hợp trồng rừng Keo lá liềm trên cát nội đồng (Nguyễn Thị Liệu, 2015, 2018) [56, 57]. Sử dụng công nghệ sinh học chọn tạo giống cây Keo lá liềm ưu tú về sinh trưởng, tính chống chịu, cải tạo đất, tiểu khí hậu... phục vụ công tác trồng rừng vùng cát ven biển (Đặng Thái Dương, 2015; Trương Thị Bích Phượng et al., 2013) [30], [69]. Trồng phục hồi rừng vùng cát bằng các loài cây bản địa, trồng theo cụm 9 cây (cây gỗ nhỡ hoặc gỗ lớn ở trung tâm, cây gỗ thân bụi vòng 1 và cây sinh trưởng nhanh ở vòng 2); thử nghiệm biện pháp cắt ngọn cây vào mùa mưa (Nicolas Witman et al., 2019) [62].
Bảo vệ môi trường, cơ sở hạ tầng và sản xuất nông nghiệp: các dự án BV&PTR vùng ven biển đã góp phần quan trọng trong việc bảo vệ và nâng cao độ che phủ của rừng thông qua các hoạt động trồng rừng và trồng cây phân tán. Góp phần phủ xanh đất trống, đất hoang hóa; phát huy hiệu quả phòng hộ, bảo vệ môi trường sinh thái, đặc biệt là khu RPH ven biển đã phát huy hiệu quả chắn gió bão, chắn cát bay, bảo vệ các công trình hạ tầng nông thôn, hạn chế hoang mạc hóa, sa mạc hóa vùng cát ven biển.
Hình thành cơ chế tổ chức bảo vệ rừng: công tác giao khoán bảo vệ rừng cho tổ chức, hộ gia đình giúp từng bước thực hiện chính sách xã hội hóa nghề rừng. Người dân từng bước xác định quyền làm chủ trong sử dụng rừng, đất lâm nghiệp; hạn chế nạn phá rừng trái phép, tạo công ăn việc làm cho người dân vùng nông thôn và ven biển; góp phần xóa đói giảm nghèo, cải thiện sinh kế; phát triển kinh tế - xã hội; giữ vững anh ninh quốc phòng vùng ven biển, hải đảo. Từng bước tạo sự phối hợp chặt chẽ giữa các BQLR, lực lượng kiểm lâm, chính quyền địa phương, lực lượng vũ trạng và hộ nhận khoán trong việc truy quét ngăn chặn việc chặt phá rừng. Chủ trương giao đất, khoán rừng phòng hộ đã mang lại lợi ích cho người dân địa phương - dưới hình thức quyền sử dụng trong các khu rừng phòng hộ chắn gió chắn cát.
Tạo công ăn việc làm góp phần ổn định an sinh xã hội: hệ thống dải RPH ven biển đã góp phần đáng kể trong việc bảo vệ và cải thiện điều kiện môi trường, phục vụ phát triển nuôi trồng thủy sản, NLKH trong vùng phát triển; phòng hộ chắn gió chắn cát, chắn sương muối, gió mang hơi nước mặn vào đất liền; giúp duy trì sinh kế cho người dân vùng ven biển. Các hoạt động BV&PTR đã góp phần tạo ra việc làm cho các hộ gia đình vùng ven biển, đồng thời cũng huy động được nhiều nguồn vốn đầu tư trong xã hội, sản xuất ra một khối lượng lớn và đa dạng các sản phẩm nông - lâm sản; góp phần giải quyết nhu cầu lương thực, thực phẩm cho nhân dân, từ đó nâng cao thu nhập cho người dân địa phương; xóa đói giảm nghèo, tạo tiền đề thúc đẩy kinh tế nông thôn trong vùng phát triển.
b) Một số tồn tại
Hạn chế về các biện pháp kỹ thuật lâm sinh áp dụng trong công tác trồng rừng vùng cát trong thời gian qua, như:
- Cơ cấu cây trồng chưa được lựa chọn thích hợp cho các nhóm dạng lập địa (cát biển, cồn cát di động, bán di động, cát bán ngập vào mùa mưa... );
- Cây con kém chất lượng, thiếu sự bảo vệ cây con khỏi các tác động vật lý (cát bay làm vùi lấp, trơ gốc,... ) trong giai đoạn phát triển quan trọng ban đầu;
- Thiếu sự chọn lọc đa dạng loài và biện pháp kỹ thuật trồng, chăm sóc chưa phù hợp với đặc điểm, đặc trưng từng nhóm dạng lập địa;
- Các kỹ thuật trồng rừng phòng hộ trên đất cát ven biển như trồng cỏ để chống cát bay, thay đất cát trong hố bằng đất đồi, bón cỏ rác trong hố, trồng bao quanh đồi từ chân lên đỉnh, trồng vào ngày có mưa đã được áp dụng từ lâu nhưng những khâu kỹ thuật này lại khó được áp dụng do quá tốn kém công sức và tiền của;
Chưa có quy trình, biện pháp kỹ thuật gây trồng rừng cho những điều kiện nhóm dạng lập địa khác nhau, đặc biệt lập địa rất khó khăn (cát di động mạnh,... ).
