Tổng hợp kết quả khảo nghiệm về mức độ khả thi của các giải pháp phát triển đội ngũ giảng viên ngành ATTT ở các trường đại học khối QPAN được thể hiện qua Bảng 3.3:
Có 3 giải pháp được đ nh giá khả thi nhất là:
Giải pháp: “Đào tạo-bồi dưỡng ĐNGV ngành ATTT theo khung năng lực nghề nghiệp” với ĐTB = 2,79 trong đó có 79.46 % ý kiến cho rằng giải pháp này rất khả thi, 20.54 % ý kiến cho rằng giải pháp này khả thi.
Giải pháp có tính khả thi thứ 2 là “Tuyển dụng, sử dụng đội ngũ giảng viên ngành ATTT theo khung năng lực nghề nghiệp” với ĐTB = 2,78 trong đó có 82.10 % ý kiến cho rẳng giải pháp này rất khả thi, 13.69 % ý kiến cho rằng khả thi.
Giải pháp có tính khả thi xếp thứ 3 là giải pháp “Nâng cao nhận thức của lãnh đạo và giảng viên ngành ATTT về phát triển đội ngũ giảng viên ngành ATTT” với ĐTB = 2,75 trong đó có đến 75.27% ý kiến cho rằng rất khả thi 24,73
% ý kiến cho rằng giải pháp này là khả thi.
Các giải pháp xếp thứ bậc cuối cùng về mức độ khả thi là: “Quy hoạch phát triển đội ngũ giảng viên ngành ATTT theo khung năng lực nghề nghiệp” với ĐTB = 2,67; Giải pháp “Khung năng lực nghề nghiệp giảng viên ngành ATTT ở các trường đại học khối QPAN” với ĐTB = 2,64; Giải pháp “Chính sách đãi ngộ, kiến tạo môi trường làm việc tạo động lực phát triển ĐNGV ngành ATTT ở các trường đại học khối QPAN” với ĐTB = 2,62.
Bảng 3.3. Khảo nghiệm về tính khả thi của các giải pháp phát triển đội ngũ giảng viên
Giải pháp | Tính khả thi | ĐTB | Thứ bậc | ||||||
Rất khả thi | Khả thi | Không khả thi | |||||||
SL | % | SL | % | SL | % | ||||
1 | Nâng cao nhận thức của lãnh đạo và giảng viên ngành ATTT về phát triển ĐNGV ngành ATTT | 143 | 75,27 | 47 | 24,73 | 0 | 0,00 | 2,75 | 3 |
2 | Khung năng lực nghề nghiệp ĐNGV ngành ATTT | 133 | 70,00 | 45 | 23,68 | 12 | 13,32 | 2,64 | 6 |
3 | Quy hoạch phát triển ĐNGV ngành ATTT theo khung năng lực nghề nghiệp | 138 | 72,64 | 42 | 22,10 | 10 | 11,11 | 2,67 | 5 |
4 | Tuyển dụng, sử dụng ĐNGV ngành ATTT theo khung năng lực nghề nghiệp | 156 | 82,10 | 26 | 13,69 | 8 | 8,89 | 2,78 | 2 |
5 | Kiểm tra, đ nh giá ĐNGV ngành ATTT theo khung năng lực nghề nghiệp | 142 | 74,75 | 36 | 18,94 | 12 | 13,33 | 2,68 | 4 |
6 | ĐT-BD ĐNGV ngành ATTT theo khung năng lực nghề nghiệp | 151 | 79,46 | 39 | 20,54 | 0 | 0,00 | 2,79 | 1 |
7 | Chính sách đãi ngộ, kiến tạo môi trường làm việc tạo động lực phát triển ĐNGV ngành ATTT | 130 | 68.42 | 46 | 24.21 | 14 | 7.37 | 2,62 | 7 |
Có thể bạn quan tâm!
