(KTC 95%: 0,44 - 1,57 cm) so với CT1 (3,52±1,37cm, p = 0,0000378). HVN giữa CT3
có sự khác nhau rõ so với đối chứng và CT1, CT2.
Tháng tuổi | CTTN | D0 (cm) TB (sd) | Hvn (m) TB (sd) | Dt (m) TB (sd) | ∆D0 (cm/năm) | ∆Hvn (m/năm) | ∆Dt (m/năm) |
15 | ĐC | 2,60a (0,78) | 0,99a (0,25) | 1,06a (0,25) | 2,00 | 0,76 | 0,81 |
CT1 | 2,66a (0,67) | 0,90a (0,22) | 1,07a (0,25) | 2,05 | 0,69 | 0,82 | |
CT2 | 2,70a (0,58) | 0,97a (0,21) | 1,16a (0,24) | 2,08 | 0,74 | 0,89 | |
CT3 | 2,61a (0,67) | 0,94a (0,23) | 1,08a (0,28) | 2,00 | 0,72 | 0,83 | |
27 | ĐC | 4,19ab (0,79) | 1,50b (0,44) | 1,91b (0,33) | 1,82 | 0,65 | 0,83 |
CT1 | 3,52c (1,37) | 1,47b (0,45) | 1,99b (0,48) | 1,53 | 0,64 | 0,86 | |
CT2 | 3,77bc (1,37) | 1,58b (0,51) | 2,06b (0,46) | 1,64 | 0,69 | 0,89 | |
CT3 | 4,52a (1,43) | 1,92a (0,58) | 2,20a (0,44) | 1,97 | 0,83 | 0,96 |
Có thể bạn quan tâm!
-
Sinh Trưởng Các Loài Cây Trồng Rừng Phòng Hộ Trên Một Số Dạng Lập Địa Vùng Cát Ven Biển -
Ảnh Hưởng Biện Pháp Kỹ Thuật Trồng Rừng Phòng Hộ Trên Một Số Nhóm Dạng Lập Địa Vùng Cát Ven Biển -
Ảnh Hưởng Của Phân Bón Lót Kết Hợp Chất Giữ Ẩm Đến Sinh Trưởng Cây Keo Lá Liềm Trên Nhóm Dạng Lập Địa Iii1 -
Ảnh Hưởng Của Dạng Lập Địa Trồng Rừng Đến Sinh Trưởng Cây Keo Lá Liềm -
Một Số Đặc Điểm Đai Rừng Keo Lá Liềm Ở Giai Đoạn 14 Tháng Tuổi Được Bố Trí Thí Nghiệm Hiệu Năng Chắn Cát -
Cấu Trúc Sinh Khối Khô Lâm Phần Rừng Keo Lá Liềm
Xem toàn bộ 207 trang tài liệu này.
Bảng 3.23. Sinh trưởng đường kính gốc, chiều cao và đường kính tán cây Keo lá liềm trồng trên lập địa III3 tại Lệ Thủy
HVN bình quân ở CT3 đạt 1,92 ± 0,58m, cao hơn có ý nghĩa 0,45m, dao động từ 0,23 - 0,67cm so với CT1 (p=0,0000017), cao hơn 0,34 m (KTC 95%: 0,13 -
0,55m) so với CT2 (p = 0,00024), và cao hơn 0,42m (KTC 95%: 0,18 - 0,66m) so với ĐC. DT bình quân ở CT3 đạt 2,20 ± 0,44m, cao hơn ĐC 0,29m (1,91 ± 0,33m, p
= 0,0019, KTC 95%: 0,08 - 0,49m) và cao hơn CT1 0,21m (1,99 ± 0,48m, p= 0,0202, KTC 95%: 0,02 - 0,40m).