Chưa làm rõ được các đặc điểm, đặc trưng cơ bản về các lập địa trồng rừng, đặc biệt các lập địa khó khăn (cồn cát bán cố định, cát di động mạnh,... ).
Chưa nghiên cứu xây dựng được mô hình NLKH vùng cát đa tác dụng, hiệu quả và bền vững, ứng phó với biến đổi khí hậu và nước biển dâng.
c) Bài học kinh nghiệm
Cần sớm hoàn thiện các thể chế liên quan đến qui hoạch và cơ chế giám sát, chế tài liên quan đến quản lý qui hoạch BV&PTR bền vững RVB đảm bảo rừng được bảo vệ lâu dài, tránh việc chuyển đổi rừng và đất lâm nghiệp sang các mục đích sử dụng khác.
Nhiều chương trình, dự án quan tâm đến công đoạn thiết lập được RPH ven biển song giai đoạn sau khi kết thúc, dự án chưa có cơ chế lâu dài hơn như giao cho nhóm hộ và cộng đồng quản lý bảo vệ lâu dài theo qui định hiện hành để duy trì tính bền vững cũng như phát huy giá trị gia tăng của rừng.
Đa số diện tích RVB thường không tập trung, gần khu dân cư và đang giao cho UBND xã quản lý nên ngay từ khi thực hiện các chương trình, dự án cần đặt vai trò quản lý, bảo vệ và phát triển RVB vào hai trọng tâm là: (i) Cộng đồng dân cư ven biển; và (ii) Vài trò của cấp xã, trong việc lập kế hoạch, qui hoạch quản lý rừng.
Tất cả các diện tích rừng được qui hoạch là “rừng ven biển” (Thủ tướng Chính phủ, 2016) [90] cần được xác định rõ là RPH. Việc tính toán chi phí cho thiết lập
rừng và quản lý rừng bền vững cần tính toán đảm bảo tính đúng, tính đủ kinh phí để thực hiện thiết lập rừng.
3.3. Ảnh hưởng biện pháp kỹ thuật trồng rừng phòng hộ trên một số nhóm dạng lập địa vùng cát ven biển
3.3.1. Ảnh hưởng của phân bón lót kết hợp chất giữ ẩm đến sinh trưởng cây Phi lao trên nhóm dạng lập địa II
a) Tại Lệ Thủy
Ở giai đoạn 16 tháng tuổi, các chỉ tiêu sinh trưởng (về D0, HVN, DT) của cây Phi lao trồng trên nhóm dạng lập địa II (cụ thể dạng CCcH2KT2 và CCcH3KT2) tại Lệ Thủy có sự khác nhau có ý nghĩa thống kê giữa CT1 ~ CT3. D0 bình quân từ 1,42 ± 0,36cm (CT3) đến 1,76 ± 0,33cm (CT1), CV%: 18,8 - 25,4%. HVN bình quân ở CT1
đạt 0,95 ± 0,20m, cao hơn ý nghĩa 0,12m so với CT3 (0,82 ± 0,23m, KTC 95%: 0,00064 đến 0,25m, p = 0,048), CV%: 21,1 - 28,0%. Tương tự, DT bình quân ở CT1 đạt 0,78 ± 0,27m, cao hơn ý nghĩa 0,27m (KTC 95%: 0,12 đến 0,43m, p = 0,00061) so với CT3 (0,50 ± 0,23m), CV%: 34,6 - 46,0%. Tăng trưởng bình quân chung về ∆D0 = 1,09 - 1,35cm/năm; ∆HVN = 0,63 - 0,73m/năm và ∆DT = 0,38 - 0,60m/năm.