-
Đánh Giá, Xếp Loại Đội Ngũ Giảng Viên Ngành An Toàn Thông Tin Theo Khung Năng Lực Nghề Nghiệp -
Phát triển đội ngũ giảng viên ngành an toàn thông tin ở các trường đại học khối Quốc phòng an ninh trong bối cảnh hiện nay - 21 -
Chỉ Đạo Ban Hành Chính Sách Đãi Ngộ, Kiến Tạo Môi Trường Làm Việc Tạo Động Lực Phát Triển Đội Ngũ Giảng Viên Ngành An Toàn Thông Tin Ở Các -
Kết Quả Khảo Sát Năng Lực Giảng Dạy Của Giảng Viên Sau Khi Tham Gia Khóa Đào Tạo - Bồi Dưỡng -
Đối Với Giảng Viên Ngành Attt Ở Các Trường Đại Học Khối Qpan. -
Hoàng Sỹ Tương (2016), Đổi Mới Phương Pháp Giảng Dạy Trong Các Nhà Trường Nhằm Năng Cao Chất Lượng Đào Tạo Nguồn Nhân Lực Cho Ngành Cơ Yếu Việt Nam
Xem toàn bộ 253 trang tài liệu này.

Mối quan hệ giữa tính cần thiết và tính khả thi có thể biểu diễn thông qua biễu đổ 3.1:
3
2.9
2.8
Cần thiết
Khả thi
2.7
2.6
2.5
2.4
GP1 GP2 GP3 GP4 GP5 GP6 GP7
Biểu đồ 3.1. Mối quan hệ giữa tính cần thiết và tính khả thi của các giải pháp
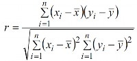
Về mức độ tương quan giữa tính cần thiết và tính khả thi của các giải pháp. Áp dụng công thức tính hệ số tương quan Pearson:

Kết quả r = 0,9 từ đó có thể kết luận giữa tính cần thiết và tính khả thi của 7 giải pháp đề xuất là tương quan thuận và rất chặt chẽ, điều đó cho phép rút ra kết luận nếu biện pháp nào cần thiết thì đồng thời cũng có tính khả thi và có thể triển khai được trong thực tiễn nhằm giúp phát triển ĐNGV ngành ATTT ở các trường đại học khối khối QPAN.
3.4. Mối quan hệ giữa các giải pháp
Như đã trình bày trên, các giải pháp phát triển đội ngũ giảng viên ngành ATTT ở các trường đại học khối QPAN đều có mối quan hệ biện chứng với nhau, có mối quan hệ chặt chẽ với nhau, hỗ trợ lẫn nhau để đẩy nhanh quá trình xây dựng và phát triển đội ngũ giảng viên của trường đủ về số lượng, đảm bảo
chất lượng, có cơ cấu hợp lý và đồng thuận về lí tưởng làm việc. Do đó, trong quá trình xây dựng và phát triển giảng viên ngành ATTT, cần phải thực hiện đồng bộ cả 7 giải pháp trên để đạt hiệu quả cao trong việc phát triển đội ngũ giảng viên ngành ATTT ở các trường đại học khối QPAN đ p ứng nhu cầu đào tạo nhân lực chất lượng cao về ATTT cho lĩnh vực QPAN và KTXH trong bối cảnh hiện nay.
3.5. Thử nghiệm một giải pháp do luận án đề xuất
3.5.1. Mục đích thử nghiệm
Mục đích của thử nghiệm là nhằm kiểm chứng tính hiệu quả và mức ảnh hưởng của giải pháp: “Đào tạo-bồi dưỡng đội ngũ giảng viên ngành ATTT theo khung năng lực nghề nghiệp”.
