Tiểu cầu giảm ≤ 100G/l.
HCT tăng từ 20% trở lên so với bình thường hoặc có bằng chứng tăng tính thấm thành mạch rõ.
Chẩn đoán xác định bằng xét nghiệm huyết thanh học: Sử dụng kỹ
thuật ELISA phát hiện trực tiếp kháng nguyên NS1 của virus Dengue.
Kháng thể
đặc hiệu kháng DENVIgM được phát hiện bằng kỹ
thuật
MACELISA. Trong trường hợp bệnh nhân DENVNS1 âm tính, có DENV IgM dương tính kết hợp với triệu chứng lâm sàng điển hình của sốt xuất huyết và sống trong vùng đang có dịch SXHD lưu hành sẽ vẫn được chọn vào đối tượng nghiên cứu.
* Dịch tễ
Dịch xảy ra vào mùa mưa, nóng, ở địa phương có dịch SXHD lưu hành.
Có thể bạn quan tâm!
-
Nghiên cứu tính đa hình gen MBL2, FCN2 và nồng độ protein MBL, Ficolin-2 ở bệnh nhân sốt xuất huyết Dengue - 5 -
Chức Năng Của Protein Ficolin2 Gắn Với Carbohydrate -
Vai Trò Của Mbl, Ficolin2 Và Tính Đa Hình Gen Mbl2, Fcn2 Trong Sốt Xuất Huyết Dengue -
Xác Định Nồng Độ Ficolins2 Và Mbl Trong Huyết Thanh -
Một Số Đặc Điểm Nhóm Bệnh Nhân Sốt Xuất Huyết Dengue -
Tính Đa Hình Gen Fcn2 Ởcác Nhóm Đối Tượng Nghiên Cứu
Xem toàn bộ 189 trang tài liệu này.
2.1.2.2. Chẩn đoán mức độ SXHD
Theo tiêu chuẩn của Bộ Y tế Việt Nam năm 2011 .
Lâm sàng: sốt cao đột ngột liên tục từ 2 7 ngày, biểu hiện xuất huyết, nhức đầu, chán ăn, buồn nôn, da xung huyết, phát ban, đau cơ, đau khớp, nhức hai hốc mắt.
Cận lâm sàng: HCT bình thường (không có biểu hiện cô máu) hoặc
tăng, số
lượng tiểu cầu bình thường hoặc giảm, số
lượng bạch cầu
thường giảm.
* Sốt xuất huyết Dengue có dấu hiệu cảnh báo
Bao gồm các triệu chứng lâm sàng của SXHD, kèm theo các dấu hiệu cảnh báo:
Vật vã, lừ đừ, li bì.
Đau bụng vùng gan hoặc ấn đau vùng gan.
Gan to > 2cm dưới bờ sườn.
Nôn nhiều.
Xuất huyết niêm mạc.
Tiểu ít.
Xét nghiệm máu: HCT tăng cao, tiểu cầu giảm nhanh chóng.
* Sốt xuất huyết Dengue nặng: xảy ra khi người bệnh có một trong các biểu hiện sau:
Sốc sốt xuất huyết Dengue: suy tuần hoàn cấp thường xảy ra vào ngày thứ 37 của bệnh, có các triệu chứng như vật vã, bứt rứt hoặc li bì, lạnh đầu chi, da lạnh ẩm, mạch nhanh nhỏ, huyết áp kẹt hoặc tụt huyết áp hoặc không đo được huyết áp, tiểu ít.
Xuất huyết nặng: chảy máu cam nặng, rong kinh nặng, xuất huyết trong cơ và phần mềm, xuất huyết đường tiêu hóa và nội tạng, thường kèm theo tình trạng sốc nặng, giảm tiểu cầu, thiếu oxy mô và toan chuyển hóa có thể dẫn đến suy đa phủ tạng và đông máu nội mạch nặng.
