và NFA càng cao, mức độ kiểm soát của NHTW đến cung tiền càng thấp, và do đó, hiệu quả chính sách tiền tệ càng thấp (Hệ số bù đắp càng gần -1). Hệ số bù đắp mang giá trị thấp và hệ số can thiệp trung hòa mang giá trị cao chỉ ra quyền tự chủ và hiệu quả chính sách tiền tệ tương đối cao (Ouyang & ctg, 2007).
Với ước lượng 2SLS về hiệu quả can thiệp trung hòa, các nghiên cứu thực nghiệm tiêu biểu được thể hiện dưới đây:
𝑡
Brissimis & ctg (2002) kế thừa nghiên cứu của Argy & Kouri (1974) và dựa vào hàm tổn thất của cơ quan quản lý tiền tệ, Brissimis & ctg (2002) đã xây dựng hệ phương trình đồng thời để ước lượng hệ số bù đắp và hệ số can thiệp trung hòa. Mô hình nghiên cứu được xác lập từ hệ phương trình đồng thời ứng với sự thay đổi của NDA và NFA. Các biến kiểm soát trong phương trình NDA gồm có : Cán cân vãng lai (CA); Chênh lệch tỷ giá (𝑆𝑡−1 − 𝑆𝑇 ); Kỳ vọng nước ngoài và tỷ giá trong nước ( Et+1 + r*t); Lạm phát ( Pt-1); Độ lệch sản lượng (Yc,t-1); Độ biến động lãi suất (r,t-1). Các biến kiểm soát trong phương trình NFA cũng tương tự phương trình NDA, chỉ khác là thay độ biến động lãi suất bằng độ biến động tỷ giá (e,t-1). Nghiên cứu thực nghiệm được tiến hành tại Đức giai đoạn từ quý II/1980 đến quý II/1992 với phương pháp ước lượng 2SLS và 3SLS. Kết quả cho thấy hệ số bù đắp khá thấp (-0.22) trong giai đoạn duy trì cơ chế tỷ giá hối đoái ERM (Exchange Rate Mechanism) và hệ số can thiệp trung hòa xấp xỉ gần bằng -
1. Điều đó chứng tỏ Đức đã thành công với mục tiêu can thiệp trung hòa cả trong ngắn hạn và dài hạn.
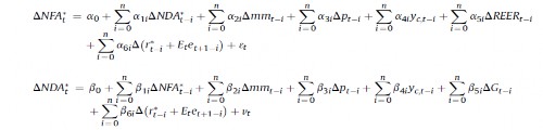
Ouyang & ctg (2010). Nhóm tác giả nghiên cứu thực nghiệm về mức độ can thiệp trung hòa và sự biến động dòng vốn ở Trung Quốc với dữ liệu tháng từ giữa năm 2000 đến cuối năm 2008. Trong phân tích thực nghiệm, nhóm tác giả cũng nghiên cứu mối liên hệ giữa NDA và NFA, họ sử dụng đồng thời hai phương trình xuất phát từ hàm BOP và hàm phản ứng chính sách tiền tệ với ước lượng 2SLS. Mô hình nghiên cứu như sau:

(2.23)
Như vậy, hàm chu chuyển vốn có 5 biến kiểm soát (mm: số nhân tiền tệ; p: lạm phát; y: độ lệch sản lượng; REER: Tỷ giá hối đoái thực; r*t+Etet+1: Lãi suất nước ngoài và tỷ giá kỳ vọng) bao gồm cả các yếu tố đẩy và kéo cũng như phản ứng của chính sách tiền tệ, nghĩa là yếu tố thúc đẩy dòng vốn vào trong nước. Hàm phản ứng chính sách tiền tệ cũng bao gồm 5 biến kiểm soát quan trọng ảnh hưởng đến phản ứng của chính sách tiền tệ (số mm: nhân tiền tệ; p :lạm phát; y: thu nhập quốc gia ;G: Chi tiêu của chính phủ; r*t+Etet+1: Lãi suất nước ngoài cộng với tỷ giá kỳ vọng ). Theo kết quả nghiên cứu, NHTW Trung Quốc đã trung hòa được khoảng 90% các dòng vốn dự trữ. Can thiệp trung hòa hầu như hoàn chỉnh ở Trung Quốc cho đến cuối năm 2007 đến cuối năm 2008, đã thay đổi hơn nhưng vẫn ở mức cao khoảng 70%.
