2.3 THỜI GIAN VÀ ĐỊA ĐIỂM NGHIÊN CỨU
Nghiên cứu tiến hành lấy số liệu từ hồ sơ bệnh án nhập viện phẫu thuật từ tháng 01/2008 đến tháng 12/2019, tại khoa Ngoại Tiết niệu bệnh viện Chợ Rẫy.
2.4 CỠ MẪU CỦA NGHIÊN CỨU
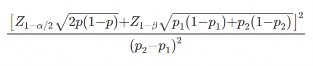
- Cỡ mẫu được tính theo công thức: n cho mỗi nhóm (có chức năng và không chức năng)

Trong đó:
p2 = p1 x RR và p = (p1 + p2)/2
- Với sai lầm loại 1 là = 0,05 ta có: Z2α = 1,96
- Với sai lầm loại 2 là β = 0,1 ta có: Z2β = 1,28
- p1: tỉ lệ biến chứng theo y văn, nghiên cứu của Tiberio PT cắt bướu TTT có tỉ lệ biến chứng cho nhóm bướu không chức năng là 8% 79 và Thompson 80 nguy cơ biến chứng cho nhóm bướu có chức năng là 2,32 (RR = 2,32).
- p2 = 0,08 x 2,32 = 0,19 và p = (0,08 + 0,19)/2 = 0,13
- Thay vào công thức tính cỡ mẫu cho mỗi nhóm:
![]()
- Vậy cỡ mẫu tối thiểu cho nghiên cứu là N= 215 + 215 = 430
2.5 XÁC ĐỊNH CÁC BIẾN SỐ ĐỘC LẬP VÀ PHỤ THUỘC
Các biến số nghiên cứu và định nghĩa các biến số nghiên cứu:
1) Tuổi: tuổi bệnh nhân tại thời điểm phẫu thuật. Đơn vị tính là năm. Biến số độc lập, biến liên tục.
2) Giới: giới tính bệnh nhân. Biến nhị giá gồm 2 giá trị nam, nữ.
3) Vị trí bướu: bên có bướu TTT phát hiện tình cờ, có 3 giá trị (trái, phải, hai bên). Biến định danh, biến số độc lập.
4) Vị trí bướu phẫu thuật: bên có bướu TTT được phẫu thuật, có 2 giá trị (trái, phải). Biến nhị giá, biến số độc lập.
5) Kích thước bướu: đường kính lớn nhất của bướu đo được qua chụp cắt lớp vi tính hoặc chụp cộng hưởng từ. Đơn vị tính: cm. Biến số độc lập, biến liên tục.
6) Giá trị nội tiết tố TTT trước phẫu thuật và sau phẫu thuật (bướu chức năng): định lượng giá trị các xét nghiệm: catecholamines huyết tương (pg/mL, bình thường < 825), catecholamines trong nước tiểu 24 giờ (microgram/24giờ, bình thường < 710), cortisol huyết tương (ng/mL, bình thường lúc sáng 50 - 230, chiều 30
- 150), cortisol trong nước tiểu 24 giờ (microgram/24giờ, bình thường 50-190), aldosterone huyết tương (ng/dL, bình thường tư thế ngồi 76 - 23,2, đứng 2,52 - 39,2
), dehydroepi androsterone sulfate (DHEA-S) (microgram/dL, bình thường ở nam 1,8
- 12,5; ở nữ 1,3 – 9,8) huyết tương, ACTH huyết tương (pg/mL, bình thường 7,9 - 66,1), renin trực tiếp huyết tương (mcrIU/mL, tư thế đứng 4,4-46,1, nằm 2,9 - 39,9), Kali máu (mmol/L, bình thường 3,5 - 5,5). Biến liên tục, biến số độc lập. Phân tích thêm dạng biến nhị giá: có và không (có tăng và không tăng so với giá trị giới hạn trên bình thường của xét nghiệm).
7) Phương pháp phẫu thuật: PT nội soi qua phúc mạc, PT nội soi sau phúc mạc và PT mở. Biến định danh, có 3 giá trị (PT nội soi qua phúc mạc, PT nội soi sau phúc mạc và PT mở). Biến số phụ thuộc.
