phát huy chức năng phòng hộ chắn gió, chắn cát bay của các đai rừng, đặc biệt là trên các nhóm dạng lập địa rất khó khăn (có địa hình địa mạo là đụn cát di động, cồn cát di động, cồn cát bán di động, …) vùng cát ven biển.
Hình 3.7. Tương quan giữa đường kính gốc và chiều cao cây Phi lao trên nhóm dạng lập địa II tại Lệ Thủy và Triệu Phong |
Có thể bạn quan tâm!
-
Tổng Hợp Các Nhóm Dạng Lập Địa Vùng Cát Ven Biển Khu Vực Nghiên Cứu -
Sinh Trưởng Các Loài Cây Trồng Rừng Phòng Hộ Trên Một Số Dạng Lập Địa Vùng Cát Ven Biển -
Ảnh Hưởng Biện Pháp Kỹ Thuật Trồng Rừng Phòng Hộ Trên Một Số Nhóm Dạng Lập Địa Vùng Cát Ven Biển -
Sinh Trưởng Đường Kính Gốc, Chiều Cao Và Đường Kính Tán Cây Keo Lá Liềm Trồng Trên Lập Địa Iii3 Tại Lệ Thủy -
Ảnh Hưởng Của Dạng Lập Địa Trồng Rừng Đến Sinh Trưởng Cây Keo Lá Liềm -
Một Số Đặc Điểm Đai Rừng Keo Lá Liềm Ở Giai Đoạn 14 Tháng Tuổi Được Bố Trí Thí Nghiệm Hiệu Năng Chắn Cát
Xem toàn bộ 207 trang tài liệu này.
Như vậy, ở các giai đoạn sinh trưởng khác nhau, các chỉ tiêu sinh trưởng D0, HVN, DT cây Phi lao trồng trên nhóm dạng lập địa II tại Lệ Thủy và Triệu Phong có sự khác nhau rõ giữa các CTTN so với đối chứng. Tại Lệ Thủy, ở giai đoạn 24 tháng tuổi CT3 (bón 300g phân hữu cơ vi sinh trong 3 năm đầu, kết hợp bón lót 10g chất giữ ẩm) có các chỉ tiêu sinh trưởng đạt cao nhất, tương ứng là: D0 = 2,21cm, HVN = 0,90m và DT = 1,15m, đều cao hơn có ý nghĩa thống kê với mức tin cậy 95% so với các công thức còn lại và so với đối chứng. Giữa đường kính gốc với chiều cao cây Phi lao trồng trên vùng đất cát khu vực nghiên cứu có mối tương quan theo dạng đường thẳng: Hvn
= 0,3147 + 0,3370*D0 (R2 = 0,272), phương trình có ý nghĩa là, khi đường kính gốc tăng 1cm thì chiều cao cây tăng 0,34m.
3.3.2. Ảnh hưởng của phân bón lót kết hợp chất giữ ẩm đến sinh trưởng cây Keo lá liềm trên nhóm dạng lập địa III1
Ở giai đoạn 12 tháng tuổi, các chỉ tiêu về D0, HVN và DT cây Keo lá liềm trồng tại chu kỳ 2 trên dạng lập địa III1 (BCcH2KT5) tại Cẩm Xuyên (Hà Tĩnh) chưa có sự khác nhau rõ giữa các CTTN với nhau và giữa các CTTN so với đối chứng. D0 dao động từ 2,86 ± 0,72 cm (CT1) đến 3,15 ± 0,94 cm (ĐC), CV%: 25,2 - 29,8%; HVN đạt từ 0,83 ± 0,22m (ĐC) đến 0,97 ± 0,27m (CT2), CV%: 26,5 - 30,6%; DT đạt từ 1,17 ±
0,34 m đến 1,28 ± 0,24 (0,29) m (CT2 và CT3), CV%: 18,8 - 29,1%.