Wang (2010) đánh giá hiệu quả can thiệp trung hòa tại Trung Quốc giai đoạn từ giữa năm 1999 đến tháng 3 năm 2009 với ước lượng OLS .Hướng tiếp cận mới của Wang (2010) so với các nghiên cứu khác trong nhóm sử dụng hệ phương trình đồng thời là đánh giá thêm hiệu quả can thiệp trung hòa thông qua cung tiền M2. Hệ phương trình nghiên cứu cụ thể như sau:
NFAt* = 0 +1 NDA + X12 + ut (2.24a)
NDAt* = 0 + 1 NFA + X22 + vt (2.24b)
M2t* = 0 + 1NFA + X32+ et (2.24c)
Kết quả nghiên cứu cho thấy hệ số bù đắp là -0.302 và hệ số can thiệp trung hòa là -0.962. Bên cạnh đó, khi ước lượng hàm phản ứng tiền tệ với biến số M2, nghiên cứu cho thấy hệ số can thiệp trung hòa là 0.529 chứng tỏ rằng sự gia tăng dự trữ ngoại hốidẫn đến sự gia tăng cung tiền M2. Điều này có nghĩa rằng mặc dù NHTW Trung Quốc
khá thành công trong việc ngăn chặn mở rộng tiền cơ sở, nhưng không hiệu quả trong việc hạn chế tăng cung tiền tổng hợp.
Ljubaj & ctg (2010) nghiên cứu nhằm khám phá mức độ can thiệp trung hòa dòng vốn vào của NHTW Croatia từ năm 2000 đến năm 2009. Hệ số can thiệp trung hòa được đo lường thông qua hàm phản ứng tiền tệ, phương trình chu chuyển vốn được sử dụng để đo lường hệ số bù đắp với uớc lượng 2SLS. Các biến kiểm soát cụ thể của từng phương trình được thể hiện dưới đây :
NDAt = 0 + 1NFAt + 2log MM4t + 3log IND_PRt + 4 TZ_182t + ut (2.25a)
NFAt = 0 + 1NFAt + 2log MM4t + 3log PUB_DEBt+4 log HRK_EURt + yt (2.25b) Trong đó MM4 là số nhân tiền tệ, IND_PR là chỉ số sản xuất công nghiệp, TZ_182 là lãi suất trái phiếu kho bạc kỳ hạn 6 tháng, PUB_DEB là nợ công của chính phủ, HRK_EUR là tỷ giá giữa đồng Kuna với đồng Euro.
Kết quả nghiên cứu cho thấy hệ số can thiệp trung hòa đạt -0.81 và hệ số bù đắp đạt -
0.48. Theo các hệ số ước lượng có thể kết luận rằng trong giai đoạn nghiên cứu, NHTW Croatia đã thực hiện một chính sách can thiệp trung hòa mạnh mẽ, nhưng không làm trung hòa hoàn toàn dòng vốn vào.
Ouyang & Rajan (2011) tiến hành nghiên cứu thực nghiệm xác định mức độ can thiệp trung hòa thực sự và chu chuyển dòng vốn ở Singapore và Đài Loan sử dụng dữ liệu quý từ năm 1990 đến năm 2008. Tác giả đã sửa đổi hệ phương trình đồng thời giữa NDA và NFA trong nghiên cứu của Brissimis & ctg (2002) để ước lượng hệ số can thiệp trung hòa và hệ số vô hiệu hóa ở 4 điểm : Mục tiêu của NHTW về kiểm soát tỷ giá, tác động của tỷ giá đến lạm phát, tác động của thu nhập và tỷ giá thực đến cán cân vãng lai và tác động của chi tiêu chính phủ đến độ lệch sản lượng. Các biến kiểm soát trong phương trình NDA gồm có: Số nhân tiền tệ (mm), Lạm phát (CPI), độ lệch sản lượng (Yc), tiêu dùng của Chính phủ (G), tỷ giá thực (REER), Kỳ vọng tỷ giá trong nước và lãi suất nước ngoài (r*t+set+1), độ biến động lãi suất (r). Các biến kiểm soát trong phương trình NFA tương tự như phương trình NDA nhưng thay thế độ biến động lãi suất bằng
độ biến động tỷ giá (e).Kết quả nghiên cứu chứng tỏ từ năm 2001, cả Singapore và Đài Loan có một mức độ cao (nhưng chưa hoàn chỉnh) dòng chu chuyển vốn thực tế. Hiệu quả chu chuyển vốn cao không làm giảm khả năng can thiệp trung hòa của NHTW trên thị trường ngoại hối ở cả Singapore và Đài Loan nhưng có thể làm cho quá trình này khó khăn hơn theo thời gian.
