tác giả kết luận rằng tích lũy dự trữ ngoại hối không dẫn đến lạm phát nếu tỷ lệ tích lũy dự trữ ngoại hối không vượt quá tốc độ tăng trưởng kinh tế.
Các nghiên cứu ở từng quốc gia
Chaudhry & ctg (2011) phân tích mối liên hệ giữa dữ trữ ngoại hối và lạm phát ở Pakistan. Về phương pháp phân tích dữ liệu, nhóm tác giả sử dụng mô hình tự hồi quy phân phối trễ (Auto Regressive Distributive Lag Model -ARDL) từ Pesaran & ctg (2001) để đánh giá thứ tự đồng liên kết giữa hai biến và ước lượng OLS để phân tích mối liên hệ trong dài hạn. Thời gian phân tích từ 1960 – 2007. Mô hình nghiên cứu chỉ gồm hai biến là GDPD (Chỉ số giảm phát GDP - Gross Domestic Product Deflator ) đại diện cho chỉ tiêu lạm phát và FE ( Dự trữ ngoại hối). Nhóm tác giả đưa ra giả thuyết nghiên cứu là có mối quan hệ nghịch chiều giữa dự trữ ngoại hối và lạm phát tại Pakistan. Kết quả nghiên cứu tương đồng với giả thuyết nghiên cứu, nghĩa là dự trữ ngoại hối có quan hệ nghịch chiều với lạm phát. Điều này theo nhóm tác giả là khác biệt so với các nghiên cứu trước.
Nghiên cứu của Chen & Huang (2012) phân tích cơ chế truyền dẫn tích lũy dự trữ ngoại hối đến lạm phát ở Trung Quốc. Mẫu dữ liệu phân tích bao gồm dự trữ, cung tiền, chỉ số giá tiêu dùng, lãi suất và GDP danh nghĩa của Trung Quốc từ tháng 1/1993 đến 3/2008. Để đánh giá tác động tích lũy dự trữ ngoại hối đến mức giá trong nền kinh tế, nhóm tác giả sử dụng mô hình phi tham số ( Nonparametric Model) với hiệu ứng trễ để đo lường tác động của dự trữ ngoại hối lên cung tiền và cung tiền lên mức giá tương ứng. Mô hình nghiên cứu như sau:
LMi = G(LFRESi) + ui, i = 1, 2, . . . , n (2.17a)
LCPIi = F(LMi) + vi, i = 1, 2, . . . , n (2.17b)
Trong đó LFRESi, LMi, LCPIi là dạng logarit của dự trữ ngoại hối, cung tiền và mức giá điều chỉnh trong giai đoạn thứ i tương ứng.
Kết quả cho thấy khi dự trữ ngoại hối tăng một đơn vị sẽ làm cung tiền tăng lên 0,488 đơn vị, và cuối cùng làm tăng mức giá của 0,0527 đơn vị. Hay nói một cách khác, hiệu
ứng truyền dẫn của dự trữ ngoại hối về mức giá, được biểu thị bằng độ co giãn chéo của dự trữ ngoại hối với với mức giá, là 0,0527. Do đó, sự gia tăng trong dự trữ ngoại hối sẽ dẫn đến sự gia tăng đáng kể trong cung tiền, điều này sẽ dẫn đến lạm phát.
Zhou & ctg (2013) sử dụng dữ liệu hàng tháng về dự trữ ngoại hối và chỉ số giá tiêu dùng để xây dựng mô hình VAR, sau đó làm kiểm định Granger và phân tích xung lực từ hàm phản ứng đẩy để tìm hiểu tác động của tăng trưởng dự trữ ngoại hối đến chỉ số giá tiêu dùng của Trung Quốc. Giai đoạn phân tích trong vòng 3 năm từ tháng 1/2008 đến tháng 12/2011. Mô hình nghiên cứu gồm hai biến là dự trữ ngoại hối (FER) và Chỉ số giá tiêu dùng (CPI) đại diện cho chỉ tiêu lạm phát. Các biến số trên được lấy logarit trước khi đưa vào mô hình xử lý dữ liệu. Kết quả kiểm định nhân quả Granger chứng minh rằng dự trữ ngoại hối là một nguyên nhân làm cho CPI tăng, trong khí đó CPI không phải là nguyên nhân dẫn đến tăng trưởng dự trữ ngoại hối tại Trung Quốc. Mức độ tác động của dự trữ ngoại hối làm cho CPI tăng là 20% với độ trễ từ 1 đến 8 tháng.
