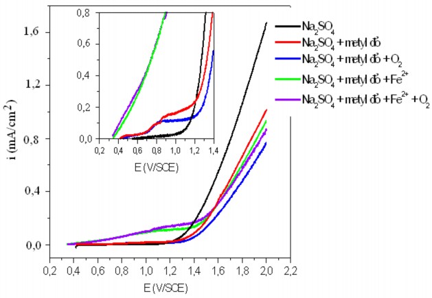
V/SCE, dòng anôt tăng mạnh tương ứng với quá trình oxy hóa nước giải phóng oxy theo phản ứng sau:
H2O 2H+ + 1/2O2 + 2e Eo = + 1,229 V/SHE (+0,988V/SCE) (3.13)
Trong dung dịch Na2SO4 có metyl đỏ, bắt đầu từ điện thế 0,7 V/SCE, dòng tăng nhẹ khẳng định quá trình oxy hóa trực tiếp metyl đỏ trên điện cực platin. Khi trong dung dịch nghiên cứu có FeSO4, sự tăng lên của dòng điện ở điện thế 0,4 V/SCE đã được quan sát tương ứng với phản ứng oxy hóa Fe2+ tạo Fe3+ theo phản ứng sau:
Fe2+ Fe3+ + 1e Eo = 0,771 V/SHE (+0,53V/SCE) (3.14)
Kết quả đo phân cực anôt cho thấy metyl đỏ và ion Fe2+ trong dung dịch có thể bị oxy hóa trực tiếp trên điện cực anôt. Sự có mặt của oxy trong dung dịch nghiên cứu gần như không gây ảnh hưởng đến các quá trình điện cực anôt.

Hình 3.17. Các đường cong phân cực anôt trên điện cực Pt
3.3.2. Các phản ứng trên catôt nền cacbon
Có thể bạn quan tâm!
-
Hiện Tượng Các Tia X Nhiễu Xạ Trên Các Mặt Tinh Thể Chất Rắn Phương Pháp Nhiễu Xạ Tia X Là Phương Pháp Phân Tích Không Phá Hủy -
Bảng So Sánh Chỉ Số Mặt Phẳng Mạng Tinh Thể (Hkl) Của Oxit Phức Hợp Của Cu Và Mn, Oxit Spinel Và Cuo -
Kết Luận Về Tổng Hợp Và Đặc Tính Của Màng Ppy Và Ppy(Oxit)/ppy: -
Ảnh Hưởng Của Vật Liệu Catôt Đến Sự Biến Thiên Hiệu Suất Suy Giảm Cod Và Hiệu Suất Dòng Theo Thời Gian Khoáng Hóa Metyl Đỏ 0,35 Mm -
Ảnh Hưởng Của Mật Độ Dòng Áp Đặt Đến Sự Biến Thiên Hiệu Suất Suy Giảm Cod Và Hiệu Suất Dòng Khoáng Hóa Metyl Đỏ Theo Điện Lượng Q -
Ảnh Hưởng Của Vật Liệu Catôt Đến Sự Biến Thiên Hiệu Suất Suy Giảm Cod Và Hiệu Suất Dòng Theo Thời Gian Khoáng Hóa Công Gô Đỏ 0,25 Mm
Xem toàn bộ 165 trang tài liệu này.
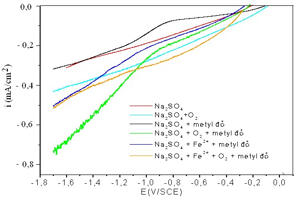
Hình 3.18 biểu diễn đường cong phân cực catôt thu được trên điện cực nền cacbon trong 3 dung dịch khảo sát ở mục 3.3.1. Kết quả cho thấy, dòng điện catôt bắt đầu tăng ở điện thế tương đối dương (0 -0,5 V/SCE), đặc trưng cho phản ứng khử H+ tạo H2 (phản ứng 3.12) hoặc quá trình khử oxy hòa tan tạo H2O2 (phản ứng 3.44).

Hình 3.18. Các đường cong phân cực catôt trên điện cực cacbon.