Suy tạng nặng: có thể gặp suy gan cấp (enzym gan GOT, GPT ≥
1000 U/L), suy thận cấp, rối loạn tri giác (sốt xuất huyết thể não), viêm cơ tim, suy tim, hoặc suy chức năng các cơ quan khác…
2.1.3. Tiêu chuẩn loại trừ
Bệnh nhân mắc các bệnh mạn tính:
+ Các bệnh về máu như thiếu máu, bệnh máu ác tính.
+ Các bệnh bẩm sinh.
+ Các bệnh có thể gây xuất huyết như: xuất huyết do giảm tiểu
cầu, bệnh Hemophili, loét dạ
dày, sỏi tiết niệu, ung thư
thận, các bệnh
rong kinh ở phụ nữ, bệnh về gan….
Bệnh nhân được chẩn đoán xác định là sốt xuất huyết nhưng có bội nhiễm hoặc các bệnh nhiễm trùng kèm theo.
Các bệnh nhân không đồng ý tham gia nghiên cứu.
Dengue
2.2. Phương pháp nghiên cứu
2.2.1. Thiết kế nghiên cứu
Phương pháp nghiên cứu: Mô tả cắt ngang, có đối chứng so sánh.

Sơ đồ nghiên cứu
2.2.2. Cách chọn mẫu
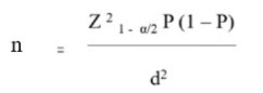
Tính cỡ mẫu dựa trên công thức ước lượng một tỷ lệ:

Trong đó:
Z: là trị số tùy thuộc vào mức độ tin cậy mong muốn của ước lượng, mức tin cậy mong muốn là 95%, α = 0,05, tra bảng ta có Z = 1,96.
P: là tần suất xuất hiện của alen hiếm, trong các điểm đa hình trên gen MBL2 và FCN2 chọn điểm đa hình 4A>G trên vùng promoter gen FCN2 có tần suất xuất hiện alen hiếm G thấp nhất với p = 0,06 , .
d: độ chính xác tuyệt đối mong muốn (confident limit around the point estimate), thường lấy = 0.05 (5%)
Thay vào công thức tính được n = 87, trong nghiên cứu này chúng tôi lấy cỡ mẫu là 279 mẫu bệnh và 200 mẫu chứng. Phương pháp chọn mẫu thuận tiện, ngẫu nhiên 279 bệnh nhân mắc sốt xuất huyết Dengue đủ tiêu
chuẩn tham gia nghiên cứu và khỏe mạnh làm nhóm chứng.
200 đối tượng là những người hiến máu
2.2.3. Các phương tiện nghiên cứu
Bộ kit ELISA Human Ficolin2 mã HK33602 của nhà sản xuất
Hycult Biotech để định lượng protein Ficolin2 (Hình 2.2).
Bộ kit Human Complement Magnetic Bead Panel 1 mã
HCMP1MAG19K của nhà sản xuất Merck để (Hình 2.4).
định lượng protein MBL
Bộ kit QIAamp DNA whole blood mini kit của nhà sản xuất
QIAGEN để tách chiết ADN từ máu toàn phần.
MasterMix mã K0171 sản xuất bởi Thermo Scientific và các cặp
mồi nhân gen cho phản ứng nhân gen FCN2 và MBL2.
Máy đo mật độ quang ở bước sóng 450 nm sản xuất bởi Diagnostic Automation, Inc để định lượng Ficolin2.
Hệ
thống Luminex® 100/200™ và phần mềm phân tích
EMD
Millipore’s MILLIPLEX® MAP sản xuất bởi tập đoàn LUMINEX để lượng MBL huyết thanh (Hình 2.1; Hình 2.3).
định
Máy ly tâm cao tốc, máy PCR: tách chiết ADN, nhân gen đặc hiệu
FCN2 và MBL2, tinh sạch sản phẩm PCR .
Máy giải trình tự Sanger: giải trình tự gen định tính đa hình.