Hình 3.13. Biểu đồ hộp phân bố chỉ tiêu sinh trưởng đường kính gốc, chiều cao và đường kính tán cây Keo lá liềm trên nhóm dạng lập địa III3 tại Lệ Thủy |
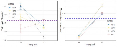
Số lượng thân chính, số cành trên 50cm và lượng vật rơi rụng hoàn trả cho đất
của cây Keo lá liềm tại Lệ Thủy chưa có sự khác nhau rõ giữa các CTTN so với đối chứng, bình quân từ 2,41±1,05 thân/cây (CT1) đến 2,68±1,27 thân/cây (ĐC) (p = 0,727
- 0,983). Số cành trên 50cm bình quân từ 1,65 ± 0,77 cành trên 50cm/cây (CT1) đến 1,99
± 0,95 cành trên 50cm/cây (CT2), chưa có sự khác rõ (p = 0,243 - 0,999).
Tháng tuổi | CTTN | Tỷ lệ sống | Thân chính (sd) | Số cành > 50 cm (sd) | Tỷ lệ phân thân | ||||
TB (%) | P- value | TB (thân) | P- value | TB (cành/cây) | P- value | TB %) | P- value | ||
15 | ĐC | 100a | 0,07 | 2,68a (1,27) | 0,751 | 1,91a (0,79) | 0,292 | 35,3a | 0,487 |
CT1 | 100a | 2,41a (1,05) | 1,65a (0,77) | 20,6a | |||||
CT2 | 91,9ab | 2,59a (1,07) | 1,99a (0,95) | 26,5a | |||||
CT3 | 90,1b | 2,53a (0,95) | 1,93a (0,84) | 23,1a | |||||
27 | ĐC | 82,0b | 0,0327 | 1,50b (0,65) | 0,01 | 11,84b (4,24) | 0,0313 | 90,0ab | < 0,001 |
CT1 | 91,8a | 2,00a (0,78) | 13,73ab (5,24) | 67,2c | |||||
CT2 | 92,0a | 1,91a (0,92) | 12,40b (5,85) | 78,8bc | |||||
CT3 | 96,2a | 1,83a (0,88) | 14,33a (5,59) | 94,7a | |||||
Bảng 3.24. Tỷ lệ sống, số thân chính, số cành trên 50cm và lượng vật rơi rụng của cây Keo lá liềm trồng trên nhóm dạng lập địa III3 tại Lệ Thủy
Ở giai đoạn 27 tháng tuổi, số thân chính/cây ở CT1 và CT2 có sự khác nhau rõ so với đối chứng, còn lại giữa các công thức chưa có sự khác nhau rõ. Bình quân số thân chính ở CT1 là 2,00 ± 0,78 thân/cây, cao hơn 0,5 thân/cây, KTC 95%: 0,10 - 0,90 thân chính/cây so với đối chứng (1,50±0,65 thân/cây) (p = 0,00751). Ở CT2 số lượng thân chính đạt 1,91 ± 0,92 thân/cây, cao hơn ý nghĩa 0,41 thân/cây, KTC 95%: 0,03 - 0,79 thân/cây so với đối chứng (p = 0,0308). Tuy nhiên, số cành dài trên 50cm/cây giữa các CTTN so với đối chứng và giữa các CTTN với nhau chưa có sự khác nhau rõ với độ tin cậy 95%, bình quân có từ 11,84 ± 4,24 cành/cây (ĐC) đến 14,33 ± 5,59 cành/cây (CT3).
Hình 3.14. Phân tích thống kê chỉ tiêu số thân chính, cành trên 50cm và lượng vật rơi rụng của cây Keo lá liềm ở giai đoạn 15 và 27 tháng tuổi tại Lệ Thủy |
b) Tại Triệu Phong
Ở giai đoạn 14 tháng tuổi, D0 của cây Keo lá liềm trồng trên dạng lập địa III3 chưa có sự khác nhau rõ giữa các CTTN so với đối chứng. Tuy nhiên, ở CT3, D0 đạt bình quân 2,67 ± 0,81cm, cao hơn có ý nghĩa 0,37cm (KTC 95%: 0,06 - 0,67cm) so với CT2 (2,31 ± 0,77cm, p = 0,010). HVN ở CT3 đạt 0,95 ± 0,33m, cao hơn ý nghĩa 0,25m (KTC 95%: 0,07 - 0,42m) so với đối chứng (0,71 ± 0,24m, p = 0,00227) và cao hơn ý nghĩa 0,19m (KTC 95%: 0,08 - 0,30m) so với CT2 (0,76 ± 0,20m, p = 0,0000615). DT
bình quân ở CT3 đạt 1,16 ± 0,40m, cao hơn ý nghĩa 0,34m (KTC 95%: 0,12 - 0,56m) so với đối chứng (0,82 ± 0,30m, p = 0,00039) và cao hơn ý nghĩa 0,26cm (KTC 95%: 0,12
- 0,39cm) so với CT2 (0,91 ± 0,30m, p <0,001).
