[28] Anh Quân (2015), Ngành ngân hàng Trung Quốc bắt đầu “thấm đòn” kinh tế suy giảm, Thông tấn xã Việt Nam (07/2015).
[29] Sở Giao Dịch Chứng Khoán Hà nội (2014), Báo cáo tổng kết 05 năm hoạt
động Sở Giao dịch Chứng khoán Hà nội năm 2009-2014.
[30] Nguyễn Thị Minh Tâm (2001), Sự phát triển nghiệp vụ Treasury của Ngân hàng thương mại và những giải pháp phát triển nghiệp vụ này ở các ngân hàng thương mại quốc doanh Việt Nam trong điều kiện quốc tế hóa đời sống kinh tế quốc tế, luận văn thạc sỹ, trường Đại học Ngoại thương Hà nội.
[31] Nguyễn Ngọc Thanh và Nguyễn Tuấn Hùng (2011), Chuyển biến sở hữu trong hệ thống ngân hàng Việt Nam và tác động của nó, Tạp chí khoa học, kinh tế và kinh doanh (2011).
[32] PGS.TS. Kiều Hữu Thiện (2014), Đề tài nghiên cứu khoa học cấp ngành về Mối liên hệ giữa cấu trúc sở hữu và hiệu quả hoạt động của các ngân hàng thương mại nhà nước và ngân hàng thương mại do nhà nước giữ cổ phần chi phối (thực trạng, xu hướng và định hướng điều chỉnh.
[33] Hoàng Thế Thỏa (2015), Ngành Ngân hàng đang tích cực tiến hành tái cơ cấu, Thời báo Ngân hàng Nhà nước (04/2015).
[34] TS Vũ Văn Thực (2013), Tái cơ cấu hệ thống ngân hàng thương mại ở Việt Nam, Tạp chí phát triển và hội nhập (Số 10/2013).
[35] GS.TS Lê Văn Tư (2005), Sách Nghiệp vụ Ngân Hàng thương mại, NXB Tài chính, Hà nội.
[36] GS.TS Lê Văn Tư (2005), Sách Quản trị Ngân hàng thương mại, NXB Tài chính Hà nội.
[37] Trịnh Mai Vân (2010), Phát triển thị trường trái phiếu ở Việt Nam, luận án tiến sỹ, trường Đại học kinh tế Quốc dân Hà nội.
[38] VPBank Securities (01/2014), Báo cáo ngành Ngân hàng Việt Nam.
[39] World Bank (2015), Báo cáo Triển vọng kinh tế toàn cầu dự báo tốc độ tăng trưởng của kinh tế thế giới trong năm 2015 – 2017.
II. Tài liệu tiếng Anh
[40] Asian Development Bank (ADB) Team (February 2012), Vietnam Bond Market Guide.
[41] Barajas, A., Steiner, R., Salazar, N., 1999. Foreign investment in Colombia financial sector.Working Paper of the International Monetary Fund, No. 99/150.
[42] Berger, A.N., Hasan, I., and Zhou, M.M., 2007. Bank ownership and efficiency in China: What will happen in the world’s largest nation? Journal of Banking and Finance 33, 113–130.
[43] Chhibber, P.K., Majumdar, S.K., 1999. Foreign Ownership and Profitability: Property Rights, Control, and the Performance of Firms in Indian Industry. Journal of Law and Economics, Vol. 42, No. 1, pp. 209-238.
[44] Deutsche Bank Research (January 2014), What’s behind recent trends in Asian corporate bond markets.
[45] Douglas J.Elliott and Kai Yan (July 2013), The Chinese Financial System – An Introduction and Overview.
[46] Eichengreen, B. & Luengnaruemitchai, P. (2004), ‘Why doesn’t Asia have bigger bond markets?’, NBER Working Paper, National Bureau of Economic Research, 10576.
[47] Frank J.Fabozzi, Steven V.Mann, 8thEdition, 2012, The Handbook of Fixed Income Securities.
[48] Frank J.Fabozzi, Steven V.Mann,2nd Edtion 2010, Introduction to Fixed Income Analytics: Relative Value Analysis, Risk Measures and Valuation.
