* Về tính khả thi của các biện pháp
Bảng 3.2. Bảng tổng hợp ý kiến của cán bộ quản lý, giáo viên về tính khả thi của các biện pháp
Các biện pháp | SL | Tính khả thi | Thứ bậc | ||||
Rất khả thi | Khả thi | Không khả thi | ĐTB | ||||
1. | Nâng cao nhận thức của CBQL,GV, các lực lượng liên quan về phát triển năng lực GV THCS thành phố Cẩm Phả, Quảng Ninh đáp ứng yêu cầu đổi mới giáo dục phổ thông. | SL | 62 | 27 | 7 | 2,57 | 4 |
% | 64,6 | 28,1 | 7,3 | ||||
2. | Xây dựng kế hoạch phát triển năng lực cho giáo viên THCS thành phố Cẩm Phả, Quảng Ninh đáp ứng yêu cầu đổi mới giáo dục phổ thông. | SL | 70 | 24 | 2 | 2,71 | 2 |
% | 73,0 | 25,0 | 2,0 | ||||
3. | Tổ chức, triển khai có hiệu quả kế hoạch phát triển năng lực cho giáo viên THCS thành phố Cẩm Phả, Quảng Ninh đáp ứng yêu cầu đổi mới giáo dục phổ thông. | SL | 70,0 | 23,0 | 3 | 2,70 | 3 |
% | 73,0 | 24,0 | 3,0 | ||||
4. | Đảm bảo các nguồn lực cho hoạt động phát triển năng lực giáo viên THCS thành phố Cẩm Phả, Quảng Ninh đáp ứng yêu cầu đổi mới giáo dục phổ thông. | SL | 71 | 23,0 | 2 | 2,72 | 1 |
% | 74,0 | 24,0 | 2,0 | ||||
5. | Đổi mới hoạt động kiểm tra, đánh giá năng lực giáo viên THCS thành phố Cẩm Phả, Quảng Ninh đáp ứng yêu cầu đổi mới giáo dục phổ thông.đáp ứng yêu cầu đổi mới giáo dục phổ thông | SL | 60 | 29,0 | 7 | 2,55 | 5 |
% | 62,5 | 30,2 | 7,3 | ||||
6. | Động viên, khuyến khích giáo viên THCS thành phố Cẩm Phả, Quảng Ninh tự học tập, phát triển năng lực đáp ứng yêu cầu đổi mới giáo dục phổ thông | SL | 58 | 29 | 9 | 2,50 | 6 |
% | 60,4 | 30,2 | 9,4 |
Có thể bạn quan tâm!
-
Đề Xuất Các Biện Pháp Quản Lý Phát Triển Năng Lực Cho Giáo Viên Các Trường Trung Học Cơ Sở Thành Phố Cẩm Phả, Quảng Ninh Đáp Ứng Yêu Cầu Đổi -
Biện Pháp 3: Tổ Chức, Triển Khai Có Hiệu Quả Kế Hoạch Phát Triển Năng Lực Cho Giáo Viên Thcs Thành Phố Cẩm Phả, Quảng Ninh Đáp Ứng Yêu Cầu Đổi -
Biện Pháp Thứ 6: Động Viên, Khuyến Khích Giáo Viên Thcs Thành Phố Cẩm Phả, Quảng Ninh Tự Học Tập, Phát Triển Năng Lực Đáp Ứng Yêu Cầu Đổi Mới -
Quản lý phát triển năng lực giáo viên ở các trường trung học cơ sở thành phố Cẩm Phả, Quảng Ninh đáp ứng yêu cầu đổi mới giáo dục phổ thông - 14 -
Quản lý phát triển năng lực giáo viên ở các trường trung học cơ sở thành phố Cẩm Phả, Quảng Ninh đáp ứng yêu cầu đổi mới giáo dục phổ thông - 15 -
Quản lý phát triển năng lực giáo viên ở các trường trung học cơ sở thành phố Cẩm Phả, Quảng Ninh đáp ứng yêu cầu đổi mới giáo dục phổ thông - 16
Xem toàn bộ 135 trang tài liệu này.