Tháng tuổi | CTTN | D0 (cm) TB (sd) | Hvn (m) TB (sd) | Dt (m) TB (sd) | ∆D0 (cm/năm) | ∆Hvn (m/năm) | ∆Dt (m/năm) |
12 | ĐC | 3,15a (0,94) | 0,83b (0,22) | 1,25a (0,31) | 3,15 | 0,83 | 1,25 |
CT1 | 2,86a (0,72) | 0,85ab (0,26) | 1,17a (0,34) | 2,86 | 0,85 | 1,17 | |
CT2 | 3,01a (0,77) | 0,97a (0,27) | 1,28a (0,24) | 3,01 | 0,97 | 1,28 | |
CT3 | 3,04a (0,88) | 0,90ab (0,26) | 1,28a (0,29) | 3,04 | 0,90 | 1,28 | |
19 | ĐC | 4,58a (1,61) | 1,77a (0,49) | 2,09a (0,41) | 2,86 | 1,11 | 1,30 |
CT1 | 4,48a (1,01) | 1,91a (0,46) | 2,05a (0,35) | 2,80 | 1,20 | 1,28 | |
CT2 | 5,04a (1,46) | 1,94a (0,45) | 2,12a (0,33) | 3,15 | 1,21 | 1,32 | |
CT3 | 4,38a (1,31) | 1,70a (0,48) | 1,97a (0,30) | 2,74 | 1,06 | 1,23 | |
24 | ĐC | 5,46a (1,51) | 2,19a (0,51) | 2,57ab (0,49) | 2,73 | 1,09 | 1,29 |
CT1 | 5,33a (0,93) | 2,44a (0,55) | 2,58ab (0,44) | 2,67 | 1,22 | 1,29 | |
CT2 | 5,62a (1,31) | 2,36a (0,51) | 2,68a (0,44) | 2,81 | 1,18 | 1,34 | |
CT3 | 5,26a (1,45) | 2,15a (0,48) | 2,33b (0,41) | 2,63 | 1,08 | 1,17 |
Bảng 3.19. Sinh trưởng đường kính gốc, chiều cao và đường kính tán cây Keo lá liềm trồng trên nhóm dạng lập địa III1 tại Cẩm Xuyên
Ghi chú: Giá trị trong ngoặc kép tương ứng với sai tiêu chuẩn (sd). Trong cùng một cột các giá trị có mẫu ký tự (a, b, c, ab, bc, …) giống nhau thì chưa có sự sai khác; ngược lại, các giá trị có mẫu ký tự khác nhau là có sự sai khác nhau có ý nghĩa thống kê ở mức độ tin cậy 95%.
Tương tự, các chỉ tiêu sinh trưởng (D0, HVN, DT) của cây Keo lá liềm chưa có sự khác nhau rõ giữa các CTTN ở giai đoạn 19 và 24 tháng tuổi. ∆D0 = 2,74 - 3,15 cm/năm; ∆HVN = 1,06 - 1,21 m/năm và ∆DT = 1,23 - 1,32 m/năm (19 tháng tuổi);
∆D0 = 2,63 - 2,81 cm/năm; ∆HVN = 1,08 - 1,22 m/năm và ∆DT = 1,17 - 1,34 m/năm
(24 tháng tuổi).
Như vậy, các chỉ tiêu sinh trưởng đường kính gốc, chiều cao cây và đường kính tán cây Keo lá liềm trồng tại chu kỳ 2 sau khi đã khai thác lâm phần rừng trồng Keo lá tràm trên nhóm dạng lập địa III1 chưa có sự khác nhau có ý nghĩa thống kê ở mức độ tin cậy 95% giữa các CTTN nghiên cứu.