[49] Frederic S. Mishkin, 10th Edition 2013, The Economics of Money, Banking and Financial Markets.
[50] Global Markets, HSBC, China Onshore and Offshore RMB Bond Market – A Foreign Bank Perspective.
[51] Goldman Sachs (2015), China’s Bond Market – Global Liquidity Management – Firsts Half 2015.
[52] Greenwich Associates European & Asian Leader Awards 2010, A leader in Quality: Deutsche Bank.
[53] Lin, X.C., and Zhang, Y., 2007. Bank ownership reform and bank performance in China, Guanghua School of Management, Journal of Banking and Finance 33, 20–29.
[54] Manju Puri, 1995, Commercial banks in investment banking conflict of interest or certification role?, Graduate School oJ‘Business, Stanford lJniversi@, Stamford, CA 94305, USA.
[55] Nicola Gennaioli-Alberto Martin-and Stefano Rossi, 11 May 2014, Banks, Government Bonds, and Default: What do the Data Say?
[56] Paweł Mrowiec, the banking sector in China in the light of the contemporary financial crisis.
[57] Peter Rose, 9th Edition 2013, Bank Management and Financial Services.
[58] Peter S.Rose (1998), Commercial Bank Management.
[59] S&P DowJones Indices (November 2014), A Changing Bond Landscape in China.
[60] Unite, A. and Sullivan, M. J., 2003, The effect of foreign entry and ownership structure on the Philippine domestic banking market, Journal of Banking and Finance 27, 2323-2345.
[61] Vuong, Q.H & Tran, T.D (2010), Vietnam’s Corporate Bond Market, 1999 - 2010: Some Reflections, The Journal of Economic Policy and Research, số 6, tập 1, tr. 1-47.
[62] World Federation of Exchanges, January 2014, 2013 WFE Market Highlights.
PHỤ LỤC
Phụ lục 1: Công thức tính các công cụ quản trị rủi ro đo lường rủi ro (sự biến động giá) của từng trái phiếu nói riêng và của danh mục đầu tư kinh doanh trái phiếu mà Ngân hàng nắm giữ nói chung khi có sự thay đổi của lãi suất
1. Thời gian đáo hạn bình quân (Duration)
- Công thức tính của từng trái phiếu bao gồm:
∑n
PV (CFt )*t
PV(CFt) : Giá trị hiện tại của dòng tiền tại thời
P
Macauley Duration (D)= t 1
điểm t.
P: Giá trái phiếu.
n: Thời gian đáo hạn của trái phiếu
MD (Modified duration) là thời gian đáo hạn bình quân điều chỉnh được tính bằng:

YTM: lãi suất trái phiếu
n: số lần thanh toán lãi trong năm.
Thời gian đáo hạn bình quân điều chỉnh có thể được hiểu là thay đổi giá tính gần đúng theo tỷ lệ % khi lãi suất thay đổi 1%. Việc áp dụng thời gian đáo hạn bình quân để tính toán sự thay đổi giá của trái phiếu khi lãi suất thay đổi như sau:
% thay đổi giá = -MD x % Thay lãi suất x 100
Áp dụng công thức trên, nếu giả định MD của một trái phiếu là 10, điều đó có nghĩa là nếu lãi suất thay đổi 1% thì giá trái phiếu sẽ thay đổi xấp xỉ 10% theo chiều ngược lại.
- Mặt khác, dựa trên cơ sở việc tính toán thời gian đáo hạn bình quân đối với từng trái phiếu trong danh mục, Ngân hàng có thể tính toán thời gian đáo hạn bình quân của toàn bộ danh mục trái phiếu dựa trên công thức.
w1.D1 + w2.D2 + w3.D3 +….+ wk.Dk
Trong đó:
wi :Tỷ trọng của trái phiếu i trong danh mục trái phiếu (tính theo giá trị thị trường- market value)
Di: Thời gian đáo hạn bình quân của trái phiếu i
k: số lượng trái phiếu trong danh mục
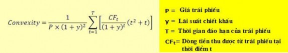
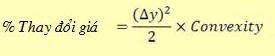
2. Độ lồi (Convexity)
- Công thức tính như sau:

Với Convexity có thể tính % thay đổi giá trái phiếu khi lãi suất biến động:

3. Price Value of a Basic Point (DV01 hay PVBP)
- Công thức tính như sau:
PV01 = | Giá trái phiếu ban đầu – Giá trái phiếu khi lãi suất thay đổi 0.01%|
Như vậy trái phiếu nào có PV01 càng cao thì càng có sự biến động và có nhiều rủi ro.