Quan sát hình dáng của đường cong phân cực catôt khi có và không sục oxy trong cả 3 dung dịch: Na2SO4; Na2SO4 + metyl đỏ và Na2SO4 + metyl đỏ + FeSO4. Kết quả cho thấy, dòng điện tăng đáng kể trong dung dịch có sục oxy so với dung dịch không sục oxy, chứng tỏ dòng catôt quan sát được trên hình 3.18 tương ứng với phần đóng góp của phản ứng khử oxy tạo H2O2. Kết quả này cũng phù hợp với kết quả nhận biết định tính H2O2 tạo ra được bằng thuốc thử KI + hồ tinh bột có mặt xúc tác Na2MoO4 theo phương trình (3.10) và (3.11).
H2O2 + 2KI I2 + 2KOH (3.10)
I2 + hồ tinh bột dung dịch màu xanh đen (3.11)
Khi tăng điện thế phân cực catôt đến giá trị từ -1,1 V/SCE, các đường cong phân cực có điểm uốn, tương ứng với sự tăng tốc độ phản ứng, đặc trưng cho phản ứng khử oxy hòa tan tạo H2O (phản ứng 3.3).
3.3.3. Kết luận về đặc tính điện hóa của điện cực anôt platin và catôt cacbon trong dung dịch nền Na2SO4, pH3
Các kết quả đo đường cong phân cực trên điện cực anôt platin và điện cực catôt nền cacbon cho phép khẳng định trong dung dịch Na2SO4 0,05 M, pH3, có mặt metyl đỏ 0,35 mM và FeSO4 1 mM, khi có dòng điện với cường độ thích hợp chạy qua bình điện hoá, cùng một lúc có thể xảy ra quá trình oxy hoá trực tiếp metyl đỏ trên điện cực anôt platin và quá trình oxy hoá gián tiếp metyl đỏ bằng hiệu ứng Fenton điện hoá trên cơ sở gốc HOđược hình thành do phản ứng giữa H2O2 (tạo thành từ phản ứng khử oxy trên điện cực catôt
nền cacbon) và xúc tác Fe2+ có mặt trong dung dịch.
3.4. Quá trình khoáng hóa metyl đỏ
3.4.1. Khoáng hoá metyl đỏ bằng phương pháp điện hóa
Khảo sát quá trình oxy hóa trực tiếp metyl đỏ trên điện cực anôt platin được thực hiện trong dung dịch Na2SO4 0,05 M, pH3 + metyl đỏ 0,35 mM bằng phương pháp áp dòng với mật độ dòng 5 mA/cm2. Sự biến thiên hiệu
suất suy giảm COD và hiệu suất dòng điện trong quá trình oxy hóa theo thời gian được biểu diễn trên hình 3.19. Kết quả cho thấy, hiệu suất suy giảm COD tăng liên tục theo thời gian oxy hóa, điều này chứng tỏ metyl đỏ đã bị oxy hóa trực tiếp trên điện cực anôt Pt.
Sau 180 phút xử lý, chỉ số COD đã giảm từ 250 mg/l xuống 145 mg/l, tương ứng với hiệu suất suy giảm COD đạt 41 %.
Bên cạnh đó, hiệu suất dòng oxy hóa thu được chưa cao khẳng định một phần lớn điện lượng anôt đã bị tiêu tốn cho quá trình oxy hóa nước, giải phóng oxy. Sau 20 phút xử lý, hiệu suất dòng chỉ đạt 60 % sau đó giảm
dần xuống còn 30 % sau 180 phút xử lý. Sự giảm dần hiệu suất dòng theo thời gian xử lý là do, nồng độ metyl đỏ giảm dần theo thời gian điện phân, kéo theo sự giảm tốc độ phản ứng oxy hóa metyl đỏ trên điện cực anôt Pt.
