dự án XYZ, với số liệu như
Công việc trước | Chương trình bình thường | Chương trình đẩy nhanh | Số lao động cần người | |||
Thời gian (tuần) | Chi phí (triệu đồng) | Thời gian (tuần) | Chi phí (triệu đồng) | |||
A | - | 5 | 10 | 2 | 25 | 1 |
B | - | 7 | 15 | 4 | 36 | 1 |
C | A | 2 | 20 | 2 | 20 | 1 |
D | B | 9 | 8 | 7 | 26 | 1 |
E | B | 11 | 30 | 10 | 42 | 1 |
F | C,D | 5 | 35 | 3 | 63 | 1 |
G | E | 2 | 50 | 1 | 110 | 1 |
H | E | 6 | 40 | 3 | 49 | 1 |
I | F,G | 7 | 45 | 6 | 60 | 1 |
TỔNG | 5 | 340 | 431 |
Có thể bạn quan tâm!
-
Các yếu tố ảnh hưởng đến tiến độ các dự án đầu tư xây dựng thuộc Tổng Công ty Du lịch Sài Gòn - 2 -
Phân Loại Dự Án Đầu Tư Lĩnh Vực Du Lịch -
Mục Đích Của Việc Lập Và Quản Lý Tiến Độ Của Dự Án: -
Thực Trạng Dự Án Đầu Tư Thuộc Tổng Công Ty Du Lịch Sài Gòn. -
Thực Trạng Xây Dựng Của Tổng Công Ty Du Lịch Sài Gòn -
Các Yếu Tố Ảnh Hưởng Đến Tiến Độ Các Dự Án Đầu Tư Xây Dựng Thuộc Tổng Công Ty Du Lịch Sài Gòn
Xem toàn bộ 130 trang tài liệu này.
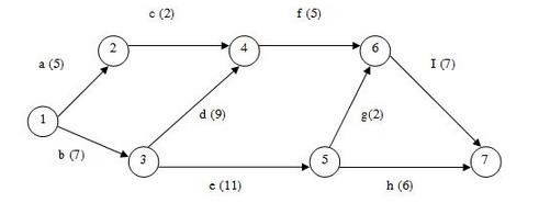
Sơ đồ PERT cho chương trình bình thường của dự án XYZ

Sơ đồ PERT là cơ sở để xác định đường găng. Đường găng là đường dài nhất nối các công việc và sự kiện, tính tự sự kiện đầu đến sự kiện cuối. Trong ví dụ, đường găng của dự án XYZ là đường nối đỉnh 1-3-4-6-7- dài 28 tuần. Để quản lý tốt dự án, các công việc trên đường găng cần được quản lý chặt chẽ vì nếu bất cứ một công việc nào bị chậm trễ thì đều ảnh hưởng đến thời gian hoàn thành toàn bộ dự án.
c. Phương pháp biểu đồ GANTT
Biểu đồ GANTT được giới thiệu năm 1917 bởi GANTT. Biểu đồ GANTT là phương pháp trình bày các tiến trình thực tế cũng như kế hoạch thực hiện các công việc của dự án theo trình tự thời gian. Mục đích của GANTT là xác định một tiến độ hợp lý nhất để thực hiện các công việc khác nhau của dự án. Tiến độ này còn tùy thuộc vào độ dài của công việc, những điều kiện ràng buộc và kỳ hạn phải tuân thủ.
Cấu trúc biểu đồ
- Cột dọc trình bày công việc. Thời gian thực hiện từng công việc được trình bày trên trục hoành
- Mỗi đoạn thẳng biểu hiện một công việc. Độ dài đoạn thẳng là độ dài công việc. Vị trí của đoạn thẳng thể hiện quan hệ thứ tự trước sau giữa các công việc.
Ví dụ: Biểu đồ GANTT cho chương trình bình thường của dự án I thể hiện trong hình

Hình 1.7: Biểu đồ GANTT
Tác dụng của biểu đồ GANTT
- Phương pháp biểu đồ GANTT dễ đọc, dễ nhận biết hiện trạng thực tế cũng như kế hoạch của từng công việc cũng như tình hình chung của toàn bộ dự án.
- Thông qua biểu đồ có thể thấy được tình hình thực hiện các công việc nhanh hay chậm và tính liên tục của chúng. Trên cơ sở đó có biện pháp đẩy nhanh tiến trình, tái sắp xếp lại công việc để đảm bảo tính hợp lý trong sử dụng nguồn lực.
