chất của Hg2+ với azocalixaren [31]. Tác giả Kao, một nhà hóa học Đài Loan, đã sử dụng các allyl và arylazo-couple calix[4]aren tạo phức chọn lọc với Hg2+ ( = 128–162 nm) [77] hoặc nghiên cứu của Ho về phức chất của Hg2+ với một dẫn xuất metoxyphenylazocalixaren [70], hoặc nghiên cứu của Li dùng azocalixaren để nhận biết một số ion kim loại [100].
Trong nghiên cứu tạo phức, ion của kim loại chuyển tiếp được quan tâm nhiều nhất bởi độc tính của nó đối với môi trường và sinh vật. Vì thế, các nghiên cứu về phức chất của các azocalixaren với các đối tượng này được các nhà khoa học đặc biệt chú ý. Deligoz và cộng sự cho biết họ đã điều chế được phức chất của dẫn xuất azocalixaren (22) với các ion Cu2+, Ni2+ và Co2+. Cấu trúc của các phức đã được nghiên cứu thông qua các kĩ thuật UV-VIS, IR, 1H-NMR và phân tích nguyên tố. Kết quả cho thấy các phức chất này đều có tỷ lệ 2:1. Phức của Cu2+ và Ni2+ với azocalix[4]aren ở dạng vuông phẳng còn phức của Co2+ ở dạng bát diện [48] (xem hình 1.13).

Hình 1.13. Phức hai nhân của azocalixaren (22) với ion kim loại.
Một nghiên cứu khác của Bingol và cộng sự đã tìm thấy phức chất của azocalixaren với Cr3+ [32]. Oueslati và cộng sự đã tổng hợp 6 dẫn xuất mới calix[4]aren chứa các nhóm chức 2,2-bipyridyl và azophenyl tại vị trí lower rim và upper rim. Các dẫn xuất này có khả năng tạo phức chọn lọc với ion Zn2+ [122]. Tác
giả Rouis phát hiện được phức của một loại dẫn xuất azocalixaren với các ion Eu3+, Ag+ và Cu2+ [131].
Có thể bạn quan tâm!
-
Nghiên cứu khả năng tạo phức của một số dẫn xuất mới của azocalixaren với ion kim loại và ứng dụng trong phân tích - 1 -
Nghiên cứu khả năng tạo phức của một số dẫn xuất mới của azocalixaren với ion kim loại và ứng dụng trong phân tích - 2 -
Vài Nét Về Hóa Học Siêu Phân Tử Và Phức Host-Guest -
Một Số Thuốc Thử Hữu Cơ Dùng Để Xác Định Chì -
Phân Tích Định Lượng Ion Kim Loại Theo Phương Pháp Đường Chuẩn
Xem toàn bộ 130 trang tài liệu này.
Dựa vào phức chất của các ion kim loại với azocalixaren, nhiều tác giả đã xây dựng thành công phương pháp phân tích các ion kim loại. Ma và nhóm nghiên cứu đã xây dựng được quy trình phân tích hàm lượng Ni2+ với có độ nhạy và độ chính xác cao. Theo tác giả này, Ni2+ tạo phức 1:1 với (1), khoảng nồng độ của Ni2+ tuân theo định luật Beer trong khoảng 1,7.10-75,1.10-6 mol.L-1. Hệ số hấp thụ phân tử (ε) là 1,28.105 tại bước sóng 580 nm, LOD có giá trị là 1,4.10-7 mol.L-1 (S/N=3). RSD của nồng độ 8,5.10-7 mol.L-1 Ni2+ là 2.7% (n =10). Phương pháp đề xuất đã được sử dụng để xác định vết Ni2+ trong mẫu thực tế với kết quả tin cậy [107]. Trong khi đó, với thuốc thử azocalixaren gắn thêm các nhóm sunfonat tan trong nước, nhóm nghiên cứu của Lu đã tìm ra phức chất của hợp chất này với Cr3+ trong môi trường axit. Phức có cực đại hấp thụ tại 520 nm, điểm đẳng quang tại 470 nm, khoảng nồng độ Cr3+ tuân theo định luật Beer trong khoảng 9,35.10-44,45.10-3mol.L−1, phương trình hồi quy có dạng A = 0,001.C 10-4(mol.L-1 Cr3+) + 0.2379, r = 0,998, n=6 [104].