40 60
50
H%
30
%COD
40
20
30
10
20
0 50 100 150 200
Thêi gian (phót)
Hình 3.19. Sự biến thiên hiệu suất suy giảm COD và hiệu suất dòng điện theo thời gian oxy hóa trực tiếp metyl đỏ 0,35 mM trên anôt Pt
Ngoài ra, quan sát bằng mắt thường cũng cho thấy, màu sắc của dung dịch metyl đỏ trong quá trình oxy hóa bằng phương pháp điện hóa nhạt dần theo thời gian áp dòng (hình 3.20).

Hình 3.20. Sự thay đổi màu sắc của dung dịch metyl đỏ 0,35 mM theo thời gian oxy hóa điện hóa trên anôt Pt
3.4.2. Khoáng hoá metyl đỏ bằng hiệu ứng Fenton điện hóa
Hình 3.21 biểu diễn sự biến thiên hiệu suất suy giảm COD và hiệu suất dòng oxy hóa theo thời gian khoáng hóa metyl đỏ bằng hiệu ứng Fenton điện hóa trong dung dịch Na2SO4 0,05 M, pH3 + metyl đỏ 0,35 mM + FeSO4 1 mM có sục oxy với tốc độ 0,5 lít/phút, sử dụng điện cực catôt cacbon tại cường độ dòng 25 mA (tương đương mật độ dòng áp đặt 5 mA/cm2). Hiệu suất suy giảm COD và hiệu suất dòng theo thời gian khoáng hóa metyl đỏ bằng hiệu ứng Fenton điện hóa có xu hướng giống như trường hợp oxy hóa điện hóa metyl đỏ trên anôt Pt trong dung dịch không có Fe2+ và không sục oxy. Tuy nhiên, tại cùng các thời điểm khoáng hóa, hiệu suất suy giảm COD và hiệu suất dòng khoáng hóa metyl đỏ bằng hiệu ứng Fenton điện hóa đều đạt giá trị cao hơn. Sau 180 phút khoáng hóa, chỉ số COD giảm từ 250 mg/l xuống còn 115 mg/l, tương ứng với hiệu suất suy giảm COD đạt 54 %. Hiệu suất dòng oxy hóa metyl đỏ đạt trên 80 % sau 20 phút khoáng hóa và giảm dần xuống còn khoảng 50 % sau 180 phút khoáng hóa. Điều này chứng tỏ rằng, bên cạnh quá trình oxy hóa trực tiếp metyl đỏ trên điện cực anôt, còn có quá trình oxy hóa gián tiếp metyl đỏ nhờ hiệu ứng Fenton điện hóa tại khu vực catôt, dẫn đến hiệu suất dòng oxy hóa metyl đỏ và hiệu suất suy giảm COD đều đạt giá trị cao hơn so với trường hợp oxy hóa điện hóa metyl đỏ trên điện cực anôt Pt.
Sự suy giảm nồng độ metyl đỏ trong quá trình khoáng hóa bằng phương pháp Fenton điện hóa trong dung dịch Na2SO4 0,05 M, pH3, có Fe2+ 1 mM, tại mật độ dòng áp đặt 5 mA/cm2, sử dụng điện cực catôt cacbon cũng được phân tích bằng phổ UV-vis (hình 3.22).
60 100
80
45
%COD
60
H%
30
40
15
20
0 0
0 40 80 120 160 200
Thêi gian (phót)
Hình 3.21. Sự biến thiên hiệu suất suy giảm COD và hiệu suất dòng theo thời gian oxy hóa gián tiếp metyl đỏ 0,35 mM trong dung dịch Na2SO4 0,05 M, pH3, Fe2+ 1 mM, oxy 0,5 lít/phút, tại 5 mA/cm2 trên catôt C

Hình 3.22. Phổ UV-vis của metyl đỏ theo thời gian oxy hóa bằng hiệu ứng Fenton điện hóa tại 5 mA/cm2, catôt C
Phổ UV-vis của metyl đỏ tại pH3 trước khi xử lý được đặc trưng bởi một dải phổ trong vùng nhìn thấy với cực đại hấp thụ ở 523 nm và 2 dải phổ khác trong vùng tử ngoại ở bước sóng khoảng 290 và 215 nm. Điều này được giải thích là do, cấu trúc của metyl đỏ bao gồm: liên kết azo (– N = N –), vòng benzen và các nhóm axit, vì vậy phổ UV-Vis của metyl đỏ bao gồm các pic hấp thụ khác nhau. Nhóm mang màu chứa nhóm azo hấp thụ trong vùng nhìn thấy, tương ứng với sự chuyển dịch n * trong nhóm – N = N –. Vòng benzen được hấp thụ trong vùng tử ngoại, tương ứng với sự chuyển điện tử
*. Theo thời gian xử lý, cường độ hấp thụ cực đại của dung dịch metyl đỏ trong vùng nhìn thấy giảm, trong khi cường độ hấp thụ ở vùng tử ngoại tại bước sóng 290 và 215 nm tăng, cho thấy liên kết azo trong metyl đỏ đã bị phá hủy và các sản phẩm trung gian chứa vòng benzen được hình thành.