Phạm Thị Tuyết Trinh (2015) sử dụng mô hình VAR để đo lường tác động tích lũy dự trữ ngoại hối đến lạm phát tại Việt Nam giai đoạn quý I/2000 đến quý II/2014. Mô hình nghiên cứu của tác giả kế thừa từ mô hình lý thuyết của Steiner (2009), gồm có các biến CPI, NDA, NFA, mm, Y. Kết quả đo lường bằng hàm phản ứng đẩy tổng quát hóa (Generalized Impluse Respone Function) cho thấy tích lũy dự trữ ngoại hối làm lạm phát bắt đầu tăng từ quý thứ 3 và đạt cân bằng mới từ quý thứ 7 ở mức 1,1% đơn vị.
2.3.1.2. Các nghiên cứu thực nghiệm về tác động tích lũy dự trữ ngoại hối đến lạm phát theo kênh nhận phân bổ SDRs từ IMF
Theo kênh nhận phân bổ SDRs từ IMF, trong khả năng tìm hiểu của tác giả có các nghiên cứu thực nghiệm dưới đây:
Nghiên cứu đầu tiên là nghiên cứu của Neumamn (1973). Neumamn là người đầu tiên đưa ra mô hình chứng tỏ phân bổ SDRs có thể dẫn đến tự do hóa các chính sách nội địa. Trước hết, tác giả đưa ra một mô hình cân bằng làm cơ sở cho việc phân tích với giả định nền kinh tế thế giới bao gồm Mỹ và phần còn lại là Châu Âu. Tiếp theo tác giả phân
tích những tác động của việc phân bổ SDRs, và phân tích cụ thể tác động của việc sử dụng SDRs bằng tập trung vào các mối tương quan chặt chẽ với lạm phát trong nước. Kết quả nghiên cứu cho thấy việc phân bổ SDRs không gây ra lạm phát nhưng việc sử dụng SDRs có thể dẫn đến lạm phát.
Chitu (2016) đã nghiên cứu tác động của tích lũy dự trữ ngoại hối đến lạm phát bởi rủi ro đạo đức và những tác động khuyến khích từ tháng 1/2005 đến tháng 12/2013. Nghiên cứu nhằm kiểm tra giả thuyết cho rằng sự gia tăng dự trữ quốc tế có thể khiến các quốc gia tự mãn và theo đuổi chính sách ít thận trọng do nhận thức sự an toàn từ việc nắm giữ dự trữ ngoại hối cao hơn. Sự phân bổ chung SDRs năm 2009 được sử dụng như là một thí nghiệm tự nhiên duy nhất để chỉ ra tác động của một cú sốc ngoại sinh toàn cầu do nắm giữ dự trữ ngoại hối của 181 quốc gia thành viên của IMF. Bên cạnh đó tác giả sử dụng ước lượng khác biệt trong sự khác biệt và so sánh bằng điểm xu hướng (Difference-in-differences and propensity score matching estimates) để đánh giá tác động khuyến khích của một cú sốc bên ngoài của tích lũy dự trữ đến lạm phát. Kết quả cho thấy tích lũy dự trữ có thể dẫn đến lạm phát thông qua các kênh rủi ro đạo đức.
Các nghiên cứu thực nghiệm được tóm tắt ở bảng 2.4.
Bảng 2.4. Bảng tóm tắt các nghiên cứu thực nghiệm về tích lũy dự trữ ngoại hối đến lạm phát
Tác giả | Phạm vi nghiên cứu | Biến số | Dữ liệu | Phương pháp xử lý dữ liệu | Kết quả nghiên cứu | |
1 | Heller (1976) | 126 quốc gia thành viên IMF và Thụy Sỹ | Dữ trữ ngoại hối toàn cầu, cung tiền toàn cầu và | Từ năm 1951- năm 1974 | Uớc lượng hồi quy. | Tăng trưởng dữ trữ ngoại hối toàn cầu có tác động đến lạm phát toàn cầu với |
Có thể bạn quan tâm!