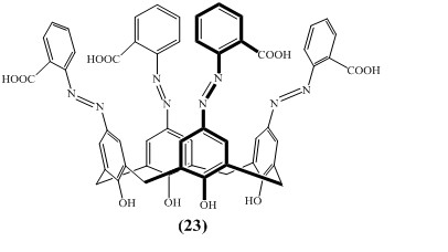
Hình 1.14. Dẫn xuất azocalixaren (23) dùng để phân tích ion Pb2+.
Ở Việt Nam, tác giả Tan và Le đã sử dụng dẫn xuất azocalix[4]aren 5,14,17,23- tetra[(2-benzoic acid)(azo)phenyl] calix[4]aren (23) để tạo phức với Pb2+. Dựa vào sự thay đổi phổ hấp thụ, nhóm nghiên cứu này đã xây dựng quy trình phân tích Pb2+. Khoảng nồng độ của Pb2+ tuân theo định luật Beer là 2,0.10-62,4.10-5 mol.L-1. Hệ số
tắt hấp thụ phân tử (ε) là 1,89.104 L.mol-1.cm-1 tại 440 nm và LOD là 1,6.10-6 mol.L-1 [5,150,151]. Một nghiên cứu gần đây của nhóm này đã công bố phức chất của (23) với Ce(IV) trong môi trường axit và đề xuất quy trình phân tích ion này [97].
Nghiên cứu của Ebdelli và cộng sự cho biết họ đã tổng hợp được azocalixaren (24): 5,17-bis(4-nitrophenylazo)-26,28-dihydroxy-25,27-di(ethoxycarbonylmethoxy)- calix[4]aren và dẫn xuất (25): 5,17-bis(phenylazo)-26,28-dihydroxy-25,27- di(etoxycacbonylmetoxy)-calix[4]aren. Sau đó, nhóm này cũng đã khảo sát khả năng tạo phức của các dẫn xuất này với các ion kim loại, kết quả cho thấy rằng hai hợp chất này tạo phức chọn lọc với với ion Eu3+ (xem hình 1.15), giá trị hằng số bền (Log K) của hai phức lần lượt là 7,9 và 7,8 và họ đã đề xuất quy trình phân tích ion này [54,55].

Hình 1.15. Hai azocalixaren tạo phức chọn lọc với Eu3+.
Ngoài phức chất với ion kim loại, các nhà khoa học cũng đã tìm ra phức chất của một số dẫn xuất azocalixaren với các cation hữu cơ [154]. Như vậy, azocalixaren đã cho thấy được vai trò quan trọng trong nghiên cứu tạo phức và phân tích trắc quang. Các nhà hóa học đã và đang nỗ lực tìm ra các dẫn xuất mới, các tín
hiệu mới nhằm xây dựng các quy trình phân tích đơn giản hơn, chi phí thấp hơn cũng như có độ nhạy và độ chọn lọc cao hơn.
1.2.3.2. Trong tách chiết, làm giàu
Sử dụng các azocalixaren trong tách chiết ion kim loại cũng được nhiều nhóm nghiên cứu. Nhóm nghiên cứu của Ak cũng tổng hợp được các dẫn xuất azocalixaren chứa các nhóm este, xeton để chiết các ion kim loại chuyển tiếp [22]. Một nghiên cứu khác của nhóm này cho biết 4 dẫn xuất azocalixaren mới đã được tổng hợp và các tính chất của chúng như phổ hấp thụ, giản đồ phân tích nhiệt và khả năng tạo phức, tách chiết với các ion kim loại đã được khảo sát [23]. Chawla và cộng sự đã tổng hợp được một số dẫn xuất diphenylimidazolyl calix[n]aren (n = 4,
6, 8) và sử dụng các hợp chất này để chiết chọn lọc các ion hóa trị I như Na+, K+,
Cs+ và Ag+ [35,36]. Nghiên cứu của Deligoz và cộng sự với 9 loại thuốc thử hữu cơ gồm hai dẫn xuất diazo-coupling calix[n]aren, bốn dẫn xuất của phenol và 3 dẫn xuất este trong tách chiết các ion Ag+, Hg+, Hg2+, Co2+, Cu2+, Zn2+, Cd2+, Al3+, Fe3+ và Cr3+. Kết quả nghiên cứu cho thấy p-(4-phenylazophenylazo)calix[4]aren cho hiệu suất cao nhất [45,49]. Delegoz cũng đã nghiên cứu khả năng chiết chọn lọc ion Fe3+ từ môi trường pH thấp [46]. Nhóm nghiên cứu này cũng chiết thành công ion dicromat trong môi trường axit bằng azocalixaren [50]. Tác giả Halouani và nhóm nghiên cứu đã tổng hợp được 8 dẫn xuất azocalixaren và nghiên cứu cấu trúc của chúng bằng các phương pháp phổ MS, 1H-NMR, IR và X-ray. Sau đó, nhóm này đã khảo sát khả năng chiết của các dẫn xuất này với các ion kim loại nhóm IA, số liệu cho thấy ion K+ được chiết với hiệu suất cao nhất [67].
Nghiên cứu đáng chú ý của Kumar và cộng sự đã xây dựng thành công phương pháp chiết trắc quang Pd(II), Fe(III) và Tl(IV) từ môi trường HNO3 bằng p- [4-(3,5-dimetylisoxazolyl)azophenylazo]calix(4)aren vào dung môi 1,2-dicloetan với ion cộng hợp picrat [93]. Trong một công trình khác, nhóm của Kumar cũng đã điều chế được hợp chất 25,26,27,28-tetrahydroxy-5,11,17,23-tetra-[4-(N-hydroxyl- 3-phenylprop-2-enimidamido)phenylazo]calix[4]aren và đã sử dụng phương pháp
chiết-trắc quang để định lượng ion Cu2+, Co2+, Rh3+ và Ir3+[94]. Gần đây nhất, trong một bài báo tổng quan, tác giả Delegoz đã tổng kết về khả năng tách chiết của azocalixaren với các ion kim loại khác nhau từ hơn 60 công trình đã công bố [51,52].
1.2.3.3. Trong phân tích điện hóa và cảm biến hóa học