Hình 3.8. Giá trị sinh trưởng D0, HVN, DT và sai tiêu chuẩn tương ứng của cây Keo lá liềm trồng trên nhóm dạng lập địa III1 tại Cẩm Xuyên |
Ở giai đoạn 12 tháng tuổi, cây Keo lá liềm có số thân chính dao động từ 3,28 ± 0,17 thân/cây (trung bình ± sd) ở CT3 đến 4,50 ± 0,17 thân/cây (CT1). Kết quả phân tích hậu định cho thấy, số thân chính/cây ở các CT1 ~ ĐC, CT2 ~ ĐC và CT2 ~ CT1 chưa có sự nhau rõ ở mức độ tin cậy 95% (p = 0,71 - 0,98). Tuy nhiên, ở CT3 có số thân chính/cây ít hơn có ý nghĩa so với các công thức còn lại, bình quân ở CT3 có 3,28 thân/cây, ít hơn ý nghĩa 1,22 thân/cây (KTC 95%: 0,44 - 2,00 thân/cây, p = 0,00046) so với CT1 (4,50 ± 0,17 thân/cây); ít hơn ý nghĩa 0,98 thân/cây (KTC 95%: 0,32 - 1,65 thân/cây, p =0,00091) so với CT2 (4,27 ± 0,17 thân/cây); và ít hơn ý nghĩa 0,88 thân/cây (KTC 95%: 0,20 - 1,56 thân/cây) so với ĐC (4,16 ± 0,28 thân/cây, p = 0,0054).
Ở giai đoạn 19 tháng tuổi, số thân chính của cây Keo lá liềm có sự khác nhau rõ ở mức độ tin cậy 95% ở các CTTN so với đối chứng, còn lại các CTTN với nhau (CT3 ~ CT1, CT3 ~ CT2 và CT2 ~ CT1) là chưa có sự khác nhau rõ. Số thân chính bình quân dao động từ 1,42±0,11 thân/cây (CT3) đến 1,79±0,24 thân/cây (CT1). Trong khi đó, số thân chính bình quân đạt 2,68±0,25 thân/cây (ĐC), cao hơn ý nghĩa từ 0,89 thân/cây (CT1) đến 1,26 thân/cây (CT3) (p = 0,000004 - 0,007). Đến giai đoạn 24 tháng tuổi, số thân chính của cây Keo lá liềm chưa có sự khác nhau rõ giữa các CTTN với nhau và so với đối chứng, bình quân có từ 1,40±0,11 thân/cây (CT3) đến 1,88±0,13 thân/cây (ĐC).
Tháng tuổi | CTTN | Tỷ lệ sống (%) | Thân chính (thân) TB (sd) | Số cành > 50 cm (cành/cây) TB (sd) | Lượng vật rơi rụng (kg/cây) | Tỷ lệ phân thân (%) |
12 * | ĐC | 100a | 4,16a (1,68) | 1,03a (0,73) | 0,15a (0,13) | 100a |
CT1 | 100a | 4,50a (0,83) | 1,00a (0,42) | 0,14a (0,10) | 100a | |
CT2 | 100a | 4,27a (1,10) | 1,49a (0,68) | 0,14a (0,10) | 100a | |
CT3 | 100a | 3,28a (1,03) | 1,08a (0,27) | 0,15a (0,13) | 100a | |
19 | ĐC | 82,1b | 2,68a (1,25) | 0,64b (0,34) | 0,23a (0,20) | 76,0b |
CT1 | 90,5ab | 1,79b (1,03) | 1,11b (0,74) | 0,22a (0,11) | 94,7a | |
CT2 | 90,5b | 1,66b (0,61) | 2,93a (1,28) | 0,25a (0,19) | 100a | |
CT3 | 96,9a | 1,42b (0,62) | 2,84a (1,29) | 0,21a (0,17) | 100a | |
24 | ĐC | 78,1ab | 1,88a (0,75) | 19,38a (5,91) | 0,27a (0,16) | 93,8a |
CT1 | 87,4a | 1,64ab (0,63) | 22,43a (7,44) | 0,27a (0,11) | 100a | |
CT2 | 78,4ab | 1,72ab (0,58) | 21,38a (5,82) | 0,28a (0,16) | 96,9a | |
CT3 | 92,7a | 1,46b (0,66) | 21,09a (6,72) | 0,26a (0,19) | 97,1a |
Bảng 3.20. Tỷ lệ sống, số thân chính, số cành trên 50cm và lượng vật rơi rụng của cây Keo lá liềm trồng trên nhóm dạng lập địa III1 tại Cẩm Xuyên
Ghi chú: * sau trồng 6 tháng có tiến hành trồng dặm những cây mất, cây chết. Trong cùng một cột các giá trị có mẫu ký tự (a, b, c, ab, bc, …) giống nhau thì chưa có sự sai khác; ngược lại, các giá trị có mẫu ký tự khác nhau là có sự sai khác nhau có ý nghĩa thống kê ở mức độ tin cậy 95%.