-
Rủi Ro Trong Nước Và Chi Phí Tích Lũy Dự Trữ Ngoại Hối -
Mối Quan Hệ Giữa Đô La Hóa Với Lạm Phát Và Tích Lũy Dự Trữ Ngoại Hối -
Cơ Chế Tác Động Tích Lũy Dự Trữ Ngoại Hối Đến Lạm Phát Qua Kênh Nhận Phân Bổ Sdrs Từ Imf -
Bảng Tóm Tắt Các Nghiên Cứu Thực Nghiệm Về Hiệu Quả Can Thiệp Trung Hòa -
Mô Hình Nghiên Cứu Đánh Giá Hiệu Quả Can Thiệp Trung Hòa Của Nhnn Việt Nam -
Trình Tự Phân Tích Dữ Liệu Mô Hình Hiệu Quả Hoạt Động Can Thiệp Trung Hòa Của Nhnn Việt Nam
Xem toàn bộ 184 trang tài liệu này.

lạm phát toàn cầu | độ trễ từ 2,5 – 4,5 năm. | |||||
2 | Khan (1979) | Toàn thế giới | Dữ trữ ngoại hối toàn cầu, lạm phát toàn cầu | Từ năm 1955 – năm 1977 | Kiểm định nhân quả Granger. | Lạm phát phản ứng trễ với dự trữ ngoại hối trên toàn thế giới. |
3 | Rabin & Pratt ( 1981) | Toàn thế giới | Cung tiền toàn cầu, dự trữ ngoại hối toàn cầu, lạm phát toàn cầu | Từ năm 1951 đến năm 1969 | Tổng bình phương tối thiểu (OLS). | Hầu như không có mối liên hệ giữa thay đổi dự trữ ngoại hối và lạm phát toàn cầu. |
4 | Heller (1981) | Toàn thế giới | Dữ trữ ngoại hối toàn cầu, cung tiền toàn cầu và lạm phát toàn cầu | Từ năm 1951 đến năm 1979 | Uớc lượng hồi quy. | Tồn tại mối liên hệ giữa thay đổi dự trữ quốc tế và cung tiền thế giới. |
5 | Steiner (2009) | 126 quốc gia trên toàn thế giới | Lạm phát, dự trữ ngoại hối toàn cầu. | Từ năm 1970 đến năm 2006 | Mô hình VAR | Tăng trưởng dự trữ toàn cầu dẫn đến sự tăng trưởng đáng kể của tỷ lệ lạm phát với độ trễ 2 năm |
Chitu (2016) | 186 quốc gia thành viên IMF | Tỷ lệ lạm phát, độ chệnh sản lượng, tỷ lệ thay đổi SDRs, tài sản nợ không có gốc tiền tệ của NHTW. | Từng giai đoạn từ 1/2005 đến 12/2013 | Uớc lượng khác biệt trong sự khác biệt và so sánh bằng điểm xu hướng. | Tích lũy dự trữ có thể dẫn đến lạm phát thông qua các kênh rủi ro đạo đức. | |
7 | Steiner (2017) | Toàn thế giới | NDA, CPI, NFA ,GDP, mm | Từ năm 1970 đến năm 2012 | Mô hình Var | Dự trữ ngoại hối tăng 10% làm lạm phát tăng 1.4% trong giai đoạn 3 năm. |
8 | Lin & Wang (2005) | Một số quốc gia Châu Á | Lạm phát, dự trữ ngoại hối. | Từ quý I/1981 đến quý IV/2013 | Ước lượng gần như không liên quan (SUR) | Mối liên hệ giữa thanh đổi dự trữ và lạm phát là mối quan nghịch biến ở Nhật Bản, đồng biến ở Hàn Quốc và Đài Loan. Và mối quan hệ này không có ý nghĩa ở Singapore và Hồng Kông. |
Elhiraika & Ndikuma na (2007) | Châu Phi | Lạm phát, dự trữ ngoại hối thực | Từ năm 1979 đến năm 2005 | Mô hình hiệu chỉnh sai số hai bước | Tích lũy dự trữ ngoại hối dẫn đến mức giá cao hơn trong dài hạn. | |
10 | Borivoje & Tina (2015) | Brazil, Trung Quốc, Nga | GDP thực tế bình quân đầu người, Tỷ trọng đầu tư trên GDP, dự trữ ngoại hối, dân số | Từ năm 1993 đến năm 2012 | ONK với mô hình nhân tố cố định. | Tích lũy dự trữ ngoại hối không dẫn đến lạm phát nếu tỷ lệ tích lũy dự trữ ngoại hối không vượt quá tốc độ tăng trưởng kinh tế. |