8) Chuyển đổi kỹ thuật phẫu thuật: chuyển đổi kỹ thuật từ PT nội soi (qua phúc mạc hoặc sau phúc mạc) sang PT mở. Biến nhị giá, có 2 giá trị (có/không).
9) Lượng máu mất: thể tích máu mất đi trong thời gian phẫu thuật, được tính bằng tổng thể tích máu hút ra lúc phẫu thuật và cân gạc thấm máu. Đơn vị tính: ml. Biến số phụ thuộc, biến liên tục.
10) Lượng máu phải truyền khi phẫu thuật: thể tích máu được truyền vào bệnh nhân trong thời gian phẫu thuật. Đơn vị tính: mL. Biến số phụ thuộc, biến liên tục.
11) Thời gian phẫu thuật: khoảng thời gian tính từ lúc phẫu thuật viên bắt đầu rạch da đến khi kết thúc khâu da. Đơn vị tính: phút. Biến số phụ thuộc, biến liên tục.
12) Thời gian đặt dẫn lưu: khoảng thời gian tính từ lúc phẫu thuật viên đặt ống dẫn lưu đến lúc rút ống dẫn lưu. Đơn vị tính: ngày. Biến số phụ thuộc, biến liên tục.
13) Thời gian hậu phẫu: khoảng thời gian tính từ ngày phẫu thuật đến ngày cho bệnh nhân xuất viện. Ngày thực hiện phẫu thuật được tính là ngày hậu phẫu 0, ngày tiếp theo sau ngày phẫu thuật là ngày hậu phẫu 1. Đơn vị tính: ngày. Biến số phụ thuộc, biến liên tục.
14) Biến chứng trong phẫu thuật: được định nghĩa là tình trạng làm tổn thương cấu trúc, tạng hay mạch máu không mong muốn trong quá trình thực hiện phẫu thuật, biến định tính. Chảy máu trong phẫu thuật khi lượng máu mất >500 mL nhưng không có biến chứng tổn thương mạch máu khác như: tĩnh mạch và động mạch. Phân tích thêm dạng biến nhị giá (có/không). Biến số phụ thuộc.
15) Biến chứng sau phẫu thuật: biến chứng xảy ra sau khi kết thúc thời gian phẫu thuật và trong thời gian 30 ngày sau phẫu thuật, là biến định tính, được xác định là tình trạng bệnh liên quan đến phẫu thuật như: chảy máu sau phẫu thuật, nhiễm khuẩn vết mổ, thoát vị lỗ trocar, biến chứng các cơ quan hô hấp, tim mạch, nội tiết. Thống kê chi tiết và phân độ theo Clavien-Dindo. Phân tích thêm dạng biến nhị giá (có/không), biến phụ thuộc.
16) Biến chứng chung: là biến nhận giá trị từ biến chứng trong phẫu thuật và/hoặc biến chứng sau phẫu thuật. Biến nhị giá (có/không), biến phụ thuộc.
17) Giải phẫu bệnh: kết quả giải phẫu bệnh của bướu TTT sau phẫu thuật. Biến định danh, nhận các giá trị theo bảng phân loại giải phẫu bệnh. Biến số độc lập.
18) Chẩn đoán bệnh lý và hội chứng trước phẫu thuật: bệnh Conn, hội chứng Cushing, Cushing dưới lâm sàng, bướu sắc bào tủy TTT, ung thư vùng TTT, bướu không chức năng. Biến định danh, biến số độc lập.
19) Biến sống còn: được thể hiện bởi 2 biến số, một biến số nhị giá (có biến cố xảy ra hay không) và một biến số định lượng (thời gian xảy ra vào lúc nào, tháng) Các chỉ tiêu nghiên cứu chính:
- Xác định các hình thái lâm sàng và các loại giải phẫu bệnh của bướu.
- Xác định tỉ lệ ung thư vùng TTT theo nhóm kích thước bướu.
- Phân mẫu nghiên cứu làm 2 nhóm: nhóm A (nhóm bướu có chức năng nội tiết và hoặc ác tính trên hình ảnh học) và nhóm B (nhóm bướu không chức năng).