4. Giá trị chịu rủi ro (VaR – Value at Risk)
- Các phương pháp đo lường VaR:
Hiện nay, các NHTM trên thế giới đang sử dụng 3 phương pháp chính để đo lường VaR, bao gồm:
- Phương pháp Delta – Gamma: Đây là phương pháp ứng dụng VaR đơn giản nhất. Nó giả định rằng rủi ro của danh mục là tuyến tính và các nhân tố rủi ro tuân theo phân phối chuẩn. Bởi vì lợi nhuận của danh mục là sự kết hợp tuyến tính giữa các biến chuẩn, do đó nó tuân theo phân phối chuẩn, với hàm mật độ phân phối theo hình tháp chuông. Tuy nhiên, cũng chính vì giả định mối quan hệ giữa VaR và các biến là tuyến tính, do đó phương pháp Delta – Gamma trở nên kém chính xác hơn so với 2 phương pháp tiếp theo.
- Phương pháp mô phỏng lịch sử: Phương pháp này là phương pháp định giá
đầy đủ. Nó bao gồm quá trình quay ngược thời gian, ví dụ trong vòng 250 ngày trở
lại đây, và áp dụng trọng số trong hiện tại cho lợi nhuận của tài sản đó theo dãy thời gian trong lịch sử. Nó được xem như việc xem xét lại lịch sử với trọng số hiện tại.
Giả sử thời gian hiện tại là t, và chúng ta có dữ liệu quan sát trong khoảng thơi gian từ 1 tới t. Giá trị hiện tại của danh mục là Pt, là hàm số của các nhân tố rủi ro hiện tại:
![]()
Chúng ta sẽ lấy mẫu những sự thay đổi của các nhân tố trong phân phối lịch sử, mà không có sự thay thế:
![]()
Từ đó chúng ta có thể dựng giá trị mô phỏng từng nhân tố, bắt đầu từ nhân tố đầu tiên:
![]()
Các nhân tố này được sử dụng để dựng nên giá trị mô phỏng của danh mục hiện tại trong bối cảnh mới, dựa trên biểu thức:
![]()
Bây giờ chúng ta có thể tính toán được sự thay đổi trong giá trị danh mục từ trạng thái hiện tại ![]()
Chúng ta sẽ sắp xếp t khoản lợi nhuận và chọn một giá trị tương ứng với
công thức vi phân, Rp(c). VaR được xác định từ sự khác biệt giữa giá trị trung bình và vi phân.
![]()
- Phương pháp Monte Carlo: tương tự như mô phỏng lịch sử, ngoại trừ việc sự thay đổi trong các tác nhân rủi ro được tạo ra từ các quy luật phân phối khác và được xây dựng dựa trên phần mềm mô phỏng tương thích với từng NHTM.