Ngày nay, việc tổng hợp các chất hữu cơ mới có tính chọn lọc cao với các đối tượng phân tích rồi kết hợp chúng với các vật liệu khác để tạo ra một thiết bị cảm biến có độ nhạy và độ chọn lọc cao đang là một hướng nghiên cứu mới, thu hút được nhiều sự quan tâm của các nhà khoa học [139]. Trong xu hướng ấy, azocalixaren cũng là một trong những dẫn xuất được quan tâm hàng đầu. Chẳng hạn như nghiên cứu của Chang và cộng sự đã chế tạo được chemosensor từ dẫn xuất đi- và triazol calix[4]aren để phát hiện các ion Ca2+ Pb2+[34].
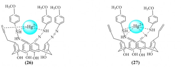
Hình 1.16. Azocalixaren dùng để chế tạo sensor phát hiện ion Hg2+[70,77]. Trong khi đó, tác giả Lu cho biết họ đã chế tạo được điện cực chọn lọc ion
Pb2+ (ISE) dựa vào dẫn xuất carboxyphenylazocalixaren và ứng dụng phân tích hàm lượng nguyên tố này trong mẫu thực tế [102]. Trong một nghiên cứu khác, tác giả này đã chế tạo được điện cực chọn lọc ion Hg2+ dựa vào dẫn xuất thiazole azo calix[6]aren [103]. Nghiên cứu chế tạo cảm biến phát hiện thủy ngân dựa vào azocalixaren còn có các tác giả khác như Ho [70], Kao [77] và Wang [159].
Kumar và Shim đã chế tạo được điện cực chọn lọc Cr3+ từ p-(4-
acetanilidazo)calix[4]aren. Điện cực này phát hiện chọn lọc được ion Cr3+ khi có
mặt của các ion khác như Li+, K+, Na+, Ni2+, Co2+, Cu2+, Sr2+, Ba2+, Cs+, Pb2+, Zn2+, Mg2+, Cd2+, Al3+, Fe3+ và La3+. Phương trình hồi quy được thiết lập trong khoảng nồng độ 9,0.10-7 mol.L-1 đến 1,1.10-1 mol.L-1. Điện cực này rất chọn lọc với Cr3+ trên nền mẫu các ion khác như Li+, K+, Na+, Ni2+, Co2+, Cu2+, Sr2+, Ba2+, Cs+, Pb2+, Zn2+, Mg2+, Cd2+, Al3+, Fe3+ và La3+ [91]. Trong một nghiên cứu khác, nhóm này cho biết họ đã chế tạo được điện cực chọn lọc ion Co2+ dựa vào azocalixaren. Nồng độ tuyến tính của ion phân tích là 9,2.10-61,0.10-1M và sensor này có giới hạn phát hiện là 4,0.10- 6M, trong khoảng pH 4,07,2 [92].
Một nghiên cứu mới công bố gần đây của Ebdelli và cộng sự cho biết họ đã sử dụng dẫn xuất tetrakis(phenylazo)calix[4]aren (28) để phát hiện cation. Sử dụng thông tin từ phổ hấp thụ, nhóm này đã nghiên cứu khả năng tạo phức giữa dẫn xuất này với các ion Ni2+, Co2+, Hg2+, Al3+, Pb2+ và Eu3+. Kết quả cho thấy (28) tạo phức chọn lọc với Eu3+. Dựa vào các tín hiệu thu được, ở công trình tiếp theo nhóm nghiên cứu này đã chế tạo sensor điện hóa phát hiện các ion Hg2+, Ni2+ và Eu3+ ở cấp độ vết [54,55].