- Xác định tỉ lệ các biến chứng phẫu thuật, theo nhóm kích thước bướu, theo nhóm
(A) và nhóm (B), theo nhóm bệnh lý, hội chứng. Tỉ lệ biến chứng và tỉ lệ ung thư vùng TTT đối với nhóm bướu kích thước ≥3,<4 cm.
- Đánh giá kết quả điều trị phẫu thuật của các bệnh lý.
Bảng 2.1: Phân độ biến chứng sau phẫu thuật theo Clavien-Dindo
Định nghĩa | |
I | Trong quá trình hậu phẫu bình thường có bất kỳ sự sai lệch mà không cần điều trị bằng thuốc hoặc phẫu thuật, can thiệp qua nội soi và chụp phóng xạ. Phác đồ điều trị cho phép là: các loại thuốc như thuốc chống nôn, thuốc hạ sốt, thuốc giảm đau, thuốc lợi tiểu, các chất điện giải và vật lý trị liệu. Phân độ này cũng bao gồm nhiễm khuẩn vết mổ được rạch rộng tại giường bệnh. |
II | Cần điều trị bằng thuốc với các thuốc khác những thuốc được cho phép ở độ I, bao gồm truyền máu và dinh dưỡng tĩnh mạch. |
III | Yêu cần can thiệp bằng phẫu thuật, nội soi hoặc chụp phóng xạ. |
a | Can thiệp không cần gây mê. |
b | Can thiệp cần gây mê. |
IV | Biến chứng đe dọa tính mạng (bao gồm các biến chứng thần kinh trung ương: xuất huyết não, đột quỵ do thiếu máu cục bộ, xuất huyết dưới nhện, nhưng không bao gồm cơn thiếu máu cục bộ thoáng qua) được theo dõi và điều trị ở đơn vị chăm sóc tích cực. |
a | Suy chức năng một cơ quan (bao gồm chạy thận nhân tạo) |
b | Suy chức năng nhiều cơ quan. |
V | Bệnh nhân tử vong. |
Có thể bạn quan tâm!
-
Chẩn Đoán Hình Ảnh Học Của Bướu Tuyến Thượng Thận -
Tổng Quan Các Chỉ Định Điều Trị Bướu Tuyến Thượng Thận Phát Hiện Tình Cờ -
Kẹp Cắt Tm Tuyến Thượng Thận Phải Nhìn Từ Trong Phúc Mạc -
Tuổi, Giới Tính, Vị Trí Bướu Và Kích Thước Bướu -
Giải Phẫu Bệnh Theo Chức Năng Nội Tiết Tố Của Bướu -
Bệnh Phẩm Bướu Sắc Bào Tủy Ttt Ác Tính Bên Phải Và Chồi Bướu
Xem toàn bộ 169 trang tài liệu này.

Ghi chú: nếu bệnh nhân có biến chứng trong thời gian ra viện, tiếp đầu ngữ “d” được thêm vào phân độ.
“Tạm dịch từ Nguồn Clavien P. A., 2009” 81
2.6 PHƯƠNG PHÁP VÀ CÔNG CỤ ĐO LƯỜNG, THU THẬP SỐ LIỆU
Thu thập dữ liệu theo bảng thu thập số liệu (phụ lục 1).
2.6.1 Trước phẫu thuật
- Khám và đánh giá các triệu chứng cơ năng và triệu chứng thực thể liên quan đến các hội chứng và bệnh lý gây ra do bướu TTT.
- Đặc điểm của mẫu nghiên cứu: tuổi, giới, vị trí bướu, triệu chứng lâm sàng, kích thước bướu, giá trị nội tiết tố.
- Thực hiện theo sơ đồ quy trình chọn mẫu nghiên cứu (Biểu đồ 2.1).