Bình quân số cành dài trên 50cm dao động từ 1,03 ± 0,12 cành/cây (ĐC) đến 1,49±0,11 cành/cây (CT2) và có sự khác nhau rõ ở các CTTN: CT2 ~ CT1, CT3 ~ CT2 và CT2 ~ ĐC, còn lại là chưa có sự khác biệt rõ ở giai đoạn 15 tháng tuổi. Số cành dài trên 50 cm tăng lên từ 0,64±0,13 cành/cây (ĐC) đến 2,93±0,24 cành/cây (CT2) và có sự khác nhau rõ ở các CTTN: CT2 ~ CT1, CT3 ~ CT1, ĐC ~ CT2 và ĐC ~ CT3; còn lại là chưa có sự khác nhau rõ ở giai đoạn 19 tháng tuổi. Đến giai đoạn 24 tháng tuổi, số cành dài trên 50 cm có sự tăng trưởng rất mạnh, bình quân có từ 19,38±1,05 cành/cây (ĐC) đến 22,43±1,99 cành/cây (CT1), nhưng số cành dài trên 50 cm chưa có sự khác nhau rõ ở mức độ tin cậy 95% giữa các CTTN với nhau và so với đối chứng.
Hình 3.9. Số thân chính, số cành >50 cm và vật rơi rụng của cây Keo lá liềm trồng trên dạng lập địa III1 ở thời điểm 12, 19 và 24 tháng tuổi tại Cẩm Xuyên |
3.3.3. Sinh trưởng cây Keo lá liềm và Keo lá tràm trên nhóm dạng lập địa III1
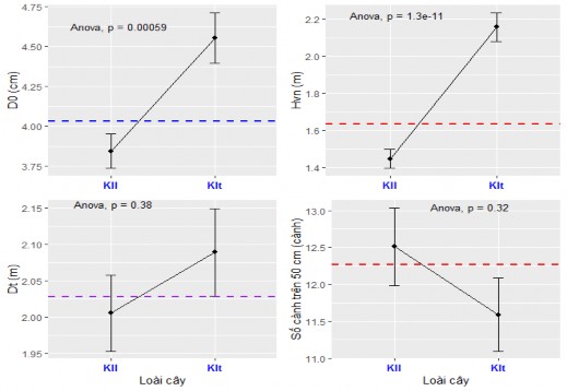
Bảng 3.21. Một số chỉ tiêu sinh trưởng cây Keo lá liềm và Keo lá tràm ở giai đoạn 27 tháng tuổi trồng trên nhóm dạng lập địa III1 tại Lệ Thủy
Loài cây | P-value | |||
Keo lá liềm (CT1) | Keo lá tràm (CT2) | CT1 vs. CT2 | ||
D0 (cm) | TB | 3,82a | 4,55b | 0,00059 |
CV (%) | 27,5 | 20,2 | ||
Hvn (m) | TB | 1,45a | 2,16b | < 0,0001 |
CV (%) | 33,8 | 20,8 | ||
Dt (m) | TB | 2,00a | 2,09a | 0,381 |
CV (%) | 24,5 | 16,7 | ||
∆D0 (cm/năm) | TB | 1,66a | 1,98b | 0,00058 |
∆Hvn (m/năm) | TB | 0,63a | 0,94b | < 0,0001 |
∆Dt (m/năm) | TB | 0,87a | 0,91a | 0,298 |
Số thân chính (thân) | TB | 2,1a | 1,0b | < 0,0001 |
CV (%) | 41,0 | 0,0 | ||
Số cành trên 50cm (cành) | TB | 12,3a | 11,6a | 0,327 |
CV (%) | 42,3 | 24,8 |
Ở giai đoạn 27 tháng tuổi, D0 cây Keo lá tràm đạt 4,55 ± 0,16cm, cao hơn ý nghĩa 0,74cm (KTC 95%: 0,33 - 1,15 cm, p = 0,000547) so với cây Keo lá liềm (3,82
± 1,05cm). Tương tự, HVN cây Keo lá tràm đạt 2,16 ± 0,08 m, cao hơn ý nghĩa 0,71 m (KTC 95%: 0,52 - 0,90m, p < 0,001) so với cây Keo lá liềm (1,45 ± 0,49m). DT từ 2,09 ± 0,35cm (Keo lá tràm) đến 2,00 ± 0,49cm (Keo là liềm), chưa có sự khác nhau rõ (p = 0,313). Lượng tăng trưởng bình quân chung về D0, HVN, DT tương ứng đạt 1,66cm/năm : 0,63m/năm : 0,87m/năm (Keo lá liềm) đến 1,98 cm : 0,94m/năm : 0,91m/năm (Keo lá tràm).