Kết quả khảo nghiệm cũng cho thấy các biện pháp luận văn đưa ra có tính khả thi với kết quả tương đối cao, số điểm trung bình của các biện pháp về tính khả thi đều đạt từ 2,50 điểm trở lên. Sở dĩ như vậy vì các biện pháp đưa ra phù hợp với quyết tâm của lãnh đạo các cấp trong ngành giáo dục của thành phố Cẩm Phả, Quảng Ninh
và cán bộ quản lý, giáo viên ở từng trường THCS ở của thành phố Cẩm Phả, Quảng Ninh và phù hợp với đặc điểm, yêu cầu đổi mới căn bản và toàn diện công tác quản lý giáo dục của nhà trường trong tình hình mới.
Trong các biện pháp mà tác giả đưa ra thì biện pháp sẽ được ưu tiên về tính khả thi trong quá trình thực hiện sẽ là 4, 2, 3, 1, 5, 6, việc thực hiện ấy nhằm giải quyết một số vấn đề cần thiết hiện nay về quản lý phát triển năng lực cho giáo viên THCS thành phố Cẩm Phả, Quảng Ninh đáp ứng yêu cầu đổi mới giáo dục phổ thông hiện nay theo quy định của Bộ Giáo dục và Đào tạo, nhằm giải quyết vấn đề hiện nay của giáo viên chưa đạt chuẩn về năng lực dạy học ở các trường THCS của thành phố; mặt khác, chủ thể quản lý và từng giáo viên là những nhân tố cơ bản nhất trong việc lập, thực hiện kế hoạch bồi dưỡng và tự phát triển năng lực cũng như gửi đi đào tạo, bồi dưỡng nâng cao năng lực cho giáo viên, tạo động lực thúc đẩy cho quá trình quản lý phát triển năng lực cho giáo viên đạt hiệu quả mong muốn.
Tuy nhiên, biện pháp 2, 4 còn 2 ý kiến, biện pháp 3 còn 3 ý kiến, biện pháp 5 và biện pháp 1 còn 7 ý kiến, biện pháp 6 còn 9 ý kiến cho rằng các biện pháp đó không khả thi. Kết quả tìm hiểu cho thấy, số người cho rằng các biện pháp không có tính khả thi là do công tác phát triển năng lực cho giáo viên hiện nay còn chịu sự tác động của những bất cập về quy chế, quy định liên quan; sự phối hợp trong quản lý của các lực lượng trong nhà trường, cơ quan chức năng cấp trên chưa nhịp nhàng, ăn khớp với nhau. Bên cạnh đó, các cấp quản lý giáo dục, không thể cùng lúc giải quyết được ngay những yêu cầu đặt ra trong phát triển năng lực cho giáo viên THCS đáp ứng yêu cầu đổi mới giáo dục phổ thông. Điều đó là đúng nhưng nếu có sự nỗ lực cao của các lực lượng quản lý, sự nỗ lực vươn lên của mỗi giáo viên thì những biện pháp quản lý phát triển năng lực cho giáo viên THCS thành phố Cẩm Phả, Quảng Ninh đáp ứng yêu cầu đổi mới giáo dục phổ thông mà luận văn nêu ra hoàn toàn có tính khả thi trong thực tiễn.
Kết quả khảo nghiệm ý kiến của cán bộ quản lý, giáo viên cho thấy những biện pháp luận văn đề ra có tính khả thi, được xếp theo thứ tự ưu tiên là biện pháp 4, 2, 3, 1, 5, 6 (biểu đồ 3.2).
2.5
2
Rất khả thi Khả thi
Không khả thi
1.5
![]()
1
0.5
0
BP1 BP2 BP3 BP4 BP5 BP6
Biểu đồ 3.2. Tính khả thi của các biện pháp
* Đánh giá về sự tương quan giữa tính cần thiết và mức độ khả thi của các biện pháp đã đề xuất
Đại đa số ý kiến được hỏi đều cho rằng, các trường THCS thành phố Cẩm Phả, Quảng Ninh và cơ quan chức năng của ngành giáo dục thành phố Cẩm Phả có đủ các điều kiện cần thiết về cơ chế chính sách và các nguồn lực (nhất là nguồn nhân lực) để thực hiện có hiệu quả những biện pháp luận văn đã đề xuất. Tuy nhiên, thực tế ở các trường THCS thành phố Cẩm Phả, Quảng Ninh hiện nay thì cơ chế, điều kiện để thực hiện việc quản lý phát triển năng lực đáp ứng yêu cầu đổi mới giáo dục phổ thông cho giáo viên THCS hiện nay cần phải được chuẩn bị một cách chu đáo và cụ thể hóa hơn nữa thông qua các văn bản quy phạm pháp quy của ngành giáo dục và cơ quan có liên quan trong thành phố và tỉnh mới đáp ứng được yêu cầu nâng cao hiệu quả quản lý phát triển năng lực cho giáo viên THCS thành phố Cẩm Phả, Quảng Ninh đáp ứng yêu cầu đổi mới giáo dục phổ thông hiện nay và những năm tiếp theo.