11 | Abdullat eef & Waheed (2010) | Nigeria | Lạm phát, dự trữ ngoại hối thực. | Từ năm 1986 đến năm 2006 | OLS và VECM | Thay đổi dự trữ ngoại hối không tác động đến lạm phát ở Nigeria |
12 | Chaudhr y & ctg (2011) | Pakistan | Lạm phát, dự trữ ngoại hối | Từ năm 1960 đến năm 2007 | Mô hình tự hồi quy phân phối trễ (ARDL) | Dự trữ ngoại hối có quan hệ nghịch chiều với lạm phát |
13 | Chen & Huang (2012) | Trung Quốc | Dự trữ ngoại hối, cung tiền, chỉ số giá tiêu dùng, lãi suất và GDP danh nghĩa | Từ tháng 1/1993 đến tháng 3/2008. | VAR kết hợp với các ước tính độ co giãn các tham số. | Sự gia tăng tích lũy dự trữ ngoại hối sẽ dẫn đến sự gia tăng cung tiền, từ đó dẫn đến sự gia tăng lạm phát. |
Zhou & ctg (2013) | Trung Quốc | Dự trữ ngoại hối và lạm phát | Từ tháng 1/2008 đến tháng 12/2011. | Mô hình VAR, kiểm định Granger, phân tích xung lực | Mức độ tác động của dự trữ ngoại hối làm cho CPI tăng là 20% với độ trễ từ 1 đến 8 tháng. | |
15 | Phạm Thị Tuyết Trinh (2015) | Việt Nam | Tài sản có nước ngoài ròng, lạm phát, tài sản có trong nước ròng, ,GDP, số nhân tiền tệ. | Từ quý I/2000 đến quý II/2014 | Mô hình VAR | Tích lũy dự trữ ngoại hối giải thích được 4-6% diễn biến của lạm phát. |
Nguồn : Tác giả tổng hợp
2.3.2. Các nghiên cứu thực nghiệm về hiệu quả hoạt động can thiệp trung hòa của NHTW
Các nghiên cứu thực nghiệm về hiệu quả can thiệp trung hòa trên thế giới chia làm hai nhóm tiếp cận chính. Nhóm thứ nhất xem xét mối liên hệ giữa NDA và NFA chủ yếu bằng hàm phản ứng chính sách tiền tệ bằng một phương trình hồi quy với hai phương pháp ước lượng chính là mô hình VAR và OLS. Nhóm thứ hai sử dụng hệ phương trình đồng thời để xét mối liên hệ giữa NDA và NFA và được ước lượng chủ yếu bằng phương pháp 2SLS.
2.3.2.1. Nhóm tiếp cận thứ nhất
Mô hình hồi quy được xây dựng từ hàm phản ứng tiền tệ xuất phát từ hàm phản ứng tiền tệ của Cumby & Obstfeld (1983). Hàm phản ứng chính sách tiền tệ được xây dựng với giả định rằng NHTW trung hòa tác động tiền tệ của việc tích lũy dự trữ ngoại
hối bằng sự thay đổi NDA. Theo đó, hàm phản ứng chính sách tiền tệ được thể hiện như sau:
NDAt = 0 + 1(CAt+Kt) + 2X1 + ut (2.18)
Trong đó CA: Cán cân vãng lai, K: Cán cân vốn, X1: Véc tơ của các biến khác cũng có thể ảnh hưởng đến phản ứng chính sách tiền tệ.
Vì CA+K = NFA (Mối liên hệ trong cán cân thanh toán quốc tế, với giả định lỗi và sai sót bằng 0) nên ta có:
NDAt = 0 + 1NFAt + 2X1 + ut (2.19)
Trong phương trình trên, 1 chỉ mức độ can thiệp trung hòa và được gọi là hệ số can thiệp trung hòa (Sterilisation coefficient). 1 sẽ nằm trong khoảng từ -1 đến 0. Khi
1 = -1 , hoạt động can thiệp trung hòa hoàn hảo, NHTW đã trung hòa hoàn toàn sự gia tăng của tiền cơ sở bằng sự gia tăng NFA của NHTW . Tuy nhiên, nếu hệ số can thiệp trung hòa gần bằng 0, tiền cơ sở tạo ra từ hoạt động mua ngoại tệ của NHTW sẽ không được rút về đầy đủ. Nếu =0, không có hoạt động can thiệp trung hòa của NHTW, tích lũy dự trữ ngoại hối sẽ dẫn đến một sự gia tăng tương đương cung tiền trong nước.