Phụ lục 2: Kết quả khảo sát theo các mô hình kiểm tra độ vững
Bình phương nhỏ nhất (Pooled OLS) Tác động cố định (fixed effects) Tác động ngẫu nhiên (random effects)
BONDA | BONDI | BONDA | BONDI | BONDA | BONDI | |||
C | 0.181 | 0.135 | 0.0055 | 0.042 | 0.119** | 0.116* | ||
(1.32) | (1.57) | (0.07) | (0.5) | (2.49) | (1.88) | |||
STATE | 0.114*** | -0.09*** | 0.195* | 0.078 | 0.072*** | -0.070** | ||
(4.9) | (-3.49) | (1.65) | (0.66) | (2.84) | (-2.44) | |||
FOR | -0.065 | 0.134** | 0.115 | -0.013 | 0.07 | 0.086* | ||
(-0.95) | (2.24) | (1.11) | (0.15) | (0.1) | (1.72) | |||
NPL | 0.014* | -0.009*** | 0.002* | -0.0042* | 0.0003 | -0.0058** | ||
(1.81) | (-3.59) | (1.68) | (-1.87) | (0.07) | (-2.01) | |||
LAS | 0.0108* | 0.007 | -0.006 | 0.008 | -0.005* | 0.068 | ||
(1.82) | (1.09) | (-1.36) | (1.47) | (-1.90) | (1.26) | |||
BMARKET | 0.092** | 0.04 | 0.098 | 0.054 | 0.088* | 0.08 | ||
(2.03) | (1.23) | (1.24) | (1.36) | (1.97) | (1.45) | |||
GB | 0.013 | -0.125** | 0.023 | -0.117 | 0.007 | -0.114** | ||
(0.95) | (-2.12) | (0.98) | (1.12) | (0.23) | (-2.34) | |||
CB | 0.109 | 0.086** | 0.097 | 0.024* | 0.102 | 0.045* | ||
(0.84) | (2.09) | (0.78) | (1.65) | (0.33) | (1.76) | |||
GGDP | -0.087** | 0.056 | -0.076* | 0.109 | -0.058** | 0.065 | ||
(-1.99) | (1.24) | (1.87) | (1.44) | (1.98) | (1.33) | |||
R-Square | 0.2507 | 0.326 | 0.1875 | 0.084 | 0.2137 | 0.1572 | ||
F-statistic | 6.27*** | 6.76*** | ||||||
Joint F-test | 4.29*** | 4.17*** | 6.92*** | 11.28*** | 56.89*** | 104.7*** |
Có thể bạn quan tâm!
-
Nâng Cao Nh Ậ N Th Ứ C C Ủ A Ban Qu Ả N Tr Ị Ngân Hàng V Ề Vai Trò Và V Ị Trí C Ủ A Ho Ạ T Độ Ng Đầ U T Ư Kinh Doanh Trái Phi Ế U -
Gi Ả I Pháp V Ề Qu Ả N Tr Ị R Ủ I Ro Ho Ạ T Độ Ng Đầ U T Ư Kinh Doanh Trái Phi Ế U -
Ki Ế N Ngh Ị V Ớ I Nhnn, Các Ban Ngành Và Các T Ổ Ch Ứ C Khác Có Liên Quan -
Hoạt động đầu tư kinh doanh trái phiếu của ngân hàng thương mại Việt Nam - 17
Xem toàn bộ 139 trang tài liệu này.
![]()
![]()
![]()
Kiểm định
Hausman
8.95 3.30
![]()
![]()
Kiểm định
Lagrange Multiplier
36.57*** 43.84***
![]()
Bảng trên thể hiện kết quả hồi quy mô hình khảo sát mối quan hệ giữa hai nhóm sở hữu nước ngoài và sở hữu Nhà nước đối với hoạt động đầu tư trái phiếu của ngân hàng theo phương pháp bình phương nhỏ nhất (OLS) và hai phương pháp hiệu ứng cố định và hiệu ứng bất định của kỹ thuật hồi quy dữ liệu mảng. Kết quả hồi quy dựa trên mô hình đã miêu tả ở trên. Tất cả các hồi quy được bao gồm biến giả năm (không thể hiện ở đây). Ký hiệu ***,**,* thể hiện các mức ý nghĩa 1%, 5% và 10%.