Hình 1.17. Phổ hấp thụ của azocalixaren (28) với một số ion kim loại.
Nhóm nghiên cứu của Echabaane đã chế tạo được bộ cảm biến quang học dựa trên một dẫn xuất azocalixaren dùng để phát hiện ion Eu3+ [56]. Mlika và cộng sự lại sử dụng một dẫn xuất azocalixaren để chế tạo điện cực chọn lọc ion Au3+ [115]. Liu và
nhóm nghiên cứu đã sử dụng nitrophenylazocalix[4]aren làm sensor quang học để phát hiện các amin bay hơi; sensor này có độ chọn lọc cao nhất đối với n-hexylamin [101]. Menon và cộng sự đã điều chế được một màng PVC chứa p-(2-hydroxy phenylazo)calix[4]aren để chế tạo điện cực phát hiện ion Nd3+ [110]. Hoặc nhóm nghiên cứu của Kim và cộng sự cho biết họ đã chế tạo được sensor huỳnh quang dùng để phát hiện ion F- [84,85]
1.2.3.4. Trong phân tích định tính
Ngoài những ứng dụng nêu trên, azocalixaren còn được ứng dụng trong phân tích định tính. Nghiên cứu của Kim và cộng sự đã dùng hai dẫn xuất azocalixaren để phân tích nhóm ion kim loại [87]. Chen và cộng sự đã khảo sát sự tương tác của 5 dẫn xuất azocalix[4]aren với các anion như F-, CH3COO-, PO43-…Kết quả cho thấy các dẫn xuất này tương tác rất chọn lọc với ion F- [38] (xem hình 1.18). Một nghiên
cứu khác của Jung cho biết một số dẫn xuất azocalixaren còn được dùng để phân tích nhóm amin [75].

Hình 1.18. Phổ hấp thụ của azocalixaren với ion một số anion.
Ngoài ra, azocalixaren còn được ứng dụng trong công nghệ nhuộm, in. Chẳng hạn như nghiên cứu của Menon cho biết nhóm này đã tổng hợp được 6 dẫn xuất azocalixaren mới và ứng dụng các dẫn xuất này trong công nghệ nhuộm vải, làm mực in [111]. Một nghiên cứu khác của Kamboh và cộng sự cho biết đã gắn được các azocalixaren vào nhựa Amberlite XAD-4, để tạo ra một loại vật liệu mới được
sử dụng trong việc thu hồi các chất màu trong nước thải dệt như Reactive Black-5 (RB-5), Reactive Red-45 (RR-45) và Congo Red (CR) [76].
1.3. Các nghiên cứu về hợp chất azocalixaren sử dụng trong luận án

5-[(2-Etylacetoetoxyphenyl)(azo)phenyl]calix[4]aren (MEAC).

5,17-Di[(2-etylacetoetoxyphenyl)(azo)phenyl]calix[4]aren (DEAC).

5,11,17,23-Tetra[(2-etylacetoetoxyphenyl)(azo)phenyl]calix[4]aren (TEAC).
Hình 1.19. Công thức cấu tạo của MEAC, DEAC và TEAC.