Từ các kết quả thu được có thể khẳng định, metyl đỏ có thể bị phân hủy trực tiếp bằng phương pháp điện hóa và gián tiếp nhờ hiệu ứng Fenton điện hóa, làm giảm nồng độ và thay đổi cấu trúc ngay từ những thời điểm đầu tiên của quá trình khoáng hóa. Ở những thời điểm đầu tiên, khi màu sắc dung dịch bị thay đổi, toàn bộ metyl đỏ bị phân hủy tạo thành các dẫn xuất hydrocacbon như hydroquinon (max = 290 nm), 1,4-benzoquinon (245 nm)... [72,83]. Theo thời gian, nhóm hydroxyl sinh ra nhờ hiệu ứng Fenton sẽ phá hủy vòng benzen trong các dẫn xuất hydrocacbon tạo CO2, H2O và HNO3.
3.4.3. Ảnh hưởng của các yếu tố đến quá trình khoáng hóa metyl đỏ bằng hiệu ứng Fenton điện hóa
3.4.3.1. Ảnh hưởng của nồng độ ion sắt(II)
Để đảm bảo lượng ion sắt(II) đưa vào dung dịch phải phù hợp với lượng H2O2 sinh ra ở catôt, quá trình khoáng hóa dung dịch metyl đỏ 0,35mM ở pH3 bằng hiệu ứng Fenton điện hóa, sử dụng điện cực catôt C/Ppy(Cu1,5Mn1,5O4)/Ppy, ở mật độ dòng áp đặt 5 mA/cm2 có sục khí oxy với tốc độ 1 lít/phút, có ion Fe2+ ở các nồng độ khác nhau: 0 mM; 0,5 mM;
1,0 mM; 1,5 mM và 2,0 mM đã được khảo sát. Hiệu suất suy giảm COD (%COD) và hiệu suất dòng trong quá trình khoáng hóa được biểu diễn trên hình 3.23.
Trong trường hợp không có ion Fe2+ (nồng độ Fe2+ = 0), phản ứng Fenton không xảy ra, hiệu suất suy giảm COD và hiệu suất dòng oxy hóa tại mọi thời điểm đều thấp hơn rất nhiều so với trường hợp có Fe2+. Sau 5 giờ khoáng hóa, hiệu suất suy giảm COD chỉ đạt 30 %, tương ứng với hiệu suất dòng oxy hóa đạt dưới 30 %. Kết quả thu được trong khảo sát này hoàn toàn phù hợp với kết quả khoáng hóa metyl đỏ ở các mục 3.4.1 và 3.4.2.
0 mM
0,5 mM
2 mM
1,5 mM
1 mM
80 200
160
60
%COD
120
40 H%
80
20
40
0 0
0 1 2 3 4 5
Thêi gian (giê)
Hình 3.23. Ảnh hưởng của nồng độ Fe2+ đến sự biến thiên hiệu suất suy giảm COD và hiệu suất dòng theo thời gian khoáng hóa metyl đỏ 0,35 mM
Trong dung dịch có ion Fe2+, với nồng độ Fe2+ nhỏ (0,5 mM), lượng Fe2+ trong dung dịch không đủ để phản ứng hết với lượng H2O2 sinh ra trên