3.5.2. Lựa chọn giải pháp thử nghiệm
- Về mặt lý luận: Giải pháp “Đào tạo-bồi dưỡng đội ngũ giảng viên ngành ATTT theo khung năng lực nghề nghiệp” là giải pháp có tính thường xuyên, đồng thời còn là giải pháp căn bản trong nhiệm vụ phát triển đội ngũ giảng viên; Đặc biệt trong giai đoạn hiện nay khi yêu cầu đổi mới toàn diện về giáo dục và đào tạo gắn với hội nhập quốc tế càng đòi hỏi phải đổi mới khâu bồi dưỡng năng lực dạy học cho giảng viên ngành ATTT một cách toàn diện theo chuẩn năng lực đ p ứng các yêu cầu đồng bộ về chất lượng giảng viên ngành ATTT ở các trường đại học khối QPAN.
-Về thực tiễn: Giảng viên ngành ATTT ở các trường đại học khối QPAN mặc dù đã được quan tâm phát triển về số lượng và chất lượng đ p ứng yêu cầu của lĩnh vực QPAN trong bối cảnh hiện nay. Tuy nhiên, giảng viên ngành ATTT hiện nay của các trường đại học khối QPAN vẫn còn những hạn chế và bất cập, hạn chế về nghiệp vụ sư phạm, trình độ ngoại ngữ, tin học, vấn đề tự học, tự bồi dưỡng còn chưa cao chưa đ p ứng được yêu cầu của chuyên ngành ATTT cho lĩnh vực QPAN trong bối cảnh tình hình chính trị trong nước và quốc tế phức tạp như hiện nay đây là vấn đề cấp bách từ thực tiễn đòi hỏi phải hoàn thiện khung năng lực nghề nghiệp giảng viên ngành ATTT ở các trường Đại học khối QPAN.
3.5.3. Giả thuyết thử nghiệm
Nếu áp dụng giải pháp “Đào tạo-bồi dưỡng đội ngũ giảng viên ngành ATTT theo khung năng lực nghề nghiệp” một cách toàn diện sẽ góp phần nâng cao chất lượng giảng viên ngành ATTT ở các trường đại học khối QPAN trong bối cảnh hiện nay.
3.5.4. Nội dung và tiêu chí đánh giá thử nghiệm
Nội dung thử nghiệm:
Giới hạn về nội dung: nghiên cứu sinh tiến hành xây dựng và tổ chức lớp tập huấn bồi dưỡng “Phương pháp dạy học Blended Learning cho giảng viên ngành ATTT ở các trường đại học khối QPAN góp phần nâng cao năng lực thực thi nhiệm vụ”.
Đối tượng thử nghiệm: Thử nghiệm trên 60 giảng viên ngành ATTT của 03 trường đại học khối QPAN được giao đào tạo trọng điểm về ATTT gồm: Học Viện Kỹ thuật Quân sự; Học Viện an ninh Nhân Dân; Học Viện Kỹ thuật Mật mã.
Thời gian thử nghiệm:
Giải pháp thử nghiệm được triển khai trong 09 tháng (tháng 10/2019 - 06/2020)
Tiêu chí đánh giá:
Căn cứ vào năng lực dạy học của giảng viên để xây dựng tiêu chí đ nh giá năng lực dạy học của giảng viên ngành ATTT ở các trường đại học khối QPAN; Bộ tiêu chí đ nh giá năng lực thực hiện nhiệm vụ giảng viên được xây dựng dựa trên chuẩn năng lực nghề nghiệp giảng viên ngành ATTT, trên cơ sở pháp lý là chuẩn chức danh nghề nghiệp giảng viên; mặt khác vấn đề này còn được xem xét từ thực tiễn quản lý giảng viên ngành ATTT ở các trường đại học khối QPAN; cũng như kinh nghiệm đ nh giá năng lực thực hiện nhiệm vụ giảng viên của nhà trường hàng năm; Làm cơ sở để xây dựng Bộ tiêu chí đ nh giá năng lực thực hiện nhiệm vụ giảng viên ngành ATTT cụ thể như sau: (i) Chuẩn bị nội dung lên lớp ; (ii) Sử dụng phương pháp, các phương tiện phục vụ cho hoạt động dạy học;
(iii) Sử dụng ngôn ngữ giao tiếp sư phạm trong dạy học ; (iv) Kiểm tra đ nh giá kết quả học tập của sinh viên; (v)Tổ chức, điều khiển lớp học, xây dựng môi trường học tập tích cực. Căn cứ vào yêu cầu năng lực thực hiện một số nhiệm vụ cụ thể đối với giảng viên như trên đã trình bày, làm cơ sở xây dựng bộ tiêu chí, thang đ nh giá, quy trình đ nh giá năng lực thực hiện nhiệm vụ giảng viên;
3.5.5. Cách thức tiến hành thử nghiệm
Qui trình thử nghiệm về tác dụng và hiệu quả từ thực tiễn của giải pháp “Đào tạo-bồi dưỡng đội ngũ giảng viên ngành ATTT theo khung năng lực nghề nghiệp” được triển khai bao gồm các bước sau:
Bước 1: Khảo sát, đ nh giá thực trạng chất lượng giảng viên ngành ATTT ở các trường đại học khối QPAN theo qui định của cơ quan quản lý nhà nước.