Phương trình (2.19) được ước lượng bằng phương pháp OLS hoặc bằng mô hình VAR với các nghiên cứu tiêu biểu sau:
Moreno (1996) sử dụng mô hình VAR với 4 biến (tỷ giá danh nghĩa giữa đồng nội tệ so với USD, CPI, tài sản có nước ngoài và tín dụng trong nước) để tìm hiểu cách thức các cơ quan quản lý tiền tệ phản ứng với các cú sốc ở Hàn Quốc và Đài Loan trong giai đoạn tháng 1/1981 đến tháng 12/1994. Phân tích cho thấy can thiệp trung hòa là một yếu tố quan trọng trong phản ứng với các cú sốc thay đổi tài sản có nước ngoài ở cả hai nền kinh tế.
Takagi & Esaka (2001) kiểm tra mức độ can thiệp trung hòa bằng cách ước lượng mức độ biến động của tài sản có nước ngoài (FA) dẫn đến sự mở rộng tiền cơ sở và cung tiền thông qua hàm phản ứng tiền tệ. Mô hình nghiên cứu gồm 5 biến : Cả cung tiền theo nghĩa hẹp (M1 ) và cung tiền theo nghĩa rộng (M2 ) đều được sử dụng để đại diện cho
tổng cung tiền trong nền kinh tế, chỉ số giá tiêu dùng (CPI) đại diện cho sự thay đổi giá cả, GDP thực đại diện cho sản lượng thực của nền kinh tế và lãi suất thị trường tiền tệ
(i) đại diện cho lãi suất. Nghiên cứu được tiến hành ở các nước Đông Á theo dữ liệu quý trong vòng 10 năm từ năm 1987 đến năm 1997. Nhóm tác giả dùng mô hình VAR kết hợp với phân tích nhân quả Granger để phân tích. Kết quả cho thấy can thiệp trung hòa là hiệu quả trong việc làm hạn chế sự mở rộng cung tiền do tích lũy dự trữ ngoại hối nhưng không làm tăng lãi suất trong nước. Điều này trái với giả thuyết ban đầu của tác giả khi đề cập ở ngay từ ban đầu rằng tính hiệu quả của hoạt động can thiệp trung hòa không chỉ thu hẹp cung tiền mà còn làm tăng lãi suất trong nước.
He & ctg (2005) xem xét hiệu quả can thiệp trung hòa ở Trung Quốc và xem xét xem sự bùng nổ tín dụng trong nước có phải bị ảnh hưởng bởi dòng vốn vào từ nước ngoài cho giai đoạn từ tháng 1/1998 đến tháng 12/2004. Mô hình VAR được xây dựng với 4 biến: NDA, NFA, tín dụng trong nước (DCR) và lãi suất (IR) . Về hiệu quả can thiệp trung hòa, kết quả hàm phản ứng đẩy cho thấy NDA phản ứng với những biến động của NFA. Cứ NFA tăng lên 1 đơn vị thì sẽ dẫn đến sự suy giảm khoảng 1 đơn vị NDA và hầu hết các phản ứng diễn ra trong vòng 1 tháng. Những cú sốc đối với NFA có ít ảnh hưởng đến DCR và IR. Do đó, thay đổi trong dòng vốn dường như không ảnh hưởng đến tăng trưởng tín dụng trong nước và lãi suất. Các phản ứng của NDA, DCR và IR xuất hiện để cho thấy rằng tác động của sự gia tăng trong NFA đã được vô hiệu hóa một cách hiệu quả và các hoạt động khử trùng của NHTW Trung Quốc đã thành công trong việc cách điện các điều kiện tiền tệ trong nước từ những thay đổi về dòng vốn.