Bảng 3.3. Tương quan giữa tính cần thiết và tính khả thi của các biện pháp
Tên biện pháp | Tính cấp thiết | Tính khả thi | D2 | |||||
Tổng điểm | ĐTB | Thứ bậc | Tổng điểm | ĐTB | Thứ bậc | |||
1. | Nâng cao nhận thức của CBQL,GV, các lực lượng liên quan về phát triển năng lực GV THCS thành phố Cẩm Phả, Quảng Ninh đáp ứng yêu cầu đổi mới giáo dục phổ thông. | 258 | 2,69 | 4 | 247 | 2,57 | 4 | 0 |
2. | Xây dựng kế hoạch phát triển năng lực cho giáo viên THCS thành phố Cẩm Phả, Quảng Ninh đáp ứng yêu cầu đổi mới giáo dục phổ thông. | 260 | 2,71 | 3 | 260 | 2,71 | 2 | 1 |
3. | Tổ chức, triển khai có hiệu quả kế hoạch phát triển năng lực cho giáo viên THCS thành phố Cẩm Phả, Quảng Ninh đáp ứng yêu cầu đổi mới giáo dục phổ thông. | 264 | 2,75 | 1 | 259 | 2,70 | 3 | 2 |
4. | Đảm bảo các nguồn lực cho hoạt động phát triển năng lực giáo viên THCS thành phố Cẩm Phả, Quảng Ninh đáp ứng yêu cầu đổi mới giáo dục phổ thông. | 262 | 2,73 | 2 | 261 | 2,72 | 1 | 1 |
5. | Đổi mới hoạt động kiểm tra, đánh giá năng lực giáo viên THCS thành phố Cẩm Phả, Quảng Ninh đáp ứng yêu cầu đổi mới giáo dục phổ thông.đáp ứng yêu cầu đổi mới giáo dục phổ thông | 253 | 2,64 | 6 | 245 | 2,55 | 5 | 1 |
6. | Động viên, khuyến khích giáo viên THCS thành phố Cẩm Phả, Quảng Ninh tự học tập, phát triển năng lực đáp ứng yêu cầu đổi mới giáo dục phổ thông | 256 | 2,67 | 5 | 241 | 2,50 | 6 | 1 |
Nghiên cứu kết quả khảo nghiệm về sự tương quan giữa tính cần thiết và tính khả thi của các biện pháp có thể khẳng định, mặc dù có số ít ý kiến trái chiều trong nhận định, đánh giá tình hình, song các biện pháp luận văn đã xây dựng có cơ sở khoa học cả về lý luận và thực tiễn, các biện pháp đều có tính cần thiết và tính khả thi, theo thứ tự ưu tiên biện pháp 2, 4, 3, 1, 5 và 6. Chất lượng, hiệu quả thực hiện các biện pháp phụ thuộc vào sự nỗ lực cao của các chủ thể quản lý nhà trường và các cơ quan chức năng của phòng giáo dục và đào tạo và sự nỗ lực cố gắng của chính đội ngũ giáo viên THCS thành phố Cẩm Phả, Quảng Ninh.
Biểu đồ 3.3. Tương quan giữa tính cần thiết và tính khả thi
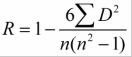
Để so sánh sự tương quan giữa tính cần thiết và tính khả thi của các biện pháp, tác giả sử dụng công thức tính hệ số tương quan thứ bậc Spearman:

Trong công thức trên: R: là hệ số tương quan
N: là số biện pháp đề xuất
D: là hệ số chênh lệch giữa thứ bậc của mức độ cần thiết và mức độ khả thi (D được tính bằng hiệu số mi - ni)
Sau khi thay số và tính nếu:
0 < R < 1 (R dương): tính cần thiết và tính khả thi có tương quan thuận, nghĩa là biện pháp vừa cần thiết vừa khả thi.
Trường hợp R dương và có giá trị càng lớn (nhưng không bao giờ lớn hơn 1) thì tương quan giữa chúng càng chặt chẽ (nghĩa là các biện pháp vừa cần thiết vừa khả thi).