Bảng 3.25. Sinh trưởng đường kính gốc, chiều cao và đường kính tán cây Keo lá liềm trồng trên nhóm dạng lập địa III3 tại Triệu Phong
CTTN | D0 (sd) (cm) | Hvn (sd) (m) | Dt (sd) (m) | ∆D0 (cm/năm) | ∆Hvn (m/năm) | ∆Dt (m/năm) | |
14 | ĐC | 2,20b (0,58) | 0,71c (0,24) | 0,82c (0,30) | 1,83 | 0,59 | 0,68 |
CT1 | 2,58ab (0,69) | 0,86b (0,25) | 1,04b (0,25) | 2,15 | 0,72 | 0,87 | |
CT2 | 2,31b (0,77) | 0,76bc (0,20) | 0,91c (0,30) | 1,92 | 0,64 | 0,75 | |
CT3 | 2,67a (0,81) | 0,95a (0,33) | 1,16a (0,40) | 2,23 | 0,80 | 0,97 | |
27 | ĐC | 3,09c (1,47) | 1,38b (0,40) | 1,75c (0,33) | 1,37 | 0,63 | 0,82 |
CT1 | 3,22c (0,94) | 1,42b (0,46) | 1,85c (0,48) | 1,43 | 0,61 | 0,78 | |
CT2 | 3,71b (1,55) | 1,62a (0,63) | 2,05b (0,54) | 1,65 | 0,72 | 0,91 | |
CT3 | 4,48a (1,58) | 1,78a (0,52) | 2,45a (0,41) | 2,17 | 0,79 | 1,09 |
Ghi chú: Giá trị trong ngoặc tương ứng với sai tiêu chuẩn (SD - Standard deviation). Trong cùng một cột các giá trị có mẫu ký tự (a, b, c, ab, …) giống nhau thì chưa có sự sai khác; ngược lại, các giá trị có mẫu ký tự khác nhau là có sự sai khác nhau có ý nghĩa thống kê ở mức độ tin cậy 95%.
Ở giai đoạn 27 tháng tuổi, chỉ tiêu D0, HVN, DT của cây Keo lá liềm có sự khác nhau rõ với độ tin cậy 95% giữa các CTTN và so với đối chứng. Các chỉ tiêu bình quân của CT3 đều cao hơn có ý nghĩa so với các CTTN và so với đối chứng. D0 bình quân ở CT3 đạt 4,48 ± 1,58cm, cao hơn ý nghĩa 1,26cm (KTC 95%: 0,43 - 2,08cm) so với CT1 (3,22 ± 0,94cm, p = 0,0006064); cao hơn 0,76cm (KTC 95%: 0,05 - 1,48cm) so với CT2
(3,71 ± 1,55cm, p = 0,03185) và cao hơn ý nghĩa 1,39cm (KTC 95%: 0,58 - 2,19cm) so với đối chứng (3,09 ± 1,47m, p = 0,000067). Ngoài ra, giữa CT3 và CT2 khác nhau 0,63cm (KTC 95%: 0,11 - 1,14cm, p = 0,0094).
Hình 3.15. Một số chỉ tiêu sinh trưởng cây Keo lá liềm trồng trên nhóm dạng lập địa III3 ở giai đoạn 14 và 27 tháng tuổi tại Triệu Phong |
DT ở CT3 cao hơn rõ rệt so với các công thức thí nghiệm và so với đối chứng, bình quân ở CT3 đạt 2,45 ± 0,41m, cao hơn 0,69m (KTC 95%: 0,42 - 0,96m) so với đối chứng (1,75 ± 0,33m, p < 0,001); cao hơn 0,59cm (KTC 95%: 0,33 - 0,85m) so với CT1 (1,85 ± 0,48m, p < 0,001) và cao hơn ý nghĩa 0,38m (KTC 95%: 0,15 - 0,62m) so với CT2 (2,05 ± 0,54m, p = 0,0001461).