- Sơ đồ GANTT là cơ sở để phân phối nguồn lực và lựa chọn phương pháp phân phối nguồn lực hợp lý nhất. Khi bố trí nguồn lực cho dự án, có thể bố trí theo hai sơ đồ GANTT: sơ đồ thời gian bắt đầu sớm nhất (ES) và sơ đồ thời gian triển khai muộn nhất (lãi suất). Và trên cơ sở hai sơ đồ GANTT bố trí nguồn lực này có thể lựa chọn một sơ đồ hợp lý nhất.
Hạn chế của GANTT
- Đối với những dự án phức tạp gồm hàng trăm công việc cần phải thực hiện thì biểu đồ GANTT không chỉ ra đủ và đún sự tương tác
và mối quan hệ giữa các công việc. Trong nhiều trường hợp nếu phải điều chỉnh lại biểu đồ thì việc thực hiện rất khó khăn phức tạp.
- Khó nhận biết công việc nào tiếp theo công việc nào khi biểu đồ phản ánh quá nhiều công việc liên tiếp nhau.
d. Tiến độ dây chuyền
Kinh nghiệm tổ chức sản xuất trong các ngành sản xuất công nghiệp từ lâu đã chứng tỏ rằng phương pháp sản xuất dây chuyền là phương pháp tổ chức sản xuất đạt hiệu quả cao vì phương pháp này đã tận dụng được những ưu điểm và loại trừ những nhược điểm của các phương pháp thi công tuần tự và song song.
Ưu điểm nổi bật của phương pháp dây chuyền thể hiện ở chỗ, theo phương pháp này các quá trình sản xuất dược tiến hành mội cách liên tục và nhịp nhàng. Với một năng lực sản xuất nhất định, khi áp dụng phương pháp dây chuyền sẽ dẫn đến tốc đô sản xuất nhanh, năng suất lao động cao. Chất lượng sản phẩm tốt, giá thành hạ. Nguyên tắc liên tuc và nhíp nhàng là cơ sớ cúa phương pháp sán xuất dây chuyến

Hình 1.8: Tiến độ dây chuyền
Thi công dây chuyền
Đặc trưng của thi cóng dây chuyền: Trong thi công dây chuyền, quá trình thi công tổng hợp được chia thành các quá trình thành phần, từ đó thực hiện tuần tự các quá trình đồng loại và song song các quá trình khác loại.
Khi lập tiến độ dự án theo phương pháp dây chuyển cán quan tâm đến các tham số của dây chuyền như:
a) Tham số công nghệ
- Sự phân chia và phân loại các quá trình thi công xây dựng;
- Phân loại dây chuyền;
- Cường độ dây chuyền;
b) Tham số không gian
- Mặt trận công tác (hay còn gọi là diện công tác);
- Đoạn thi công và phân đoạn thi công;
- Đợt thi công;
- Khu vực thi công.
c) Tham số thời gian
- Nhịp dây chuyền;
- Bước dây chuyền;
- Gián đoạn kĩ thuật của dây chuyền.
1.2 CÁC NGHIÊN CỨU TRƯỚC ĐÂY VỀ TIẾN ĐỘ DỰ ÁN ĐẦU TƯ XÂY DỰNG
Nghiên cứu của Lưu Tường Văn [6] xác định được 16 nguyên nhân gây chậm trễ, trong đó những nguyên nhân chủ yếu gây chậm trễ dự án xây dựng ở Việt Nam là:
- Khó khăn tài chính của chủ đầu tư và nhà thầu;
- Sự thiếu kinh nghiệm của nhà thầu;
- Sự phân phối chậm trễ vật liệu;
- Bàn giao mặt bằng xây dựng trễ;
- Chi trả tạm ứng trễ của chủ đầu tư;
- Giá trúng thầu thấp;
- Biện pháp thi công không thích hợp;
- Công việc sai sót và làm lại không cần thiết.
Mai Xuân Việt nghiên cứu mức độ tác động của các nhân tố liên quan đến tài chính gây chậm trễ tiến độ của dự án xây dựng ở Việt Nam.[7] Nghiên cứu được thực hiện tại thành phố Hồ Chí Minh và các khu vực lân cận. Trong nghiên cứu, 18 yếu tố đựợc phân thành 4 nhân tố chính:
- Thanh toán trễ hẹn;
- Quản lý dòng ngân lưu dự án kém;
- Nguồn tài chính không chắc chắn;
- Thị trường tài chính không ổn định.