Hình 3.10. Phân tích thống kê một số chỉ tiêu sinh trưởng của cây Keo lá liềm và Keo lá tràm ở giai đoạn 27 tháng tuổi trên nhóm dạng lập địa III1 tại Lệ Thủy |
Số cành trên 50cm/cây bình quân chưa có sự khác nhau rõ giữa cây Keo lá liềm và Keo lá tràm (p = 0,474). Ở giai đoạn 27 tháng tuổi, bình quân có 12,3 cành có chiều dài trên 50cm/cây (Keo lá liềm) và có 11,6 cành dài trên 50cm/cây (Keo lá tràm), CV%: 24,8% (Keo lá tràm) - 42,3% (Keo lá liềm).
Như vậy, trên cùng dạng lập địa III1, các chỉ tiêu sinh trưởng đường kính gốc và chiều cao cây có sự khác nhau rõ rệt giữa cây Keo lá liềm và cây Keo lá tràm. Tuy nhiên, chỉ tiêu đường kính tán và số cành dài trên 50cm chưa có sự khác nhau rõ rệt.
3.3.4. Ảnh hưởng của cây trồng phù trợ và vị trí trồng (trước và sau đai rừng Phi lao đã có) đến sinh trưởng cây Phi lao trồng trên nhóm dạng lập địa III2
Các chỉ tiêu sinh trưởng (về D0, HVN, DT) và số cành dài trên 50cm của cây Phi lao có sự khác nhau rõ ở mức độ tin cậy 95% khi trồng trên nhóm dạng lập địa III2 (BCH1AnT1) trước đai rừng và sau đai rừng Phi lao đã có. D0 bình quân đạt cao nhất ở
CT3 (2,24 ± 0,10cm), cao hơn ý nghĩa 0,95 cm (KTC 95%: từ 0,63 - 1,27 cm, p < 0,0001) so với CT2 (1,29 ± 0,30cm), CV%: từ 23,3 - 27,7%. HVN đạt 1,58 ± 0,63m (CT3), cao hơn ý nghĩa 0,86 m (KTC 95%: 0,53 - 1,20 m, p < 0,0001) so với CT2 (0,71 ± 0,38m),
CV%: 39,9 - 53,5%. DT bình quân đạt 1,41 ± 0,36m (CT3) cao hơn ý nghĩa 0,40m (KTC 95%: 0,19 - 0,62m, p = 0,00049) so với CT2 (1,01 ± 0,38m), CV%: 25,5 - 37,6%. Tỷ lệ
sống đạt từ 38,3% (CT2) đến 78,8% (CT3); công thức đối chứng 100% cây Phi lao bị chết sau trồng 24 tháng tuổi do sóng biển đánh cuốn trôi cây trồng mặc dù đã được trồng dặm định kỳ. Số cành dài trên 50cm của cây Phi lao ở CT3 bình quân đạt 8,46 ± 8,09 cành/cây, cao hơn ý nghĩa 5,81 cành/cây (KTC 95%: từ 1,73 - 9,88 cành/cây, p = 0,0061) so với CT2 (2,65 ± 2,85 cành/cây), CV%: 95,6 - 107,5% (Bảng 3.22).