Tháng tuổi | CTTN | D0 (sd) (cm) | HVN (sd) (m) | DT (sd) (m) | ∆D0 (cm/năm) | ∆HVN (m/năm) | ∆DT (m/năm) |
16 | ĐC | NA | NA | NA | - | - | - |
CT1 | 1,76a (0,33) | 0,95a (0,20) | 0,78a (0,27) | 1,35 | 0,73 | 0,60 | |
CT2 | NA | NA | NA | - | - | - | |
CT3 | 1,42b (0,36) | 0,82b (0,23) | 0,50b (0,23) | 1,09 | 0,63 | 0,38 | |
24 | ĐC | 1,28c (0,54) | 0,63c (0,17) | 0,66c (0,25) | 0,64 | 0,32 | 0,33 |
CT1 | 1,50c (0,50) | 0,70bc (0,25) | 0,70c (0,27) | 0,75 | 0,35 | 0,35 | |
CT2 | 2,00b (0,57) | 0,79b (0,30) | 1,02b (0,35) | 1,00 | 0,40 | 0,51 | |
CT3 | 2,21a (0,62) | 0,90a (0,29) | 1,15a (0,44) | 1,10 | 0,45 | 0,58 |
Có thể bạn quan tâm!
-
Diện Tích Và Phân Bố Các Loại Đất Cát Ven Biển Theo Độ Cao -
Tổng Hợp Các Nhóm Dạng Lập Địa Vùng Cát Ven Biển Khu Vực Nghiên Cứu -
Sinh Trưởng Các Loài Cây Trồng Rừng Phòng Hộ Trên Một Số Dạng Lập Địa Vùng Cát Ven Biển -
Ảnh Hưởng Của Phân Bón Lót Kết Hợp Chất Giữ Ẩm Đến Sinh Trưởng Cây Keo Lá Liềm Trên Nhóm Dạng Lập Địa Iii1 -
Sinh Trưởng Đường Kính Gốc, Chiều Cao Và Đường Kính Tán Cây Keo Lá Liềm Trồng Trên Lập Địa Iii3 Tại Lệ Thủy -
Ảnh Hưởng Của Dạng Lập Địa Trồng Rừng Đến Sinh Trưởng Cây Keo Lá Liềm
Xem toàn bộ 207 trang tài liệu này.
Bảng 3.15. Sinh trưởng đường kính gốc, chiều cao và đường kính tán cây Phi lao trồng trên nhóm dạng lập địa II tại Lệ Thủy
Ghi chú: Kết quả được trình bày với giá trị trung bình và độ lệch chuẩn (trong ngoặc); NA: Dữ liệu trống không (không có dữ liệu). Trong cùng một cột các giá trị có mẫu ký tự (a, b, c, ab,…) giống nhau thì chưa có sự sai khác; ngược lại, các giá trị có mẫu ký tự khác nhau là có sự sai khác nhau có ý nghĩa thống kê ở mức độ tin cậy 95%.
Ở giai đoạn 24 tháng tuổi, các chỉ tiêu sinh trưởng cây Phi lao có sự khác nhau rõ giữa các CTTN so với đối chứng. D0 bình quân từ 1,28 ± 0,54cm (ĐC) đến 2,21
± 0,62cm (CT3), CV%: 28,1 - 42,2%. HVN từ 0,63 ± 0,17m (ĐC) đến 0,90 ± 0,29m
(CT3), CV%: 27,0 - 38,0%. Kết quả phân tích hậu định cho thấy, giữa các công thức: CT3~ĐC, CT2~ĐC và CT3~CT1 có sự khác nhau rõ với độ tin cậy 95% (p = 0,0000035
- 0,0084), nhưng giữa các công thức CT2~CT1, ĐC~CT1 chưa có sự khác nhau rõ về sinh trưởng chiều cao cây (p = 0,35 - 0,686).
Hình 3.4. Phân tích Anova các chỉ tiêu sinh trưởng (trái) và phân tích hậu định chỉ tiêu đường kính tán (phải) cây Phi lao ở giai đoạn 24 tháng tuổi
trên nhóm dạng lập địa II tại Lệ Thủy
Đường kính tán từ 0,66±0,25m (ĐC) đến 1,15±0,44m (CT3), CV%: 34,3 - 38,6%; giữa các công thức CT3~ĐC, CT2~ĐC, CT3~CT1 và CT2~CT1 có sự khác nhau rõ (p < 0,001), nhưng giữa CT1~ĐC và CT3~CT2 chưa có sự khác nhau rõ (p
= 0,094-0,957). ∆D0 = 0,64 - 1,10cm/năm, ∆HVN = 0,32 - 0,45m/năm và ∆DT = 0,33
- 0,58m/năm.