Cavoli & Rajan (2006) sử dụng một chuỗi các nghiên cứu thực nghiệm để kiểm tra các liên kết động giữa dòng vốn quốc tế, mức độ can thiệp trung hòa và chênh lệch lãi suất trong 5 nền kinh tế chủ đạo (Indonesia, Hàn Quốc, Malaysia, Philiphin và Thái Lan) liên quan đến khủng hoảng tài chính tiền tệ cho giai đoạn trước khi xảy ra khủng hoảng từ tháng 1/1990 đến tháng 5/1997. Ước lượng bằng OLS nghiên cứu đưa ra kết quả cho thấy hệ số can thiệp trung hòa giao động từ -0.7 (Indonesia) đến -1.1 (Hàn
Quốc) trong nhóm các nước nghiên cứu. Như vậy, hoạt động can thiệp trung hòa không được thực hiện hoàn toàn ở Indonesia, các nước còn lại hầu như được trung hòa hoàn toàn hoặc được thực hiện ở mức trung bình trong mẫu nghiên cứu.
Aizenman & Glick (2009) nghiên cứu hiệu quả can thiệp trung hòa ở các thị trường mới nổi (Một số quốc gia ở Châu Á và Châu Mỹ La tinh) khi các nước này tự do hóa thị trường và hội nhập vào kinh tế thế giới (Giai đoạn từ Quý I/1996 đến Quý IV/2007). Mức độ can thiệp trung hòa được ước lượng bằng một phương trình hồi quy đơn giản giữa sự thay đổi tài sản có trong nước của NHTW với sự thay đổi tài sản có nước ngoài của NHTW theo quý, và được chia cho tiền cơ sở với độ trễ là 4, tốc độ tăng trưởng GDP danh nghĩa cũng được sử dụng làm biến kiểm soát. Với ước lượng OLS, kết quả cho thấy mức độ can thiệp trung hòa đã tăng lên trong giai đoạn nghiên cứu với các nước đã chọn với mức độ khác nhau, phù hợp với mức độ quan tâm lớn hơn về tác động tìm năng đến lạm phát của dòng vốn vào.
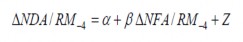
Glick & Hutchison (2009) nghiên cứu ước tính mức độ can thiệp trung hòa bằng cách hồi quy sự thay đổi của NDA theo sự thay đổi của NFA của NHTW Trung Quốc (PBC) sau khi chia cho tiền dự trữ cơ sở (RM). Bên cạnh đó, tốc độ tăng trưởng của GDP danh nghĩa (Z) được sử dụng để kiểm soát biến giải thích khác mà có thể ảnh hưởng đến cầu tiền. Mô hình hồi quy có dạng:
(2.20)
Sự thay đổi NDA cũng như NFA được chia cho tiền cơ sở với độ trễ bằng 4 để nắm bắt được tác động của tích lũy dự trữ quốc tế và sự vận hành của NHTW Trung Quốc. Dữ liệu được thu thập theo quý tại Trung Quốc từ quý 3/1985 đến quý 4/2007 và được xử lý với ước lượng OLS. Kết quả cho thấy rằng hệ số can thiệp trung hòa đã dao động từ -
0.6 năm 2000 lên đỉnh cao -1.5 vào quý I năm 2006, sau đó tăng trở lại với giá trị -0.8 trong quý IV năm 2016 và duy trì giá trị này trong suốt năm 2007. Kết quả này khẳng
định quan điểm của tác giả đó là khi dự trữ đạt mức cao, can thiệp trung hòa càng trở nên khó khăn và không hiệu quả.
Phạm Thị Tuyết Trinh & Nguyễn Thị Hồng Vinh (2011) nghiên cứu về mức độ can thiệp trung hòa ở Việt Nam giai đoạn từ quý III/2000 đến quý III/2010. Với ước lượng OLS sử dụng cho các biến NDA, thu nhập thực, tỷ giá thực song phương giữa VND/USD, lãi suất trong nước và lãi suất nước ngoài. Kết quả thu được hệ số can thiệp trung hòa khá thấp ở Việt Nam trong giai đoạn nghiên cứu (-0.24).
Phạm Thị Hoàng Anh & Bùi Duy Phú (2013) đánh giá hiệu quả can thiệp trung hòa của NHNN Việt Nam giai đoạn từ quý I/2000 đến quý II/2012 bằng cách tiếp cận mô hình hồi quy tuyến tính và phi tuyến tính. Mô hình hồi quy tuyến tính có dạng như sau:
DC = 1NFA + 2GDP + 3CPI + 4LER + 5WTO + ut (2.21)
Trong đó DC là tín dụng trong nước; NFA là tài sản ngoại tệ ròng của hệ thống ngân hàng; GDP là tăng trưởng kinh tế; CPI là tỷ lệ lạm phát; LER là lãi suất cho vay và WTO là biến giả trước thời điểm 1/2007 mang giá trị 0, còn lại nhận giá trị là 1.