FCN2 và MBL2 để xác
Các phần mềm tin sinh học để phân tích trình tự và kiểu gen đơn
bội.
2.2.4. Các bước tiến hành
Các bệnh nhân nhập viện điều trị SXHD tại Khoa Truyền nhiễm, Bệnh viện Quân Y 103 từ tháng 11 năm 2017 đến tháng 1 năm 2018, có đủ tiêu chuẩn tham gia nghiên cứu được thu thập vào nhóm bệnh. Nhóm đối chứng gồm những người hiến máu khỏe mạnh được thu thập vào mùa dịch SXHD tháng 8 năm 2018.
Thu thập các số liệu nhân chủng học, dịch tễ học, mức độ bệnh và
các chỉ số lâm sàng, cận lâm sàng của bệnh nhân sốt xuất huyết Dengue từ nguồn bệnh án điều trị.
Thu thập các mẫu máu của các bệnh nhân sốt xuất huyết Dengue
tại thời điểm nhập viện và người hiến máu khỏe mạnh đồng ý tham gia
nghiên cứu tại thời điểm hiến máu. Các mẫu máu thu thập được ly tâm
ngay sau khi thu thập ở tốc độ 2000 vòng/phút trong 5 phút để tách huyết
tương. Huyết tương và huyết cầu sau khi tách được bảo quản trong tủ
o
lạnh 80 C cho tới khi sử dụng.
Định lượng MBL, Ficolin2 trong các mẫu huyết tương.
Giải trình tự gen MBL2; FCN2 các mẫu nhóm bệnh và nhóm chứng.
Phân tích tính đa hình gen MBL2; FCN2 ở các nhóm nghiên cứu.
Phân tích mối liên quan giữa nồng độ MBL, Ficolins2 với mức độ bệnh và một số chỉ số lâm sàng, cận lâm sàng.
Phân tích mối liên quan giữa các điểm đa hình gen FCN2 và MBL2
với với mức độ bệnh và một số chỉ số lâm sàng, cận lâm sàng.
Kết luận.
2.3. Nội dung nghiên cứu
2.3.1. Chỉ tiêu về dịch tễ
Tìm hiểu một số yếu tố dịch tễ có liên quan đến bệnh sốt xuất huyết Dengue để khái quát lên mô hình bệnh tật trong nghiên cứu, trong đó chú ý đến các yếu tố sau:
Tuổi: độ tuổi cao nhất, thấp nhất, tuổi trung bình.
Giới: Nam, Nữ.
Ngày khởi phát tại thời điểm thu thập mẫu máu (thời điểm nhập viện): Tính thời gian từ ngày xuất hiện triệu chứng đến ngày thu thập mẫu máu (ngày nhập viện).
2.3.2. Chỉ tiêu về lâm sàng, cận lâm sàng
Các bệnh nhân có đủ các tiêu chuẩn nghiên cứu được khám hàng
ngày và theo dõi các triệu chứng và xét nghiệm cận lâm sàng sau:
* Các dấu hiệu xuất huyết:
+ Nghiệm pháp dây thắt dương tính
+ Xuất huyết tự nhiên (XHTN)
* Công thức máu: Được tiến hành tại khoa Huyết học, Bệnh viện Quân y 103, trên máy huyết học tự động (XN 1000). Các chỉ số bình thường dựa vào “Các chỉ số huyết học người Việt Nam giai đoạn 1995 2000” của Đỗ Trung Phấn . Lấy kết quả xét nghiệm từ mẫu máu cùng thời gian lấy mẫu định lượng MBL và Ficolin2.
Kết quả công thức máu được ghi chép cùng ngày với ngày lấy mẫu làm xét nghiệm định lượng MBL và Ficolin2, hoặc ngày gần nhất có làm xét nghiệm công thức máu.
+ Số lượng hồng cầu: Chia ra các mức độ:
Bình thường: Nam 4,35,8 T/l, Nữ 3,95,4 T/l