Số cành dài trên 50cm của cây Phi lao có sự khác nhau rõ giữa các CTTN với độ tin cậy 95% (p < 0,001), trung bình có từ 0,97 ± 0,28 cành/cây (CT1) đến 6,74 ± 0,85 cành/cây (CT3), CV%: 12,3 - 28,9%. Kết quả phân tích hậu định cho thấy, giữa CT2~CT1, CT3~CT1, CT2~ĐC và CT3~ĐC có sự khác nhau rõ (p < 0,001), nhưng giữa CT3~CT2 và CT1~ĐC chưa có sự khác nhau rõ (p = 0,094 - 0,96) về số cành dài trên 50cm/cây. Tỷ lệ sống của cây Phi lao ở giai đoạn 24 tháng tuổi dao động từ 65,2% (ĐC) đến 77,8% (CT3).
Tháng tuổi | CTTN | Số cành > 50cm (sd) | Tỷ lệ sống | Tỷ lệ chết ngọn | ||||
TB (cành/cây) | P-value | TB (%) | P-value | TB (%) | P-value | |||
16 | ĐC | - | - | NA | - | NA | 0,666 | |
CT1 | - | 54,5 | 93,8a | |||||
CT2 | - | NA | NA | |||||
CT3 | - | 67,4 | 90,5a | |||||
24 | ĐC | 1,09b (2,01) | < 0,001 | 70,5a | 0,601 | 85,4a | < 0,001 | |
CT1 | 0,97b (1,63) | 68,7a | 71,4b | |||||
CT2 | 5,37a (6,63) | 77,3a | 55,4c | |||||
CT3 | 6,74a (7,07) | 71,4a | 39,4c | |||||
Bảng 3.16. Số cành dài trên 50cm, tỷ lệ cây chết ngọn và tỷ lệ sống của cây Phi lao trồng trên nhóm dạng lập địa II tại huyện Lệ Thủy
Ghi chú: Kết quả được trình bày với giá trị trung bình và độ lệch chuẩn (trong ngoặc); p < 0,05 có ý nghĩa thống kê và p > 0,05 chưa có ý nghĩa thống kê.
b) Tại Triệu Phong
Tại Triệu Phong, ở thời điểm 14 tháng tuổi, chỉ tiêu về D0, HVN, DT cây Phi lao trồng trên nhóm dạng lập địa II (dạng lập địa CCcH2KT1 và CCcH3KT1) có sự khác nhau rõ giữa các CTTN so với đối chứng. D0 bình quân đạt từ 1,17 ± 0,19cm (ĐC) đến 1,92 ± 0,33cm (CT3), CV%: 15,4 - 21,3%. HVN trung bình từ 0,89 ± 0,20m (ĐC) đến
1,40 ± 0,32m (CT3), CV%: 22,5 - 27,4%. Tuy nhiên, giữa CT2~CT1, ĐC~CT1, và
CT3~CT2 chưa có sự khác nhau rõ (p = 0,23 - 0,58), nhưng giữa CT3~ĐC, CT2~ĐC và CT3~CT1 có sự khác nhau rõ về chiều cao cây (p = 0,00011 - 0,02). Tương tự, DT trung bình từ 0,39 ± 0,14m (ĐC) đến 0,74 ± 0,18m (CT3), CV%: 17,6 - 39,7%; giữa
CT3~ĐC và CT2~ĐC là có sự khác nhau rõ (p <0,001), còn lại là chưa có sự khác nhau rõ với mức ý nghĩa 95% (p = 0,053 - 0,491).
Đến thời điểm 24 tháng tuổi, các chỉ tiêu D0, HVN, DT có sự khác nhau rõ với độ tin cậy 95% giữa các CTTN so với đối chứng. D0 từ 0,93 ± 0,12cm (ĐC) đến 2,03 ± 0,48cm (CT1), CV%: 12,9 - 23,6%. HVN trung bình từ 0,71 ± 0,21m (ĐC) đến 1,36 ±
0,36m (CT3), CV%: 24,4 - 33,6%. Kết quả phân tích hậu định cho thấy, CT3~ĐC, CT2~ĐC và CT1~ĐC là có sự khác nhau rõ (p <0,0001), nhưng giữa CT2~CT1, CT3~CT1 và CT3~CT2 là chưa có sự khác nhau rõ về chiều cao cây (p = 0,96 - 0,99).