Các nghiên cứu thực nghiệm về hiệu quả can thiệp trung hòa được tóm tắt ở bảng 2.5.
Bảng 2.5. Bảng tóm tắt các nghiên cứu thực nghiệm về hiệu quả can thiệp trung hòa
Tác giả | Phạm vi nghiên cứu | Biến số | Dữ liệu | Phương pháp ước lượng | Kết quả nghiên cứu | |
1 | Moreno (1996). | Hàn Quốc Đài Loan | Tỷ giá danh nghĩa, CPI, tài sản có nước ngoài, tín dụng trong nước. | Từ tháng 1/1981 đến tháng 12/1994 | VAR | Can thiệp trung hòa là một yếu tố quan trọng trong phản ứng với các cú sốc thay đổi tài sản có nước ngoài |
2 | Takagi & Esaka (2001) | Các nước Đông Á | FA, M1, M2, CPI, GDP thực ( hoặc giá trị sản xuất công nghiệp), lãi suất thị trường. | Từ năm 1987 đến năm 1997 | OLS và VAR | Can thiệp trung hòa là hiệu quả trong việc làm hạn chế sự mở rộng cung tiền do tích lũy dự trữ ngoại hối nhưng không làm tăng lãi suất trong nước. |
3 | He & ctg (2005) | Trung Quốc | NDA, NFA, tín dụng trong nước, lãi suất | Từ tháng 1/1998 đến tháng 12/2004 | VAR | NFA tăng lên 1 đơn vị thì sẽ dẫn đến sự suy giảm khoảng 1 đơn vị NDA và hầu hết các |
Có thể bạn quan tâm!
-
Mối Quan Hệ Giữa Đô La Hóa Với Lạm Phát Và Tích Lũy Dự Trữ Ngoại Hối -
Cơ Chế Tác Động Tích Lũy Dự Trữ Ngoại Hối Đến Lạm Phát Qua Kênh Nhận Phân Bổ Sdrs Từ Imf -
Các Nghiên Cứu Thực Nghiệm Về Tác Động Tích Lũy Dự Trữ Ngoại Hối Đến Lạm Phát Theo Kênh Nhận Phân Bổ Sdrs Từ Imf -
Mô Hình Nghiên Cứu Đánh Giá Hiệu Quả Can Thiệp Trung Hòa Của Nhnn Việt Nam -
Trình Tự Phân Tích Dữ Liệu Mô Hình Hiệu Quả Hoạt Động Can Thiệp Trung Hòa Của Nhnn Việt Nam -
Dự Trữ Ngoại Hối Của Việt Nam Và Các Nước Asian Tính Theo Tháng Nhập Khẩu.
Xem toàn bộ 184 trang tài liệu này.