Phụ lục 3: Tổng tài sản của một số NHTM trên thế giới năm 2014

Nguồn: Bách khoa toàn thư mở Wikipedia
Phụ lục 4: Danh sách các Ngân hàng thương mại Nhà nước (Nhà nước nắm 100% vốn chủ sở hữu)
(Tính đến thời điểm 30/06/2015)
Đơn vị: Tỷ VNĐ
TÊN NGÂN HÀNG | ĐỊA CHỈ | SỐ GIẤY PHÉP NGÀY CẤP | VỐN ĐIỀU LỆ | SỐ CN & SGD | |
1 | Ngân hàng Nông nghiệp và Phát triển Nông thôn Việt Nam Vietnam Bank for Agriculture and Rural Development (Agribank) | Số 02 Láng Hạ, Thành Công, quận Ba Đình, Hà Nội | 280/QĐ-NH5 ngày 15/01/1996 | 28.874 | 943 |
2 | Ngân hàng TNHH MTV Đại Dương(Ocean Commercial One Member Limited Liability Bank) | 199 Nguyễn Lương Bằng, TP Hải Dương, tỉnh Hải Dương | 663/QĐ- NHNN ngày 6/5/2015 | 4.000 | 21 |
3 | Ngân hàng TNHH MTV Xây dựng (Construction Commercial One Member Limited Liability Bank) | 145-147-149 đường Hùng Vương, phường 2 thị xã Tâm An, tỉnh Long An | 250/QĐ- NHNN ngày 5/3/2015 | 7.500 | 16 |
Nguồn: Ngân hàng Nhà nước Việt Nam
Phụ lục 5: Danh sách các Ngân hàng liên doanh (Tính đến thời điểm 30/06/2015)
Đơn vị: Tỷ VNĐ
TÊN NGÂN HÀNG | ĐỊA CHỈ | SỐ GIẤY PHÉP, NGÀY CẤP | VỐN ĐIỀU LỆ | |
1 | Ngân hàng TNHH Indovina (IVB) Indovina Bank Limited | 97A Nguyễn Văn Trỗi, phường 12, quận Phú Nhuận, TP. Hồ Chí Minh | 135/GP-NHGP ngày 21/11/1990 | 4.183 |
2 | Ngân hàng liên doanh Vid Public (VID PUBLIC BANK) | Tầng 7 Tòa nhà Prime Centre, 53 Quang Trung, Hoàn Kiếm, Hà Nội | 01/ NHGP ngày 25/3/1992 | 1.355 |
3 | Ngân hàng liên doanh Việt – Nga (VRB) | Số 1 Yết Kiêu, Hoàn Kiếm, Hà Nội | 11/GP-NHNN ngày 30/10/2006 | 3.008 |
4 | Ngân hàng liên doanh Việt – Thái (VSB) | Số 2 Phó Đức Chính, Quận 1, TP. Hồ Chí Minh | 19/ NHGP ngày 20/4/1995 | 1.322 |
Nguồn: Ngân hàng Nhà nước Việt Nam
Phụ lục 6: Danh sách các Ngân hàng chính sách (Tính đến thời điểm 30/06/2015)
Đơn vị: Tỷ VNĐ
TÊN NGÂN HÀNG | ĐỊA CHỈ | SỐ GIẤY PHÉP NGÀY CẤP | VỐN ĐIỀU LỆ | SỐ CN & SGD | |
1 | Ngân hàng Chính | Tòa nhà CC5, Bán | Quyết định số | 10.695,5 | - |
sách xã hội Việt Nam | đảo Linh Đàm, | 131/2002/QĐ- | |||
Hoàng Liệt, Hoàng | TTG ngày | ||||
Mai, Hà Nội. | 4/10/2002 | ||||
2 | Ngân hàng Phát triển | 25A Cát Linh, Hà | 108/2006/QĐ- | - | - |
Việt Nam | Nội | TTg ngày | |||
19/5/2006 |
Nguồn: Ngân hàng Nhà nước Việt Nam
Phụ lục 7: Danh sách các Ngân hàng 100% Vốn nước ngoài (Tính đến thời điểm 30/06/2015)
Đơn vị: Tỷ VNĐ
TÊN NGÂN HÀNG | ĐỊA CHỈ | SỐ GIẤY PHÉP NGÀY CẤP | VỐN ĐIỀU LỆ/ VỐN ĐƯỢC CẤP | |