Tháng tuổi | CTTN | D0 (sd) (cm) | HVN (sd) (m) | DT (sd) (m) | ∆D0 (cm/năm) | ∆HVN (m/năm) | ∆DT (m/năm) |
14 | ĐC | 1,17c (0,19) | 0,89c (0,20) | 0,39c (0,14) | 0,97 | 0,74 | 0,32 |
CT1 | 1,55b (0,33) | 1,06bc (0,29) | 0,58b (0,23) | 1,29 | 0,89 | 0,48 | |
CT2 | 1,82a (0,28) | 1,28ab (0,29) | 0,68ab (0,12) | 1,52 | 1,07 | 0,57 | |
CT3 | 1,92a (0,33) | 1,40a (0,32) | 0,74a (0,18) | 1,60 | 1,17 | 0,62 | |
24 | ĐC | 0,93b (0,12) | 0,71b (0,21) | 0,48b (0,11) | 0,47 | 0,36 | 0,24 |
CT1 | 2,03a (0,48) | 1,40a (0,47) | 1,15a (0,32) | 1,02 | 0,70 | 0,58 | |
CT2 | 1,85a (0,43) | 1,35a (0,33) | 1,02a (0,22) | 0,92 | 0,67 | 0,51 | |
CT3 | 2,01a (0,43) | 1,36a (0,36) | 1,15a (0,27) | 1,01 | 0,68 | 0,58 |
Bảng 3.17. Sinh trưởng đường kính gốc, chiều cao và đường kính tán cây Phi lao trồng trên nhóm dạng lập địa II tại Triệu Phong
Ghi chú: Trong cùng một cột các giá trị có mẫu ký tự (a, b, c, ab, bc, …) giống nhau thì chưa có sự sai khác; ngược lại, các giá trị có mẫu ký tự khác nhau là có sự sai khác nhau có ý nghĩa thống kê ở mức độ tin cậy 95%.
Tương tự, chỉ tiêu DT trung bình từ 0,48 ± 0,11m (ĐC) đến 1,15 ± 0,32m (CT3), CV%: 21,6 - 27,8%. Kết quả phân tích hậu định cho thấy, các cặp đôi công thức: CT3~ĐC, CT2~ĐC và CT1~ĐC là có sự khác nhau rõ (p <0,0001), nhưng giữa CT2~CT1, CT3~CT1 và CT3~CT2 là chưa có sự khác nhau rõ (p = 0,207 - 0,99) về đường kính tán cây. ∆D0 = 0,47 - 1,02cm/năm; ∆HVN = 0,36 - 0,70m/năm, và ∆DT = 0,24 - 0,58m/năm.
Hình 3.5. Phân tích Anova các chỉ tiêu sinh trưởng (trái) và phân tích hậu định chỉ tiêu chiều cao cây (phải) cây Phi lao ở giai đoạn 24 tháng tuổi
trên nhóm dạng lập địa II tại Triệu Phong
Ở một nghiên cứu trước đây cho thấy, sinh trưởng của Phi lao trên cát cố định (∆D = 1,08 cm/năm, ∆H = 1,22 m/năm), cao hơn trên cát bán di động và kém nhất
trên cồn cát di động mạnh (∆D = 0,57 cm/năm) (Nguyễn Xuân Quát & Hoàng Xuân Tý, 1996) [71]. Kết quả ở nghiên cứu này là tương đối phù hợp với kết quả nghiên cứu trên, nhưng có lượng tăng trưởng bình quân chung cao hơn, dao động từ ∆D0 = 0,79 - 1,10 cm/năm (Lệ Thủy) và từ ∆D0 = 0,92 - 1,02 cm/năm (Triệu Phong) khi áp dụng bón lót 100g phân hữu cơ vi sinh kết hợp với 10g chất giữ ẩm/hố khi trồng rừng Phi lao trên nhóm dạng lập địa II tại khu vực nghiên cứu.
Số cành trên 50cm của cây Phi lao bình quân từ 6,35 ± 0,54 cành/cây (ĐC) đến 12,34 ± 0,52 cành/cây (CT3), CV%: 4,2 - 8,5%; giữa các CTTN có sự khác nhau rõ về số cành trên 50cm/cây so với đối chứng (p <0,001), nhưng giữa CT2~CT1, CT1~CT3 và CT3~CT2 là chưa có sự khác nhau rõ (p= 0,181 - 0,884). Tỷ lệ sống của cây Phi lao ở giai đoạn 24 tháng tuổi từ 60,6% (ĐC) đến 75,8% (CT3). Với đặc thù về điều kiện tự nhiên, đặc điểm điều kiện lập địa cồn cát di động, bán di động của vùng cát ven biển,… đã ảnh hưởng đến sinh trưởng và phát triển của cây Phi lao theo dạng hình thái vươn lên cao hay đâm ngang, mọc lòa xòa; đặc điểm này được thể hiện chủ yếu ở chiều cao cây và đỉnh sinh trưởng của cây còn nguyên vẹn hay không, trong đó, đặc điểm sinh trưởng về chiều cao cây Phi lao quyết định trực tiếp đế khả năng phòng hộ chắn gió của đai rừng.