Bảng 2.2: Phân loại giai đoạn ung thư biểu mô vỏ TTT theo hệ thống TNM
Tx | Bướu không thể đánh giá được |
T0 | Không có chứng cứ của bướu nguyên phát |
T1 | Bướu kích thước ≤ 5 cm, không xâm lấn ra ngoài TTT |
T2 | Bướu kích thước > 5 cm, không xâm lấn ra ngoài TTT |
T3 | Bướu xâm lấn tại chỗ, không xâm lấn cơ quan lân cận* |
T4 | Bướu xâm lấn cơ quan lân cận |
Hạch vùng (N) | |
Nx | Hạch vùng hông thể đánh giá được |
N0 | Không di căn hạch vùng |
N1 | Di căn hạch vùng |
Di căn xa (M) | |
M0 | Không di căn xa |
M1 | Di căn xa |
Ghi chú: (*): cơ quan lân cận bao gồm: thận, cơ hoành, mạch máu lớn, tụy, lách và gan.
“Nguồn: Lughezzani G., Sun M., 2010” 82
Bảng 2.3: Phân loại giai đoạn ung thư biểu mô vỏ TTT theo ENSAT
ENSAT 2008 | |
I | T1, N0, M0 |
II | T2, N0, M0 |
III | T1-4, N1, M0 |
IV | T1-4, N0-1, M1 |
“Nguồn: Lughezzani G., Sun M., 2010” 82
2.6.2 Phương pháp phẫu thuật
Quy trình phẫu thuật tại khoa Ngoại Tiết niệu bệnh viện Chợ Rẫy được xây dựng từ năm 2004. 20,71
Chỉ định phương pháp phẫu thuật bướu TTT phát hiện tình cờ: 71
- Phẫu thuật nội soi cắt bướu TTT: chọn những TH bướu TTT lành tính và có kích thước ≤ 6 cm.
- Phẫu thuật mở cắt bướu TTT: chọn những TH bướu TTT nghi ngờ ác tính hoặc bướu giới hạn không rõ với các cơ quan xung quanh hoặc bướu TTT có kích thước
> 6 cm hoặc những TH có vết mổ cũ vùng sau phúc mạc cùng bên với bên có bướu TTT. Bướu TTT có kích thước từ 6 – 10 cm: không nghi ngờ ác tính và không chèn ép các cơ quan xung quanh: chọn phẫu thuật nội soi.
Phẫu thuật nội soi sau phúc mạc cắt bướu TTT:
- Tư thế bệnh nhân: nằm nghiêng 900 bên có bướu ở phía trên, vùng hông lưng được nâng cao.
- Phẫu thuật viên chính đứng phía sau lưng bệnh nhân, phẫu thuật viên phụ đứng bên cạnh.
- Màn hình và các thiết bị nội soi đặt đối diện phẫu thuật viên.
- Vị trí trocar: đặt 3 trocar vùng hông lưng sau phúc mạc. Tạo khoang sau phúc mạc bằng ngón tay găng, bơm hơi với 300 đến 400ml khí trời.
- Trocar thứ nhất (10 mm) được đặt đầu xương sườn 12, dưới xương sườn 11, bơm hơi vào khoang sau phúc mạc.
- Trocar thứ hai (5 hoặc 10 mm) được đặt góc sườn lưng (góc giữa xương sườn 12 và cơ cạnh cột sống).
- Trocar thứ ba (5 hoặc 10 mm) được đặt trên mào chậu 2 khoát ngón tay gần gai chậu trước trên.
- Ống soi camera quan sát 300 được đặt qua trocar thứ nhất.
- Bóc tách khoang sau phúc mạc bằng dao cắt đốt siêu âm, nhận dạng cơ thắt lưng chậu, nhận dạng vùng rốn thận.
- Nhận dạng tĩnh mạch TTT chính: tĩnh mạch TTT chính bên trái hợp lưu vào tĩnh mạch thận, tĩnh mạch TTT chính bên phải hợp lưu vào tĩnh mạch chủ.
- Kẹp cắt tĩnh mạch TTT chính bằng Hem-O-Lok.
- Trước khi kẹp cắt tĩnh mạch TTT, thông báo cho Bác sĩ gây mê để phối hợp điều chỉnh thuốc hạ áp trong TH bướu sắc bào tủy TTT.