Tăng trưởng bình quân chung về đường kính gốc có xu hướng giảm khi tuổi tăng ở các CTTN và ở các địa phương. Ở 15 tháng tuổi, ∆D0 đạt từ 2,00 - 2,08cm/năm, giảm xuống còn từ 1,53 - 1,97cm/năm ở giai đoạn 27 tháng tuổi tại Lệ Thủy và đạt từ 1,83 - 2,23cm/năm (15 tháng tuổi), giảm xuống còn từ 1,37 - 2,17cm/năm tại Triệu Phong. Điều này thực sự chưa phù hợp với các kết quả nghiên cứu đối với cây Keo lá liềm và các loài Keo nói chung, giai đoạn sinh trưởng tăng dần kể cả đường kính và
chiều cao tăng dần theo quy luật sinh trưởng cá thể thì sau 7 - 8 năm tuổi trở lên (tùy theo loài) lượng tăng trưởng bình quân hàng năm mới chậm lại. Tuy nhiên, lượng tăng trưởng bình quân chung (về D0, HVN và DT) giữa CTTN ở các thời điểm đo đếm khác nhau và giữa các địa phương chưa thấy sự khác nhau rõ (p = 0,067 - 0,953). Hơn nữa, do điều kiện khó khăn trong công tác trồng rừng phòng hộ vùng cát, nên việc trồng dặm sau giai đoạn 14 tháng tuổi vẫn được triển khai để đảm bảo mật độ cần thiết cho các đai rừng. Vì vậy, trong quá trình theo dõi đo đếm khó tránh khỏi những cá thể cây Keo lá liềm trồng dặm vẫn được đánh giá chung cho toàn bộ số cây trong OTC nghiên cứu. Cho nên, lượng tăng trưởng bình quân chung của cây Keo lá liềm ở giai đoạn 14 tháng tuổi có cao hơn, nhưng chưa có sự khác biệt có ý nghĩa thống kê so với giai đoạn 27 tháng tuổi. Kết quả này vẫn đảm bảo tính khoa học cần thiết cũng như quy luật sinh trưởng cây cá thể và lâm phần Keo lá liềm nghiên cứu.
Hình 3.16. Cây Keo lá liềm trồng trên nhóm dạng lập địa III3 tại Triệu Phong Ở giai đoạn 14 tháng tuổi, số thân chính/cây ở CT3 và CT1 có sự khác biệt rõ
so với đối chứng. Bình quân số thân chính ở CT2 đạt 3,55 ± 1,54 thân chính/cây, cao
hơn ý nghĩa 1,39 thân/cây (KTC 95%: 0,48 - 2,31 thân chính/cây) so với đối chứng (2,16 ± 1,12 thân chính/cây, p = 0,00058). Ở CT1, số thân chính bình quân đạt 3,49 ± 1,32 thân/cây, cao hơn ý nghĩa 1,33 thân/cây (KTC 95%: 0,33 - 2,33 thân/cây) so với đối chứng (p = 0,0037). Ngoài ra, số thân chính ở CT3 cao hơn ý nghĩa 0,69 thân/cây (KTC 95%: 0,14 - 1,26 thân/cây) so với CT2 (2,86 ± 1,38 thân/cây, p=0,0081).
Số cành trên 50cm ở CT3 và CT1 đều cao hơn có ý nghĩa so với đối chứng. Trung bình số cành trên 50cm ở CT3 đạt 2,32 ± 1,17 cành/cây, cao hơn ý nghĩa 1,06 cành/cây (KTC 95%: 0,36 - 1,75 cành/cây) so với đối chứng (1,26 ± 0,81 cành/cây, p
= 0,0006729). CT1 có 2,30 ± 1,08 cành/cây, cao hơn ý nghĩa 1,03 cành/cây (KTC 95%: 0,27 - 1,79 cành/cây) so với đối chứng (p = 0,00298). Ngoài ra, số lượng cành trên 50cm/cây ở CT3 cao hơn ý nghĩa 0,54 cành/cây (KTC 95%: 0,11 - 0,97 cành/cây) so
với CT2 (p=0,00623). Lượng vật rơi rụng ở các CTTN chưa có sự khác nhau rõ so với đối chứng, nhưng ở CT3 đạt 0,13 ± 0,04 kg/cây, cao hơn ý nghĩa 0,02 kg/cây (KTC 95%: 0,002 - 0,03 kg/cây) so với CT2 (0,11 ± 0,04kg/cây, p = 0,019).