Tháng tuổi | CTTN | Số cành > 50cm (sd) | Tỷ lệ sống | Tỷ lệ chết ngọn | |||
TB (cành/cây) | P-value | TB (%) | P-value | TB (%) | P- value | ||
14 | ĐC | - | - | 61,0ab | 0,000205 | 78,9a | 0,0857 |
CT1 | - | 100,0a | 79,4a | ||||
CT2 | - | 100,0a | 73,5b | ||||
CT3 | - | 81,8b | 72,1b | ||||
24 | ĐC | 6,35c (2,41) | < 0,001 | 76,3b | 0,00573 | 50,0ab | 0,0764 |
CT1 | 11,21ab (4,35) | 70,4b | 82,8a | ||||
CT2 | 10,48b (2,79) | 96,0a | 76,2ab | ||||
CT3 | 12,34a (3,56) | 72,9b | 74,5b | ||||
Bảng 3.18. Số cành dài trên 50cm, tỷ lệ cây chết ngọn và tỷ lệ sống của cây Phi lao trồng trên nhóm dạng lập địa II tại Triệu Phong
Ghi chú: Kết quả được trình bày với giá trị trung bình và sai tiêu chuẩn (trong ngoặc); p < 0,05 có ý nghĩa thống kê và p > 0,05 chưa có ý nghĩa thống kê.
Tỷ lệ cây Phi lao chết ngọn (đỉnh sinh trưởng của cây bị thui chột, chết) trồng trên nhóm dạng lập địa II tại vùng cát ven biển là chỉ tiêu đánh giá bước đầu về sinh trưởng và phát triển của cá thể cũng như lâm phần Phi lao theo trạng thái: (i) Phi lao
thân chính, (ii) Phi lao chồi đứng và (iii) Phi lao chồi ngang. Kết quả nghiên cứu cho thấy, ở giai đoạn 14 - 16 tháng tuổi, tỷ lệ cây Phi lao chết ngọn tại các lâm phần là tương đối lớn, dao động từ 72,1 - 79,4% (Triệu Phong) đến 80,0 - 90,2% (Lệ Thủy). Giai đoạn 24 tháng tuổi, tỷ lệ này dao động từ 50,0 - 82,8% (Triệu Phong) đến 39,4 - 85,4% (Lê Thủy); giữa các CTTN có sự khác nhau rõ về tỷ lệ cây bị chết ngọn, một phần những cây bị chết được trồng dặm bổ sung và một số lại bị thui chột ngọn tiếp. Những cây Phi lao bị chết ngọn, một phần do người dân chặt phá lấy củi nhiều lần hoặc cây bị chết khô ngọn, cây tái sinh chồi rất tốt và dần hình thành các trạng thái Phi lao chồi ngang, tức là cây không có thân chính rõ ràng, đỉnh sinh trưởng bị thui chột, tồn tại ở dạng cây chồi nhưng không có khả năng mọc vươn cao quá 2m, cành mọc thấp, ở dạng đâm ngang, mọc lòa xòa.
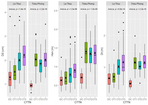
Hình 3.6. Phân tích Anova các chỉ tiêu sinh trưởng cây Phi lao ở giai đoạn 24 tháng tuổi trên nhóm dạng lập địa II tại Lệ Thủy và Triệu Phong |
Đối với những lâm phần Phi lao sau 24 tháng tuổi trồng trên nhóm dạng lập địa II có tỷ lệ sống cao (sau khi đã trồng dặm theo định kỳ), dao động từ 60,6 - 75,8% (Lệ Thủy) đến 70,4 - 96,0% (Triệu Phong), mặc dù tỷ lệ cây bị chết ngọn tương đối lớn, nếu được chăm sóc, quản lý bảo vệ tốt, cây Phi lao có khả năng tái sinh chồi tốt để phát triển chồi đứng hoặc thân chính và dần hình thành các lâm phần rừng Phi lao