- Giải phóng xung quanh bướu TTT bằng dao cắt đốt siêu âm, di động bướu.
- Di động bướu TTT, bướu TTT được đặt vào túi và được lấy ra qua lỗ trocar 10 mm được rạch rộng ra theo kích thước của bướu.
- Dẫn lưu hố TTT và khâu các lỗ trocar.
Phẫu thuật nội soi qua phúc mạc cắt bướu TTT:
- Tư thế bệnh nhận: nằm nghiêng 300 đến 450 bên có bướu ở phía trên.
- Phẫu thuật viên chính đứng phía bụng BN, phẫu thuật viên phụ đứng bên cạnh.
- Màn hình và các thiết bị nội soi đặt đối diện phẫu thuật viên.
- Vị trí đặt trocar: trocar đầu tiên ở vị trí giữa bờ sườn (bên phải hoặc bên trái) và mào chậu trên đường nách trước, đặt camera. Trocar thứ hai ở phía ngoài trocar đầu tiên khoảng 6 cm, trocar thứ ba ở phía trong trocar đầu tiên khoảng 5 - 6 cm. Trocar thứ tư được đặt trên đường giữa trên rốn, cách mũi ức 2 - 3 cm (dùng để nâng gan lên phía trên trong quá trình phẫu thuật bướu bên phải).
- Bên phải: cắt dây chằng tam giác phải, bộc lộ mặt trước của cực trên thận phải và TTT. Nâng gan lên trên bằng một forceps. Bộc lộ bờ ngoài của TM chủ dưới mở
phúc mạc sau dọc bờ dưới gan phải. Bộc lộ tĩnh mạch TTT chính phải, hợp lưu trực tiếp vào TM chủ dưới ở mặt sau ngoài. Kẹp cắt tĩnh mạch TTT chính bằng Hem-O-Lok. Giải phóng TTT khỏi bờ ngoài TM chủ dưới, mặt dưới của gan, thành bụng sau và cuối cùng là cực trên của thận phải. Đặt khối bướu vào một túi và lấy ra ngoài qua một đường mổ nhỏ phù hợp với kích thước của bướu. Dẫn lưu hố TTT và khâu các lỗ trocar.
- Bên trái: di động góc lách của đại tràng, vén góc lách của đại tràng vào trong để trình bày mặt trước của cực trên thận trái và TTT trái, nhận dạng tĩnh mạch TTT chính: tĩnh mạch TTT chính bên trái hợp lưu vào tĩnh mạch thận. Kẹp cắt TM TTT. Các bước còn lại giống bên phải.
Phẫu thuật mở cắt TTT
- Chọn lựa cho những TH bướu kích thước lớn, hoặc nghi ngờ ác tính, chèn ép hay xâm lấn cơ quan xung quanh, hoặc bướu có chồi trong TM chủ dưới.
- Đường mổ là đường hông lưng cắt xương sườn XII hoặc xương sườn XI, đường dưới sườn, đường ngực bụng hoặc đường giữa.
- Các bước tiếp cận bướu giống như các bước trong tiếp cận bướu thực hiện phẫu thuật nội soi.
- Thực hiện theo nguyên tắc ung thư: tránh làm vỡ bướu hoặc gieo rắc tế bào bướu. Trong một số TH cần phải chủ động cắt các cơ quan lân cận như: thận, đại tràng, lách, tuyến tụy… khi bướu xâm lấn các cơ quan này.
2.6.3 Trong lúc phẫu thuật
Ghi nhận các dữ liệu:
- Phương pháp phẫu thuật, thời gian phẫu thuật, lượng máu mất, lượng máu truyền, tình trạng huyết động lúc phẫu thuật (mạch, huyết áp, thuốc hạ áp), sinh thiết lạnh (nếu có).
- Biến chứng trong phẫu thuật: ghi nhận tất cả các biến chứng xảy ra trong lúc phẫu thuật, phương pháp xử trí và kết quả xử trí tại thời điểm phẫu thuật.
2.6.4 Sau phẫu thuật
- Ghi nhận kết quả giải phẫu bệnh bướu TTT.