phản ứng diễn ra trong vòng 1 tháng. | ||||||
4 | Cavoli & Rajan (2006). | Một số quốc gia ở Châu Á | FA, DA, Tiền cơ sở MB. | Từ tháng 1/1990 đến tháng 5/1997 | OLS | Hệ số can thiệp trung hòa dao động từ -1.1 đến -0.7 |
5 | Aizenm an & Glick (2009). | Một số quốc gia ở Châu Á và Châu Mỹ La Tinh | NDA, NFA, Tiền cơ sở MB, GDP danh nghĩa | Từ quý I/1996 đến quý IV/2007 | OLS | Hệ số can thiệp trung hòa dao động từ -0.99 đến -0.77 |
6 | Glick& Hutchis on (2009). | Trung Quốc | NFA/RM, NDA/RM, GDP danh nghĩa | Từ quý III/1985 đến quý IV/2007 | OLS | Hệ số can thiệp trung hòa dao động từ -0.6 năm 2000 lên đỉnh cao -1.5 vào quý I năm 2006, sau đó tăng trở lại với giá trị -0.8 trong quý IV năm 2016 và duy trì giá trị này trong suốt năm 2007 |
7 | Brissim is,& ctg (2002). | Đức | NDA, NFA và một số biến kiểm soát khác. | Từ quý II/1980 đến quý II/1992 | 2SLS , 3SLS | Hệ số can thiệp trung hòa -0.735 Hệ số bù đắp : -0.222 |
8 | Ouyang &ctg (2010). | Trung Quốc | NDA, NFA, số nhân tiền tệ, lạm phát; thu nhập quốc gia, | Từ tháng 6/2000 đến tháng 9/2008 | 2SLS | NHTW Trung Quốc đã trung hòa được khoảng 90% các dòng vốn dự trữ. Can thiệp trung |
chi tiêu của Chính phủ ; Tỷ giá hối đoái thực. | hòa hầu như hoàn chỉnh ở Trung Quốc . | |||||
9 | Wang (2010) | Trung Quốc | NDA, NFA, và các biến kiểm soát | Từ tháng 6/1999 đến tháng 3/2009 | OLS | Hệ số bù đắp : -0.302 Hệ số can thiệp trung hòa : -0.962. Hệ số can thiệp trung hòa với cung tiền M2 : 0.529 |
10 | Ljubaj & ctg (2010). | Croatia | NDA, NFA, số nhân tiền tệ, chỉ số phát triển công nghiệp, lãi suất trái phiếu kho bạc, nợ công của chính phủ, tỷ giá danh nghĩa | Từ tháng 4/2000 đến tháng 2/2009 | 2SLS | Hệ số can thiệp trung hòa -0.81 Hệ số bù đắp -0.48 |
11 | Ouyang & Rajan (2011) | Đài Loan Singapore | NDA, NFA, số nhân tiền tệ, tỷ giá giao ngay bình quân, thu nhập chu kỳ, thâm hụt ngân sách chính phủ | Từ quý I/1990 đến quý IV/2008 | 2SLS, 3SLS | Singapore và Đài Loan có một mức độ cao dòng chu chuyển vốn thực tế. Hiệu quả chu chuyển vốn cao không làm giảm khả năng can thiệp trung hòa của NHTW trên thị trường ngoại hối ở cả hai quốc |
gia nhưng có thể làm cho quá trình này khó khăn hơn theo thời gian. | ||||||
12 | Phạm Thị Tuyết Trinh & Nguyễn Thị Hồng Vinh (2011) | Việt Nam | NDA, thu nhập thực, tỷ giá thực song phương USD/VND | Từ quý III/2000 đến quý III/2010. | OLS | Hệ số can thiệp trung hòa -0.24 |
13 | Phạm Thị Hoàng Anh & Bùi Duy Phú (2013) | Việt Nam | Mô hình tuyến tính: NFA, GDP, CPI, Lãi suất cho vay, WTO. | Từ quý I/2000 đến quý III/2012 | OLS và LSTR | NHNN mới chỉ trung hòa được một phần tác động của can thiệp trên thị trường ngoại hối tới lượng tiền cung ứng. |
14 | Đặng Văn Dân (2015) | Việt Nam | NDA, NFA, Tiền cơ sở MB, GDP danh nghĩa | Từ năm 2000 đến năm 2013 | Hồi quy | Hoạt động can thiệp trung hòa chưa hiệu quả, hệ số can thiệp trung hòa còn thấp. |
Nguồn: Tác giả tổng hợp
2.4. KHE HỞ NGHIÊN CỨU
2.4.1. Khe hở nghiên cứu về tích lũy dự trữ ngoại hối đến lạm phát
Ở Việt Nam, ảnh hưởng của tích lũy dự trữ ngoại hối đến lạm phát qua kênh sử dụng SDRs có thể được xem là không có hoặc không đáng kể. Bởi lẽ thành phần SDRs trong dự trữ ngoại hối của Việt Nam là rất thấp. Thậm chí đến năm 2009 là năm mà Việt Nam nhận được phân bổ SDRs nhiều nhất trong 3 lần phân bổ của IMF, nhưng tỷ trọng SDRs trong tổng dự trữ vẫn rất thấp (luôn dưới 1.5% trong suốt giai đoạn từ năm 2000 đến nay)4 . Hơn nữa, biến động số liệu này không lớn điều đó chứng tỏ SDRs được sử dụng rất ít. Vì vậy, trong điều kiện phân tích ở Việt Nam, tác động này được bỏ qua và đề tài chỉ phân tích ảnh hưởng tích lũy dự trữ ngoại hối đến lạm phát qua kênh tiền tệ, đây cũng là cơ sở để tiếp tục phân tích vấn đề can thiệp trung hòa tại Việt Nam.