0 > R: Tính cần thiết và tính khả thi có tương quan nghịch nghĩa là các biện pháp có tính cần thiết nhưng không khả thi hoặc ngược lại.
Thay số vào công thức trên có:
R 1 6(0 1 4 111)
6(62 1)
=>R 1 48
210
=>R = 1 - 0,23=>R = 0,77
Dựa vào kết quả R = 0,77 có thể kết luận mức độ cần thiết và khả thi của các biện pháp có tương quan thuận và quan hệ rất chặt chẽ, nghĩa là các biện pháp vừa cần thiết lại vừa khả thi cao.
Kết luận chương 3
Để quản lý phát triển năng lực cho giáo viên THCS ở thành phố Cẩm Phả, Quảng Ninh phải thực hiện các biện pháp nâng cao nhận thức, ý thức trách nhiệm cho các chủ thể quản lý; xây dựng kế hoạch khoa học, hợp lý, khả thi, tổ chức triển khai, thực hiện tốt các hoạt động giáo dục, đào tạo bồi dưỡng, đảm bảo các nguồn lực cho hoạt động phát triển năng lực giáo viên; động viên, khuyến khích giáo viên THCS thành phố Cẩm Phả, Quảng Ninh tự học tập, phát triển năng lực đáp ứng yêu cầu đổi mới giáo dục phổ thông. Các biện pháp là một thể thống nhất, quan hệ chặt chẽ với nhau, tác động qua lại lẫn nhau, hỗ trợ cho nhau cùng hướng vào thực hiện tốt quản lý phát triển năng lực cho giáo viên THCS ở thành phố Cẩm Phả, Quảng Ninh hiện nay.
Kết quả khảo nghiệm tính cần thiết và tính khả thi của các biện pháp quản lý phát triển năng lực cho giáo viên các trường THCS thành phố Cẩm Phả, Quảng Ninh đáp ứng yêu cầu đổi mới giáo dục phổ thông đã cho thấy các biện pháp được đề xuất là rất cần thiết và có tính khả thi cao.
Để công tác quản lý phát triển năng lực cho giáo viên THCS ở thành phố Cẩm Phả, Quảng Ninh, đạt hiệu quả và chất lượng đòi hỏi các chủ thể quản lý phải biết vận dụng linh hoạt các biện pháp cho phù hợp với từng thời điểm, phù hợp với tình hình, điều kiện thực tế, phát huy quyền chủ động, sáng tạo của giáo viên và sự kết hợp của các yếu tố, các thành viên tham gia vào công tác quản lý phát triển năng lực cho giáo viên các trường THCS thành phố Cẩm Phả, Quảng Ninh đáp ứng yêu cầu đổi mới giáo dục phổ thông hiện nay.
KẾT LUẬN VÀ KIẾN NGHỊ
1. Kết luận
Ðội ngũ giáo viên là nhân tố quyết định chất lượng giáo dục. Phát triển đội ngũ giáo viên THCS nói chung và phát triển năng lực giáo viên THCS ở thành phố Cẩm Phả nói riêng là yêu cầu quan trọng và cần thiết để đào tạo nguồn nhân lực có chất lượng, góp phần phục vụ nhiệm vụ phát triển kinh tế - xã hội của địa phương và của đất nước.
Từ kết quả nghiên cứu đề tài “Quản lý phát triển năng lực giáo viên ở các trường THCS thành phố Cẩm Phả, Quảng Ninh”, tôi rút ra một số kết luận sau:
1.1. Phát triển năng lực cho giáo viên các trường trung học cơ sở là công việc hết sức cần thiết, góp phần nâng cao trình độ chuyên môn, nghiệp vụ cho giáo viên vì giáo viên là nhân tố hàng đầu quyết định chất lượng giáo dục. Ngày nay, trong thời kỳ công nghiệp hoá hiện đại hoá đất nước, hội nhập quốc tế và xu thế đổi mới giáo dục đang đặt ra những yêu cầu ngày càng cao về phẩm chất, năng lực, trình độ chuyên môn, nghiệp vụ của người giáo viên nói chung, giáo viên trung học cơ sở nói riêng. Chính vì vậy, quản lý phát triển năng lực cho giáo viên trung học cơ sở luôn được quan tâm đúng mức để đáp ứng yêu cầu về chất lượng ngày càng cao của đội ngũ giáo viên trong giai đoạn hiện nay. Quản lý phát triển năng lực cho giáo viên trung học cơ sở, chắc chắn giúp đội ngũ giáo viên có một trình độ chuyên môn, nghiệp vụ tốt và tự tin hơn trong công việc của mình.
