Tương tự, giữa các dạng lập địa khác nhau tại cùng địa phương cũng chưa có sự khác nhau rõ về D0 và DT tại Lệ Thủy và các chỉ tiêu D0, HVN, DT tại Triệu Phong. Trên nhóm dạng lập địa II, HVN có sự khác nhau rõ khi trồng tại Lệ Thủy và Triệu Phong, nhưng D0 và DT chưa có sự khác nhau rõ. D0 bình quân từ 1,66 ± 0,47 cm (Triệu Phong) đến 1,74 ± 0,68cm (Lệ Thủy) (p = 0,329). DT bình quân từ 0,88 ± 0,47 m (Lệ Thủy) đến 0,92 ± 0,29m (Triệu Phong) (p = 0,403), CV%: 23,7 - 30,9%. HVN bình quân từ 0,96 ± 0,32m (Lệ Thủy) đến 1,36 ± 0,36 m (Triệu Phong) (p < 0,001), CV%: 25,6 - 26,5%.
Lượng tăng trưởng bình quân chung đạt 0,98 cm/năm (Triệu Phong) đến 1,12cm/năm (Lệ Thủy) về đường kính gốc; đạt 0,49 - 0,69m/năm về chiều cao; và đạt từ 0,53 - 0,55m/năm về đường kính tán.
Trên nhóm dạng lập địa III1, các chỉ tiêu sinh trưởng (về D0, HVN, DT) cây Phi lao ở giai đoạn 24 tháng tuổi có sự khác nhau rõ khi trồng tại Lệ Thủy và Triệu Phong. D0 bình quân từ 2,01 ± 0,40 cm (Triệu Phong) đến 2,53 ± 0,59cm (Lệ Thủy) (p = 3,29e-05). HVN bình quân từ 0,96 ± 0,32 m (Lệ Thủy) đến 1,36 ± 0,36 m (Triệu Phong), và DT từ 1,15 ± 0,27 m (Triệu Phong) đến 1,34 ± 0,34 m (Lệ Thủy). ∆D0 = 1,01 - 1,12 cm/năm; ∆HVN = 0,63 - 0,68m/năm; ∆DT = 0,55 - 0,57m/năm.
Hình 3.19. Phân tích thống kê một số chỉ tiêu sinh trưởng cây Phi lao 24 tháng tuổi trồng trên nhóm dạng lập địa II và III1 tại Lệ Thủy và Triệu Phong |
Có thể bạn quan tâm!
-
Ảnh Hưởng Biện Pháp Kỹ Thuật Trồng Rừng Phòng Hộ Trên Một Số Nhóm Dạng Lập Địa Vùng Cát Ven Biển -
Ảnh Hưởng Của Phân Bón Lót Kết Hợp Chất Giữ Ẩm Đến Sinh Trưởng Cây Keo Lá Liềm Trên Nhóm Dạng Lập Địa Iii1 -
Sinh Trưởng Đường Kính Gốc, Chiều Cao Và Đường Kính Tán Cây Keo Lá Liềm Trồng Trên Lập Địa Iii3 Tại Lệ Thủy -
Một Số Đặc Điểm Đai Rừng Keo Lá Liềm Ở Giai Đoạn 14 Tháng Tuổi Được Bố Trí Thí Nghiệm Hiệu Năng Chắn Cát -
Cấu Trúc Sinh Khối Khô Lâm Phần Rừng Keo Lá Liềm -
Canh Tác Nông Lâm Kết Hợp Tại Khu Vực Nghiên Cứu
Xem toàn bộ 207 trang tài liệu này.
Tại Lệ Thủy, chỉ tiêu sinh trưởng (về D0, HVN, DT) cây Phi lao ở giai đoạn 24
tháng tuổi có sự khác nhau rõ khi trồng trên nhóm dạng lập địa II và III1. D0 bình quân từ 1,74 cm (nhóm dạng lập địa II) đến 2,53 cm (nhóm dạng lập địa III1). HVN bình quân từ 0,75 m (nhóm dạng lập địa III1) đến 0,96 m (nhóm dạng lập địa II), và DT bình quân từ 0,88 m (III1) đến 1,34 m (II). ∆D0 = 1,04 - 1,12 cm/năm, ∆Hvn = 0,49 - 0,63 m/năm, và ∆Dt = 0,53 - 0,55 m/năm. Tương tự, tại Triệu Phong, các chỉ tiêu sinh trưởng cây Phi lao (về D0, HVN, DT) có sự khác nhau rõ khi trồng trên 2 nhóm dạng lập địa II và nhóm dạng lập địa III1. D0 = 1,66 - 2,01 cm (II), CV%: 19,9 - 24,1%; HVN = 1,18 - 1,36 m (CV%: 26,5 - 30,4%), và DT = 0,92 - 1,15 m (CV%: 23,7 - 26,4%). ∆D = 0,98 - 1,01
cm/năm, ∆HVN = 0,68 - 0,69 m/năm, và ∆DT = 0,55 - 0,57 m/năm.