Kết quả thu được từ mô hình hồi quy tuyến tính và phi tuyến đều cho thấy hoạt động can thiệp trung hòa của NHNN diễn ra liên tục ( đặc biệt giai đoạn 2007 – 2008) và NHNN luôn quan tâm đến trung hòa tác động của hoạt động này. Tuy nhiên, do nhiều nguyên nhân, NHNN mới chỉ trung hòa được một phần tác động của can thiệp trên thị trường ngoại hối tới lượng tiền cung ứng.
Đặng Văn Dân (2015) đo lường mức độ vô hiệu hóa (mức độ can thiệp trung hòa) ở Việt Nam bằng cách kiểm định mô hình hồi quy theo Aizenman & Glick (2009) với số liệu thu thập từ năm 2000 đến năm 2013. Kết quả cho thấy hệ số vô hiệu hóa là - 0.475, như vậy dòng thu ngoại tệ chỉ bị vô hiệu hóa 1 phần do sự cắt giảm tín dụng nội địa của NHNN, chính sách vô hiệu hóa chưa hiệu quả cao.
2.3.2.2. Nhóm tiếp cận thứ hai
Theo hướng tiếp cận thứ hai, các tác giả sử dụng hệ phương trình đồng thời để xét mối liên hệ giữa NDA và NFA với phương pháp ước lượng chủ yếu là 2SLS. Họ xem xét điều này bởi vì có mối quan hệ nhân quả giữa hai biến trong mô hình. Tiền tệ trong nước bị ảnh hưởng bởi dòng vốn vào và tích lũy dự trữ ngoại hối, ngược lại, dòng vốn vào lại bị ảnh hưởng bởi tiền tệ trong nước. Mô hình nghiên cứu có dạng chung như sau:
NDAt = 0 + 1NFAt + 2X1 + ut (2.22a)
NFAt = 0+ 1NDAt + 2X2 + vt (2.22b)
Trong đó X1 và X2 lần lượt là các véc tơ của các biến kiểm soát trong hàm phản ứng tiền tệ (phương trình 2.22a ) và hàm chu chuyển vốn ( Phương trình 2.22b) .Các hệ số 1 ,1 lần lượt là hệ số can thiệp trung hòa và hệ số bù đắp.
Ngược lại với hàm phản ứng tiền tệ, hàm chu chuyển vốn (Capital-Flow Equation) có nguồn gốc từ mô hình của Kouri & Porter (1974) phản ánh một cách nhìn khác về mối liên hệ giữa tích lũy dự trữ ngoại hối và các biện pháp chính sách tiền tệ. Hàm chu chuyển vốn cho phép ước lượng ảnh hưởng của chính sách tiền tệ đến dòng vốn vào từ nước ngoài. Theo đó, biến phụ thuộc được đại diện bởi sự thay đổi NFA của NHTW, và biến độc lập là sự thay đổi của NDA của NHTW ( đại diện cho phản ứng chính sách tiền tệ). 1 là hệ số bù đắp và giá trị kỳ vọng của nó cũng nằm trong khoảng từ -1 đến 0. Nếu hệ số bù đắp 1 = -1 có nghĩa là dòng vốn hoàn toàn di động. Trong trường hợp như vậy, hoạt động can thiệp trung hòa sẽ không hiệu quả bởi vì số NDA giảm sẽ được thay thế bằng dòng ngoại tệ vào với cùng số lượng, làm tăng NFA. Dòng vốn bổ sung này sau đó cần được làm trung hòa tác động đến cung tiền, tạo ra một vòng luẩn quẩn của dòng vốn tăng cao và nhu cầu can thiệp trung hòa thêm. Ngoài ra, nếu hệ số bù đắp gần bằng 0, điều đó có nghĩa là sự thay đổi NDA của NHTW do tác động của các hoạt động can thiệp trung hòa của NHTW một phần hoặc hoàn toàn vẫn còn nằm trong hệ thống, ảnh hưởng đến tổng cung tiền. Nói chung, biến động vốn càng cao và mức độ thay thế giữa NDA