Nghiên cứu khảo sát của Châu Ngô Anh Nhân [8] đã khảo sát 165 dự án thuộc tất cả các loại công trình. Từ kết quả khảo sát, kỹ thuật phân tích nhân tố đã rút gọn tập hợp 30 yếu tố thành 8 nhóm nhân tố đại diện
- Nhóm yếu tố môi trường bên ngoài;
- Yếu tố chính sách;
- Yếu tố hệ thống thông tin quản lý;
- Năng lực nhà thầu chính;
- Năng lực chủ đầu tư;
- Phân cấp thẩm quyên cho chủ đầu tư;
- Năng lực tư vấn.
Nghiên cứu khảo sát của Lê Mậu Tuấn [9] đã xác định được 46 yếu tố ảnh hưởng đến tiến độ thi công các dự án dân dụng và công nghiệp trên địa bàn TP.HCM. Kết quả phân tích tìm ra được 7 nhóm yếu tố chính ảnh hưởng đến tiến độ thi công xây dựng các dự án dân dụng và công nghiệp trên địa bàn TP.HCM là:
- Nhóm yếu tố Chủ đầu tư;
- Nhóm yếu tố Nguồn vốn;
- Nhóm yếu tố Nhà thầu;
- Nhóm yếu tố Chính sách;
- Nhóm yếu tố TVGS-TVTK;
- Nhóm yếu tố Đặc điểm công trình;
- Nhóm yếu tố vấn đề Bên ngoài..
Chan DW, Kumaraswamy MM [11] nghiên cứu so sánh về nguyên nhân trễ tiến độ trong các dự án xây dựng tại Hong Kong. 83 nguyên nhân chậm trễ đã được xác định trong nghiên cứu. Những lý do chính cho sự chậm trễ được phân tích và xếp hạng theo các nhóm khác nhau được phân loại trên cơ sở: a) vai trò của các bên trong ngành xây dựng địa phương (tức là khách hàng, tư vấn hoặc nhà thầu) và
b) các loại dự án. Kết quả nghiên cứu đưa ra 5 nguyên nhân chính và thường xuyên gây chậm trễ.
- Quản lý và giám sát công trường kém;
- Địa chất phức tạp;
- Chậm trễ trong việc ra quyết định;
- Sự thay đổi do chủ đầu tư;
- Sự thay đổi cần thiết trong các công tác.
Nghiên cứu đã công bố của Owolabi James D, Amusan Lekan M. Oloke C.O, Olusanya O, Tunji- Olayeni P. (2014) [12]chỉ ra 13 nhân tố ảnh hưởng đến tiến độ bàn giao dự án hoàn thành
- Thiếu kinh phí để tài trợ cho các dự án để hoàn thành;
- Ra quyết định chậm;
- Biến động giá vật liệu xây dựng;
- Sai sót trong quá trình thi công;
- Thiếu thiết bị thi công hoặc thiết bị bị hư hỏng;
- Sự sai sót hoặc thiếu nhất quán trong Hợp đồng thi công;
- Thời tiết xấu;
- Thiếu sự thông tin hiệu quả giữa các bên có liên quan;
- Đình công, lãng công;
- Thay đổi bản vẽ thiết kế;
- Các vấn đề về quản lý dự án;
- Sự không phù hợp của cấu trúc tổ chức liên quan đến dự án;
- Sự phá sản của nhà thầu.
Theo nghiên cứu của Mobarak (2004), Amer (1994) [13], chỉ ra rằng những nguyên nhân chủ yếu gấy chậm trễ trong dự án xây dựng ở Ai Cập là:
- Sự quản lý hợp đồng lạc hậu;
- Tiến độ không thực tế;
- Thiếu tài chính của đầu tư và chi trả cho công việc đã hoàn thành;
- Những hiệu chỉnh thiết kế trong quá trình thi công;
- Thiếu vật liệu.
Nghiên cứu Raymond N. Nkado (1995) [14] , nghiên cứu rút ra 10 nhân tố quan trọng nhất ảnh hưởng đến tiến độ thi công bao gồm:
- Quy định trình tự hoàn thành của chủ đầu tư;
- Kế hoạch thi công của nhà thầu;
- Biện pháp thi công;
- Ưu tiên của chủ đầu tư;