Chỉ tiêu | Công thức thí nghiệm | |||
Đối chứng (CT1) | Trước đai rừng PL + 1 hàng dứa (CT2) | Sau đai rừng PL ven biển (CT3) | P.value (CT2 vs. CT3) | |
Tỷ lệ sống (%) | 0 | 38,3 | 78,8 | < 0,0001 |
D0 (sd) (cm) | - | 1,29b (0,30) | 2,24a (0,62) | < 0,0001 |
HVN (sd) (m) | - | 0,74b (0,34) | 1,58a (0,63) | < 0,0001 |
DT (sd) (m) | - | 1,01b (0,38) | 1,41a (0,36) | 0,00049 |
∆D0 (cm/năm) | - | 0,65 | 1,12 | < 0,0001 |
∆HVN (m/năm) | - | 0,37 | 0,79 | < 0,0001 |
∆DT (m/năm) | - | 0,50 | 0,71 | 0,00046 |
Số cành trên 50cm (cành) sd) | - | 2,65b (2,85) | 8,46a (8,09) | 0,0061 |
Bảng 3.22. Sinh trưởng đường kính gốc, chiều cao và đường kính tán cây Phi lao 24 tháng tuổi trồng trên dạng lập địa III2 tại Cẩm Xuyên
Kết quả phân tích biểu đồ hộp cho thấy, có tới 75% đối tượng cây Phi lao điều tra trồng phía sau đai rừng có sinh trưởng chiều cao cây, đường kính tán và số cành dài trên 50cm đạt HVN ≤ 1,87m, DT ≤ 1,55m và số cành dài trên 50cm ≤ 9,5 cành/cây. Trong khi đó, có 75% đối tượng cây Phi lao trồng phía trước đai rừng có các chỉ tiêu sinh trưởng lần lượt là HVN ≤ 0,80m, DT ≤ 1,2m và số cành dài trên 50cm ≤ 4,0 cành/cây; đều thấp hơn đáng kể so với vị trí trồng phía sau đai rừng. Điều đó khẳng định thêm rằng, việc trồng gia cố, bổ sung thêm các hàng Phi lao phía trước và phía sau đai rừng có ảnh hưởng rõ rệt bởi tác dụng của đai rừng Phi lao đã có (Hình 3.12).
Hình 3.11. Phân tích thống kê một số chỉ tiêu sinh trưởng cây Phi lao trồng trên dạng lập địa III2 tại Cẩm Xuyên |

Hình 3.12. Thí nghiệm trồng hàng Dứa dại kết hợp trồng bổ sung cây Phi lao
3.3.5. Ảnh hưởng của phân bón lót kết hợp chất giữ ẩm đến sinh trưởng cây Keo lá liềm trên nhóm dạng lập địa III3
a) Tại Lệ Thủy
Ở giai đoạn 15 tháng tuổi, các chỉ tiêu sinh trưởng về D0, HVN, DT cây Keo lá liềm chưa có sự khác nhau rõ giữa các CTTN so với đối chứng và giữa các CTTN với nhau. Thời điểm 27 tháng tuổi, giữa CT2 và CT3 sinh trưởng đường kính gốc chưa có sự khác nhau rõ so với đối chứng, với độ tin cậy 95% [p = 0,2649 (ĐC ~ CT2) và p
= 0,50434 (ĐC ~ CT3)]. Ở CT3, D0 đạt 4,52±1,43 cm, cao hơn có ý nghĩa 1,07 cm