1.2. Qua khảo sát thực trạng quản lý phát triển năng lực cho giáo viên các trường trung học cơ sở thành phố Cẩm Phả, Quảng Ninh hiện nay, cho thấy việc quản lý phát triển năng lực cho giáo viên trung học cơ sở thời gian qua đã đạt được một số thành tựu nhất định. Kết quả khảo sát cũng phản ánh những hạn chế trong công tác quản lý phát triển năng lực cho giáo viên THCS, đó là chưa quan tâm đầy đủ đến đối tượng tham gia phát triển năng lực là đội ngũ giáo viên, chưa tiến hành khảo sát, tìm hiểu nhu cầu, nguyện vọng phát triển năng lực của giáo viên, cũng như chưa xác lập được mục tiêu rõ ràng, cụ thể. Nội dung phát triển năng lực cho giáo viên chưa đáp ứng được nhu cầu, mong đợi của giáo viên. Các phương pháp, hình thức tổ chức phát triển năng lực cho giáo viên THCS chưa khoa học, chưa đáp ứng được yêu cầu đáp ứng đổi mới giáo dục phổ thông cho giáo viên các trường THCS thành phố Cẩm Phả,
Quảng Ninh. Công tác tổ chức, chỉ đạo phát triển năng lực cho giáo viên các trường THCS trong thời gian qua chưa thật sự thường xuyên và chưa mang lại hiệu quả cao. Việc thiết lập mục tiêu, kế hoạch, nội dung chương trình phát triển năng lực cho giáo viên THCS chỉ mang tính một chiều từ Bộ, Sở, Phòng Giáo dục và Đào tạo mà chưa bám sát vào nhu cầu của giáo viên. Chưa xây dựng được chính sách, chế độ khen thưởng phù hợp để động viên, khích lệ những giáo viên tham gia phát triển năng lực. Chưa có văn bản pháp quy nào quy định cụ thể các hình thức xử lý đối với những giáo viên không đạt yêu cầu sau các đợt bồi dưỡng chuyên môn nghiệp vụ nói chung, phát triển năng lực nói riêng.
1.3. Để quản lý tốt phát triển năng lực cho giáo viên, người quản lý cần sử dụng đồng bộ các biện pháp quản lý nhằm nâng cao hoạt động phát triển năng lực cho giáo viên: Nâng cao nhận thức của CBQL,GV, các lực lượng liên quan về phát triển năng lực GV; Xây dựng kế hoạch phát triển năng lực cho giáo viên; Tổ chức, triển khai có hiệu quả kế hoạch phát triển năng lực cho giáo viên; Đảm bảo các nguồn lực cho hoạt động phát triển năng lực giáo viên; Đổi mới hoạt động kiểm tra, đánh giá năng lực giáo viên; Động viên, khuyến khích giáo viên THCS thành phố Cẩm Phả, Quảng Ninh tự học tập, phát triển năng lực đáp ứng yêu cầu đổi mới giáo dục phổ thông.
Thường xuyên kiểm tra, đánh giá kết phát triển năng lực bằng nhiều biện pháp, hình thức khác nhau.
Các biện pháp đã được khảo nghiệm và chứng minh được sự cần thiết và khả thi trong thực hiện phát triển năng lực cho giáo viên THCS thành phố Cẩm Phả, Quảng Ninh hiện nay.
2. Kiến nghị
Để nâng cao chất lượng quản lý phát triển năng lực cho giáo viên các trường trung học cơ sở thành phố Cẩm Phả, Quảng Ninh những năm tiếp theo, tác giả có một số kiến nghị như sau:
Thứ nhất, đối với Phòng Giáo dục và Đào tạo thành phố Cẩm Phả, Quảng Ninh Cần tập hợp đội ngũ cán bộ giáo dục, chuyên viên có trình độ chuyên môn phụ
trách, tiến hành việc thực hiện nhiệm vụ bồi dưỡng phát triển năng lực thường xuyên và hiểu biết sâu sắc về nghiệp vụ để giải quyết những thắc mắc của giáo viên trong thời gian thực hiện hoạt động phát triển năng lực. Liên hệ với các cơ sở đào tạo cán bộ quản lý giáo dục, các trường sư phạm trong và ngoài tỉnh Quảng Ninh để triển khai các hoạt động phát triển năng lực tại các trường trung học cơ sở. Đôn đốc, kiểm