Theo kênh tiền tệ, các nghiên cứu trước cũng có những hạn chế nhất định. Các nghiên cứu thực hiện trên phạm vi toàn thế giới, nhóm quốc gia hoặc một quốc gia, nhưng nghiên cứu tại Việt Nam còn rất ít. Rất nhiều nghiên cứu thiết lập phương trình nghiên cứu bằng cách xem xét mối liên hệ một cách trực tiếp biến dự trữ ngoại hối và lạm phát hoặc qua biến trung gian là cung tiền trong nền kinh tế như Heller (1979), Khan (1979), Rabin & Pratt ( 1981), Abdullateef & Waheed (2010), Chaudhry và cộng sự (2011), Zhou &ctg (2013). Do đó, các nghiên cứu trên chưa phản ánh rõ mối liên hệ giữa tích lũy dự trữ ngoại hối và lạm phát. Mặc dù về cơ sở lý thuyết, tích lũy dự trữ làm tăng cung tiền, rồi từ đó tác động đến lạm phát. Nhưng nếu phân tích hai giai đoạn này một cách riêng lẽ sẽ không thấy rõ được kết quả lạm phát tăng là do cung tiền tăng từ tích lũy dự trữ ngoại hối hay là do các yếu tố khác. Lin & Wang (2005) tiếp cận theo hướng mới dưới gốc độ nền kinh tế mở khi phân tích ảnh hưởng tích lũy dự trữ ngoại hối đến lạm phát. Nghiên cứu mở rộng mô hình thời gian nhất quán để bổ sung mục tiêu ổn định tỷ giá vào mục tiêu chung của hoạch định chính sách, ngoài mục tiêu ổn định lạm phát và
4 Theo IFS (2018) và tính toán của tác giả
ổn định sản lượng nền kinh tế. Từ đó dựa vào hàm tổn thất của NHTW và thông qua hoạt động của NHTW trên thị trường ngoại hối để xác định mối liên hệ giữa tích lũy dự trữ ngoại hối và lạm phát. Tuy nhiên, vì những hạn chế nhất định do không xác định được hệ số của các phương trình phức tạp, mô hình nghiên cứu thực nghiệm cũng chỉ bao gồm 2 biến là thay đổi dự trữ ngoại hối và lạm phát.
Steiner (2017) và nghiên cứu kế thừa của Phạm Thị Tuyết Trinh (2015) sử dụng học thuyết trọng tiền để xây dựng mô hình nghiên cứu khá thuyết phục dựa trên sự thay đổi của tài sản có nước ngoài ròng (NFA) chính là sự thay đổi của tích lũy dự trữ ngoại hối. Mô hình nghiên cứu được xây dựng thể hiện đồng thời sự thay đổi lạm phát, cung tiền, tích lũy dự trữ ngoại hối. Do đó, phản ánh rõ ảnh hưởng của giá trị tăng lên của cung tiền do tích lũy dự trữ ngoại hối đến lạm phát rõ ràng hơn các nghiên cứu trước. Tuy nhiên, trong các nghiên cứu trên, chưa có nghiên cứu nào đánh giá tác động tích lũy dự trữ ngoại hối đến lạm phát mà có xét đến đặc trưng của nền kinh tế. Trong đó, đặc trưng nền kinh tế Việt Nam là có đô la hóa. Vì vậy, luận án sẽ tập trung làm sáng tỏ điều này. Việc phân tích tác động của tích lũy dự trữ ngoại hối đến lạm phát trong điều kiện nền kinh tế có đô la hóa sẽ giúp cho các nhà quản lý có một cái nhìn toàn diện, rút kinh nghiệm cho giai đoạn sau điều hành được tốt hơn trong quá trình tích lũy dự trữ ngoại hối.