Bảng 3.26. Tỷ lệ sống, số thân chính, số cành trên 50cm và lượng vật rơi rụng của cây Keo lá liềm trồng trên lập địa III3 tại Triệu Phong
CTTN | Tỷ lệ sống (%) | Thân chính (thân) | Số cành > 50 cm (cành/cây) | Tỷ lệ phân thân (%) | |||||
TB | P- value | TB (sd) | P-value | TB (sd) | P- value | TB | P- value | ||
14 | ĐC | 66,0b | < 0,001 | 2,16b (1,12) | < 0,001 | 1,26b (0,81) | < 0,001 | 26,3a | 0,0288 |
CT1 | 97,9a | 3,49a (1,32) | 2,30a (1,08) | 21,3a | |||||
CT2 | 94,7a | 2,86b (1,38) | 1,77b (1,00) | 5,6b | |||||
CT3 | 95,6a | 3,55a (1,54) | 2,32a (1,17) | 12,7ab | |||||
27 | ĐC | 62,3b | < 0,001 | 1,67c (0,65) | 0,000313 | 12,96a (4,11) | < 0,001 | 75,8a | < 0,001 |
CT1 | 87,7a | 2,33ab (0,84) | 9,95b (3,01) | 37,5b | |||||
CT2 | 88,2a | 2,56a (1,23) | 9,97b (3,28) | 42,7b | |||||
CT3 | 93,3a | 2,25b (0,97) | 12,90a (6,51) | 61,3a |
Ở giai đoạn 27 tháng tuổi, số lượng thân chính giữa các CTTN đều có sự khác nhau rõ so với đối chứng, trung bình ở CT3 đạt 2,25 ± 0,97 thân/cây, cao hơn 0,58 thân/cây (KTC 95%: 0,11 - 1,06 thân/cây) so với đối chứng (1,70 ± 0,65 thân/cây, p
= 0,0084). Ở CT2 đạt 2,56 ± 1,23 thân/cây, cao hơn ý nghĩa 0,89 thân/cây (KTC 95%: 0,36 - 1,42 thân/cây) so với đối chứng (p = 0,00010). Ở CT1 trung bình đạt 2,33 ± 0,84 thân/cây, cao hơn ý nghĩa 0,66 thân/cây (KTC 95%: 0,12 - 1,21 thân/cây) so với đối chứng (p = 0,010).
Hình 3.17. Chỉ tiêu số thân, cành dài trên 50cm của cây Keo lá liềm trồng trên nhóm dạng lập địa III3 tại Triệu Phong |
Số cành trên 50cm/cây ở CT2 và CT3 thấp hơn có ý nghĩa thống kê so với đối
chứng, ở CT3 bình quân đạt 9,97 ± 3,28 cành/cây, thấp hơn 2,99 cành/cây (KTC 95%: 1,07 - 4,79 cành/cây) so với đối chứng (12,60 ± 4,11 cành/cây, p = 0,0428). Tương tự, ở CT1 bình quân đạt 9,95 ± 3,01 cành/cây, thấp hơn 3,02 cành/cây (KTC 95%: 0,01 - 6,02 cành/cây) so với đối chứng (p = 0,04889). Ngoài ra, số cành trên 50cm/cây ở CT3 đều cao hơn có ý nghĩa thống kê so với CT1 và CT2 từ 2,92 - 2,94 cành/cây.