Bước 2: Căn cứ vào qui định chuẩn năng lực nghề nghiệp giảng viên ngành ATTT và năng lực thực hiện nhiệm vụ của người giảng viên, làm cơ sở đề xuất khung năng lực nghề nghiệp giảng viên ngành ATTT ở các trường Đại học khối QPAN.
Bước 3: Xây dựng kế hoạch phối hợp tổ chức lớp bồi dưỡng giảng viên theo khung năng lực nghề nghiệp giảng viên ngành ATTT ở các trường Đại học khối QPAN, theo đúng mục tiêu, yêu cầu của các trường đại học khối QPAN đề ra.
Bước 4: Tổ chức bồi dưỡng năng lực cho giảng viên theo khung năng lực nghề nghiệp giảng viên ngành ATTT ở các trường Đại học khối QPAN; Đồng thời tăng cường phối hợp quản lý khóa bồi dưỡng đảm bảo theo mục tiêu đã đề ra.
Bước 5: Tổ chức kiểm tra, đ nh giá ghi nhận kết quả quá trình học tập rèn luyện của giảng viên sau khi kết thúc khóa bồi dưỡng giảng viên theo khung năng lực nghề nghiệp giảng viên ngành ATTT ở các trường Đại học khối QPAN.
Bước 6: Khảo sát, thu thập thông tin từ giảng viên sau khi đã hoàn thành khóa bồi dưỡng; từng giảng viên tự đ nh giá về năng lực thực hiện nhiệm vụ của bản thân theo khung năng lực nghề nghiệp giảng viên ngành ATTT ở các trường
Đại học khối QPAN, sau khi kết thúc khóa bồi dưỡng; Đồng thời Ban Giám đốc và các phòng ban của các trường cùng tiến hành đ nh giá độc lập năng lực thực hiện nhiệm vụ giảng viên của các đối tượng giảng viên thuộc phạm vi trực tiếp quản lý.
Bước 7: So sánh, đối chiếu kết quả đ nh giá năng lực thực hiện nhiệm vụ giảng viên từ phía giảng viên trước khi tham gia khóa bồi dưỡng với nhóm giảng viên sau khi đã tham gia khóa bồi dưỡng; Tổng hợp, so sánh từ kết quả tự đ nh giá của giảng viên và cán bộ quản lý về một số nội dung khảo sát như trên đã đề cập, cho thấy tác dụng thực tiễn và hiệu quả thiết thực của giải pháp bồi dưỡng giảng viên theo khung năng lực nghề nghiệp giảng viên ngành ATTT ở các trường đại học khối QPAN đã được đề xuất.
3.5.6. Kết quả thử nghiệm
Năng lực của giảng viên trước khi thử nghiệm
Trước khi tiến hành qua lớp bồi dưỡng nghiên cứu sinh tiến hành đ nh giá năng lực của giảng viên. Kết quả được thể hiện qua bảng 3.4:
Qua kết quả bảng 3.4 trên cho thấy cả 5 tiêu chí đ nh giá năng lực của giảng viên đều chưa tốt. Mức độ đ nh giá tốt đạt trung bình 15.01 %; mức khá 39,31 %; trung bình 6,04 % và chưa tốt chiếm đến 39,64 %.