2.4.2. Khe hở nghiên cứu về hiệu quả hoạt động can thiệp trung hòa của NHTW
Với hướng tiếp cận thứ nhất, các nghiên cứu đã bỏ qua những xu hướng đồng thời bằng cách giả sử dòng vốn là yếu tố ngoại sinh. Nhưng điều quan trọng là các điều kiện tiền tệ trong nước bị ảnh hưởng bởi những thay đổi trong các dòng vốn quốc tế và dự trữ ngoại hối. Đồng thời dòng vốn quốc tế lại đáp ứng với những thay đổi của các điều kiện tiền tệ trong nước. Như vậy, bằng việc sử dụng hệ phương trình đồng thời theo hướng tiếp cận thứ hai, vấn đề tương đồng này đã được khắc phục. Do đó, tác giả sẽ đánh giá hiệu quả can thiệp trung hòa theo hướng tiếp cận thứ hai.
Nhìn chung, tất cả các nghiên cứu trước đều hướng đến ước lượng hệ số can thiệp trung hòa (và hệ số bù đắp trong trường hợp sử dụng hệ phương trình đồng thời) để đánh giá hiệu quả can thiệp trung hòa. Nhưng hiện nay chưa có nghiên cứu nào phân tích thêm đặc thù nền kinh tế Việt Nam khi xem xét hiệu quả can thiệp trung hòa của NHNN. Cụ thể, trong các nghiên cứu trước, chưa có nghiên cứu nào đề cập đến cấu trúc nền kinh tế Việt Nam có đô la hóa khi đánh giá hiệu quả can thiệp trung hòa. Bên cạnh đó, khủng hoảng tài chính toàn cầu cũng gây ra những ảnh hưởng nhất định đến hiệu quả hoạt động của NHTW và cũng chưa được đề cập trong các nghiên cứu trước. Vì vậy, luận án sẽ đánh giá mức độ ảnh hưởng của đô la hóa và khủng hoảng tài chính toàn cầu đến hiệu quả can thiệp trung hòa của NHNN Việt Nam.
Tóm tắt chương 2
Chương 2 đã trình bày cơ sở lý thuyết và bằng chứng thực nghiệm về tích lũy dự trữ ngoại hối đến lạm phát và hoạt động can thiệp trug hòa của NHTW, cũng như những vấn đề căn bản về đô la hóa. Tích lũy dự trữ ngoại hối tác động đến lạm phát do làm tăng cung tiền. Ngoài ra, tích lũy dự trữ ngoại hối còn có thể gây ra lạm phát qua việc sử dụng SDR nhận được từ IMF. Hoạt động can thiệp trung hòa được thực hiện nhằm cân bằng tác động lên thị trường tiền tệ khi NHTW tích lũy dự trữ ngoại hối thông qua việc làm trung hòa tiền cơ sở hoặc làm trung hòa cung tiền. Nhiều nghiên cứu thực nghiệm về những vấn đề trên đã được nghiên cứu, nhưng chưa có nghiên cứu nào đề cập đến đặc trưng nền kinh tế có đô la hóa và ảnh hưởng khủng hoảng đến hiệu quả can thiệp trung hòa của NHNN Việt Nam. Đó cũng chính là khe hổng của vấn đế nghiên cứu và làm cơ sở để đề xuất mô hình nghiên cứu ở chương 3.
CHƯƠNG 3: PHƯƠNG PHÁP NGHIÊN CỨU VÀ CÁC DỮ LIỆU
3.1. PHƯƠNG PHÁP NGHIÊN CỨU
Để đạt được mục tiêu nghiên cứu của đề tài, tác giả sử dụng phương pháp nghiên cứu định lượng và một số phương pháp khác. Từng câu hỏi cụ thể sẽ tương ứng với các phương pháp nghiên cứu dưới đây.
Với câu hỏi nghiên cứu thứ nhất “Thực trạng về dự trữ ngoại hối, đô la hóa và tình hình sử dụng các công cụ can thiệp trung hòa của NHNN như thế nào ?”, tác giả sử dụng phương pháp phân tích, so sánh, tổng hợp để đánh giá thực trạng dự trữ ngoại hối, đô la hóa và các công cụ can thiệp trung hòa sử dụng tại Việt Nam.