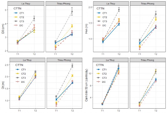
Hình 3.18. Sinh trưởng cây Keo lá liềm trồng trên nhóm dạng lập địa III3 tại Lệ Thủy và Triệu Phong ở thời điểm T1 (14, 15 tháng tuổi) và T2 (27 tháng tuổi) |
Như vậy, ở giai đoạn 14 tháng tuổi (tại Triệu Phong) và 15 tháng tuổi (Lệ Thủy), các chỉ tiêu sinh trưởng về D0, HVN, DT của cây Keo lá liềm trồng trên dạng lập địa III3 vùng ven biển huyện Lệ Thủy và Triệu Phong chưa có sự khác rõ với độ tin cậy 95% so với đối chứng và giữa các CTTN với nhau, nhưng ở giai đoạn 27 tháng tuổi sinh trưởng D0, HVN tại Lệ Thủy và các chỉ tiêu D0, HVN, DT của cây Keo lá liềm tại Triệu Phong có sự khác nhau rõ giữa các CTTN so với đối chứng cũng như giữa các CTTN với nhau. Sinh trưởng DT tại Lệ Thủy có sự khác nhau rõ giữa các CTTN so với đối chứng, nhưng giữa các CTTN với nhau chưa có sự khác nhau có ý nghĩa thống kê.
3.3.6. Ảnh hưởng của dạng lập địa trồng rừng đến sinh trưởng cây Phi lao
Các chỉ tiêu sinh trưởng về D0, HVN, DT cây Phi lao ở giai đoạn 24 tháng tuổi chưa có sự khác nhau rõ khi trồng trên cùng nhóm dạng lập địa (dạng lập địa II: CCcH2KT2 và CCcH3KT2 hoặc dạng lập địa III1: BCcH2KT2) ở các địa phương khác nhau (hoặc Lệ Thủy, hoặc Triệu Phong).
110
Bảng 3.27. Một số chỉ tiêu sinh trưởng cây Phi lao 24 tháng tuổi trồng trên nhóm dạng lập địa II và III1 tại Lệ Thủy và Triệu Phong
Lệ Thủy | Triệu Phong | P-value | ||||||
Nhóm dạng lập địa III1 (CT1) | Nhóm dạng lập địa II (CT2) | Nhóm dạng lập địa III1 (CT1) | Nhóm dạng lập địa II (CT2) | Lệ Thủy (CT1 vs. CT2) | Triệu Phong (CT1 vs. CT2) | CT1 | CT2 | |
Lệ Thủy vs. Triệu Phong | Lệ Thủy vs. Triệu Phong | |||||||
Tỷ lệ sống (%) | 82,2a | 71,5a | 83,9a | 73,7a | 0,134 | 0,147 | 0,822 | 0,687 |
D0 (sd) (cm) | 2,53a (0,59) | 1,74b (0,68) | 2,01a (0,40) | 1,66b (0,47) | < 0,001 | 0,000952 | < 0,001 | 0,329 |
HVN (sd) (m) | 0,96a (0,32) | 0,75b (0,30) | 1,36a (0,36) | 1,18b (0,42) | < 0,001 | 0,0327 | < 0,001 | < 0,001 |
DT (sd) (m) | 1,34a (0,34) | 0,88b (0,47) | 1,15a (0,27) | 0,92b (0,29) | < 0,001 | 0,0000471 | 0,0272 | 0,403 |
∆D0 (cm/năm) | 1,12 | 1,04 | 1,01 | 0,98 | 0,23 | 0,49 | 0,037 | 0,22 |
∆HVN (m/năm) | 0,63 | 0,49 | 0,68 | 0,69 | < 0,001 | 0,85 | 0,14 | 0,00 |
∆DT (m/năm) | 0,55 | 0,53 | 0,57 | 0,55 | 0,56 | 0,42 | 0,58 | 0,57 |
Số cành trên 50cm (cành) | 10,0a (8,13) | 3,36b (4,97) | 12,3a (3,56) | 9,6b (3,99) | < 0,001 | 0,000231 | 0,0769 | < 0,001 |
Tỷ lệ chết ngọn (%) | 41,8b | 86,5a | 71,4a | 74,5a | < 0,001 | 0,72 | 0,178 | < 0,001 |
Ghi chú: Kết quả được trình bày với giá trị trung bình và độ lệch chuẩn (trong ngoặc); p < 0,05 có ý nghĩa thống kê và p > 0,05 chưa có ý nghĩa thống kê.