Trong cả 5 tiêu chí đ nh giá, hai tiêu chí thực hiện tốt nhất là “Chuẩn bị bài giảng” có số lượng thực hiện tốt đạt 15.0 %, khá 45.0 % và chưa đạt chiếm 30 % và “Tổ chức, điều khiển lớp học, xây dựng môi trường học tập thân thiện, tích cực” Thực hiện tốt: 20.0 %, khá 41,6 %, trung bình 8,34 % và yếu là 25.0 %.
Hai tiêu chí “Sử dụng ngôn ngữ giao tiếp sư phạm trong dạy học” và “Sử dụng phương pháp, các phương tiện phục vụ cho hoạt động dạy học” có kết quả thực hiện rất thấp, thậm chí mức độ thực hiện chưa đạt yêu cầu còn chiếm lần lượt là 50 và 55.0 %. Kết quả trên thấy rằng việc quản lí hoạt động bồi dưỡng đội ngũ giảng viên ngành ATTT ở các trường đại học khối QPAN hiện nay không tốt.
Bảng 3.4. Kết quả khảo sát đánh giá năng lực thực hiện nhiệm vụ của giảng viên trước khi bồi dưỡng
Tốt | Khá | Trung bình | Chưa đạt yêu cầu | |||||
Tiêu chí đánh giá | SL | % | SL | % | SL | % | SL | % |
Chuẩn bị bài giảng | 15 | 25.0 | 27 | 45.0 | 0 | 0.0 | 18 | 30.0 |
Sử dụng phương pháp, các phương tiện phục vụ cho hoạt động dạy học | 0 | 0.0 | 27 | 45.0 | 0 | 0.0 | 33 | 55.0 |
Sử dụng ngôn ngữ giao tiếp sư phạm trong dạy học | 12 | 20.0 | 15 | 25.0 | 3 | 5.0 | 30 | 50.0 |
Kiểm tra đ nh giá kết quả học tập của sinh viên | 9 | 15.0 | 24 | 40.0 | 12 | 20.0 | 15 | 25.0 |
Tổ chức, điều khiển lớp học, xây dựng môi trường học tập thân thiện, tích cực | 12 | 20.0 | 25 | 41,6 | 5 | 8,34 | 15 | 25.0 |
Trung bình | 15,01 | 39,31 | 6,04 | 39,64 |
Với các kết quả nêu trên đặt ra vấn đề có tính cấp thiết là phải tổ chức Đào tạo-bồi dưỡng nâng cao năng lực cho giảng viên ngành ATTT ở các trường Đại học khối QPAN theo khung năng lực nghề nghiệp giảng viên ngành ATTT ở các trường đại học khối QPAN, đây là yêu cầu bắt buộc để nâng cao chất lượng của giảng viên ngành ATTT đ p ứng yêu cầu của các trường đại học khối QPAN trong việc đào tạo nguồn nhân lực ATTT chất lượng cao cho lĩnh vực QPAN và KTXH trong bối cảnh hiện nay.
Năng lực của giảng viên sau khi thử nghiệm
- Trong quá trình thử nghiệm:
Qua quá trình khảo nghiệm, nghiên cứu thực trạng thu được các kết quả đầu vào, nghiên cứu sinh tiến hành xây dựng chương trình đổi mới bồi dưỡng phương pháp giảng dạy và bồi dưỡng năng lực cho giảng viên ngành ATTT theo khung năng lực nghề nghiệp giảng viên ngành ATTT ở các trường Đại học khối QPAN. Tài liệu tập huấn được chuyên gia và các giảng viên đầu ngành biên soạn dưới dạng các mô đun, sử dụng các phần mềm trình chiếu giảng dạy, các phòng