Với câu hỏi nghiên cứu thứ hai “Tích lũy dự trữ ngoại hối có tác động trong ngắn hạn và dài hạn đến lạm phát tại Việt Nam trong bối cảnh nền kinh tế có đô la hóa hay không ?”, tác giả sử dụng phương pháp nghiên cứu định lượng với mô hình được xây dựng trên cơ sở học thuyết tiền tệ cổ điển của Irving Fisher. Bên cạnh đó, tác động của tích lũy dự trữ ngoại hối đến lạm phát cũng được xem xét trong điều kiện nền kinh tế có đô la hóa vì từ khi chuyển từ nền kinh tế bao cấp sang nền kinh tế thị trường đến nay, Việt Nam vẫn còn trong tình trạng đô la hóa. Mô hình Tự hồi quy phân phối trễ có đường bao (Autoregressive Distributed Lag Bound Test - ARDL Bounds Test) được sử dụng để đánh giá tác động trong ngắn hạn và dài hạn của tích lũy dự trữ ngoại hối đến lạm phát thông qua phương trình hiệu chỉnh sai số (Error Correction Model - ECM).
Với câu hỏi nghiên cứu thứ ba, “Mức độ hiệu quả của hoạt động can thiệp trung hòa của NHNN trong bối cảnh nền kinh tế đô la hóa như thế nào và đô la hóa, khủng hoảng tài chính toàn cầu có làm thay đổi mức độ can thiệp trung hòa của NHNN hay không?”, tác giả sử dụng phương pháp nghiên cứu định lượng để tính hệ số can thiệp trung hòa và hệ số bù đắp. Các hệ số này được xác định trên cơ sở hệ phương trình đồng thời được xây dựng từ hàm tổn thất của NHTW, trong đó có xem xét đến yếu tố đô la hóa nền kinh tế. Uớc lượng Bình phương tối thiểu hai giai đoạn (Two Stage Least Square
– 2SLS) được sử dụng để tính hệ số can thiệp trung hòa và hệ số bù đắp từ hệ phương trình đồng thời. Bên cạnh đó, tác giả lần lượt sử dụng các biến tương tác trong mô hình để xem xét xem đô la hóa và khủng hoảng có làm thay đổi mức độ can thiệp trung hòa của NHNN Việt Nam hay không.
Để trả lời cho câu hỏi thứ tư “Can thiệp trung hòa của các nước trên thế giới như thế nào ?”, tác giả sử dụng phương pháp nghiên cứu tình huống (Case Studies). Theo Zainal (2007), phương pháp nghiên cứu tình huống cho phép nhà nghiên cứu có thể tìm hiểu chặt chẽ vấn đề trong một ngữ cảnh cụ thể. Trong hầu hết các trường hợp, nghiên cứu tình huống lựa chọn một khu vực địa lý nhỏ hoặc một số rất hạn chế cá nhân là đối tượng nghiên cứu. Vì vậy, luận án sử dụng phương pháp nghiên cứu này nhằm tìm hiểu thực trạng hoạt động can thiệp trung hòa một số nước tiêu biểu trên thế giới trong những giai đoạn riêng biệt, từ đó rút ra bài học kinh nghiệm để NHNN Việt Nam thực hiện can thiệp trung hòa trong quá trình tích lũy dự trữ ngoại hối.
Nội dung phần 3.2, 3.3. và 3.4 dưới đây sẽ làm rõ hơn về mô hình, phương pháp xử lý và dữ liệu nghiên cứu để trả lời cho câu hỏi nghiên cứu thứ hai và thứ ba liên quan đến tác động tích lũy dự trữ ngoại hối đến lạm phát và hiệu quả hoạt động can thiệp trung hòa của NHNN Việt Nam.
3.2. MÔ HÌNH NGHIÊN CỨU LÝ THUYẾT
3.2.1. Mô hình nghiên cứu tác động tích lũy dự trữ ngoại hối đến lạm phát
Mô hình nghiên cứu trước hết được kế thừa từ nghiên cứu của Steiner (2009). Steiner xây dựng mô hình dựa trên học thuyết tiền tệ cổ điển của Irving Fisher kết hợp với lý thuyết về cung tiền và số nhân tiền tệ.
Từ phương trình trao đổi của Fisher : Ms *V = P*Y (3.1)
Lấy logarit cơ số tự nhiên 2 vế của phương trình, ta có : lnMs + lnV = lnP+ lnY
Tiếp tục lấy vi phân hai vế của phương trình trên, ta có