1 | ANZ Bank (Vietnam) Limited | Tòa nhà Suncity, 13 Hai Bà Trưng, Hà Nội | 268/GP-NHNN ngày 09/10/2008 | 3.000 |
2 | Hong Leong Bank Vietnam Limited | Tầng trệt, tòa nhà Centec, 72- 74 Nguyễn Thị Minh Khai, Phường 6, quận 3, TP. Hồ Chí Minh | 342/GP-NHNN ngày 29/12/2008 | 3.000 |
3 | Hongkong-Shanghai Bank Vietnam Limited | 235 Đồng Khởi, phường Bến Nghé, Quận 1, TP.Hồ Chí Minh | 235/GP-NHNN ngày 08/9/2008 | 7.528 |
4 | Shinhan Bank Vietnam Limited | Tầng trệt, tầng lửng, tầng 2,3 Tòa nhà Empress, số 138-142 đường Hai Bà Trưng, phường Đa Kao, Quận 1, TP. Hồ Chí Minh | 341/GP-NHGP ngày 29/12/2008 | 4.547 |
5 | Standard Chartered Bank (Vietnam) Limited | P 1810-1815, tòa nhà Keangnam, lô E6, Phạm Hùng, phường Mễ Trì, quận Nam Từ Liêm, Hà Nội | 236/GP-NHNN ngày 08/9/2008 | 3.000 |
Nguồn: Ngân hàng Nhà nước Việt Nam
Phụ lục 8: Danh sách các Ngân hàng thương mại cổ phần (Tính đến thời điểm 30/06/2015)
Đơn vị: Tỷ VNĐ
TÊN NGÂN HÀNG | ĐỊA CHỈ | SỐ GIẤY PHÉP NGÀY CẤP | VỐN ĐIỀU LỆ | SỐ CN & SGD | |
1 | Á Châu (ACB) Asia Commercial Joint Stock Bank | 442 Nguyễn Thị Minh Khai, Quận 3, TP. Hồ Chí Minh | 0032/NHGP ngày 24/4/1993 | 9.377 | 81 |
2 | An Bình (ABB) An Binh Commercial Joint Stock Bank | 170 Hai Bà Trưng, phường Đa Kao, Quận 1, TP. Hồ Chí Minh | 0031/NH-GP ngày 15/4/1993 77/QĐ-NH5 ngày 15/4/1993 | 4.798 | 30 |
3 | Bảo Việt (Baoviet bank) Bao Viet Joint Stock commercial Bank | Tầng 1 và Tầng 5, Tòa nhà CornerStone, số 16 Phan Chu Trinh, HN | 328/GP- NHNN ngày 11/12/2008 | 3.150 | 9 |
4 | Bản Việt (trước đây là Gia Định) Viet Capital Commercial Joint Stock Bank (Viet Capital Bank) | Toà Nhà số 112-114- 116-118 đường Hai Bà Trưng, phường ĐaKao, Quận 1, TP. Hồ Chí Minh | 0025/ NHGP ngày 22/8/1992 | 3.000 | 17 |
5 | Bắc Á (Bac A bank) BAC A Commercial Joint Stock Bank | 117 Quang Trung, TP. Vinh, tỉnh Nghệ An | 0052/NHGP ngày 01/9/1994 183/QĐ-NH5 ngày 01/9/1994 | 4.400 | 22 |
6 | Bưu điện Liên Việt (LPB) LienViet Commercial Joint Stock Bank – Lienviet Post Bank | Số 2A Nguyễn Thị Minh Khai, Phường Đa Kao, Quận 1, Thành phố Hồ Chí Minh. | 91/GP-NHNN ngày 28/3/2008 | 6.460 | 61 |
7 | Công thương Việt Nam (Vietinbank) | 108 Trần Hưng Đạo, Hoàn Kiếm, Hà Nội | 142/GP- NHNN ngày 03/7/2009 | 37.234 | 149 |
8 | Dầu khí toàn cầu (GP Bank) | Capital Tower, số 109 Trần Hưng Đạo, | 1304/QĐ- NHNN ngày 7/7/2015 | 3.018 | 13 |
9 | Đại Chúng Việt Nam (PVcomBank) Public Vietnam Bank | Số 22 Ngô Quyền, Hoàn Kiếm, Hà Nội | 279/GP- NHNN ngày 16/9/2013 | 9.000 | 33 |