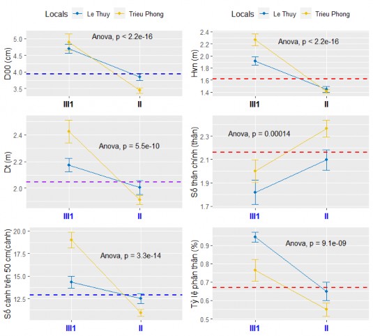
3.3.7. Ảnh hưởng của dạng lập địa trồng rừng đến sinh trưởng cây Keo lá liềm
Các chỉ tiêu sinh trưởng cây Keo lá liềm (về HVN, DT) trồng trên nhóm dạng lập địa III1 và chỉ tiêu D0, số thân chính trồng trên nhóm dạng lập địa II chưa có sự khác nhau rõ khi trồng trên cùng nhóm dạng lập địa giữa các địa phương khác nhau (Lệ Thủy và Triệu Phong). Còn lại, các chỉ tiêu chiều cao, đường kính gốc, số thân chính, số cành dài trên 50cm trồng trên nhóm dạng lập địa III1 và chỉ tiêu chiều cao cây, đường kính tán, số cành dài trên 50cm trồng trên nhóm dạng lập địa II là có sự khác nhau rõ khi trồng trên cùng một nhóm dạng lập địa ở 2 địa phương khác nhau (Bảng 3.28). Trên nhóm dạng lập địa III1, đường kính gốc, số thân chính và số cành dài trên 50cm cây Keo lá liềm ở giai đoạn 27 tháng tuổi có sự khác nhau rõ khi trồng ở 2 địa phương khác nhau. D0 bình quân 3,44
± 1,21 cm (Triệu Phong) cao hơn ý nghĩa 0,41cm (KTC 95%: 0,12 - 0,69cm) so với trồng tại Lệ Thủy (3,85 ± 1,03 cm, p = 0,0058), CV%: 26,8 - 35,2%. Chỉ tiêu HVN, DT chưa có sự khác nhau rõ giữa các địa phương. HVN bình quân từ 1,41 ± 0,47 m (Triệu Phong) đến 1,45 ± 0,48 m (Lệ Thủy) (p = 0,574), CV%: 33,1 - 33,3%. DT từ 1,91 ± 0,46 m (Triệu
Phong) đến 2,01 ± 0,51 m (Lệ Thủy) (p = 0,121), CV%: 24,1 - 25,4%. ∆D0 = 1,49 - 1,98
cm/năm, ∆HVN = 0,61 - 0,63 m/năm, và ∆DT = 0,83 - 0,87 m/năm.
Trên nhóm dạng lập địa II, các chỉ tiêu về chiều cao cây, đường kính tán, và số cành dài trên 50cm của cây Keo lá liềm có sự khác nhau rõ, nhưng chỉ tiêu đường kính gốc và số thân chính là chưa có sự khác nhau rõ. D0 bình quân từ 4,70 ± 1,18 cm (Lệ Thủy) đến 4,76 ± 1,45 cm (Triệu Phong) (p = 0,779), CV%: 25,1 - 30,5%. HVN đạt 2,23 ± 0,64 m (Triệu Phong), cao hơn ý nghĩa 0,31 m (KTC 95%: 0,09 - 0,53 m, p = 0,0056) so với tại Lệ Thủy (1,92 ± 0,58 m), CV%: 28,7 - 30,2%. DT đạt 2,39
± 0,55 m (Triệu Phong), cao hơn ý nghĩa 0,21 m (KTC 95%: 0,04 - 0,38 m, p = 0,167) so với tại Lệ Thủy (2,17 ± 0,41 m), CV%: 18,9 - 23,0%. ∆D0 = 2,04 - 2,07 cm/năm,
∆HVN = 0,83 - 0,97 m/năm, và ∆DT = 0,94 - 1,04 m/năm.
113
Bảng 3.28. Một số chỉ tiêu sinh trưởng cây Keo lá liềm 27 tháng tuổi trồng trên nhóm dạng lập địa II và III1 tại Lệ Thủy và Triệu Phong
Lệ Thủy | Triệu Phong | P-value | ||||||
Nhóm dạng lập địa III1 (CT1) | Nhóm dạng lập địa II (CT2) | Nhóm dạng lập địa III1 (CT1) | Nhóm dạng lập địa II (CT2) | Lệ Thủy (CT1 vs. CT2) | Triệu Phong (CT1 vs. CT2) | CT1 | CT2 | |
Lệ Thủy vs. Triệu Phong | Lệ Thủy vs. Triệu Phong | |||||||
Tỷ lệ sống (%) | 94,9a | 96,0a | 94,4a | 95,9a | 0,745 | 0,636 | 0,682 | 0,696 |
D0 (sd) (cm) | 4,70a (1,18) | 3,85b (1,03) | 4,90a (1,45) | 3,44b (1,21) | < 0,0001 | < 0,0001 | 0,00758 | 0,0058 |
HVN (sd) (m) | 1,92a (0,58) | 1,45b (0,48) | 2,26a (0,64) | 1,41b (0,47) | < 0,0001 | < 0,0001 | 0,0027 | 0,575 |
DT (sd) (m) | 2,17a (0,41) | 2,01b (0,51) | 2,42a (0,55) | 1,91b (0,46) | 0,0228 | < 0,0001 | 0,00758 | 0,121 |
∆D0 (cm/năm) | 2,04 | 1,67 | 2,07 | 1,49 | < 0,0001 | < 0,0001 | 0,44 | 0,004 |
∆HVN (m/năm) | 0,83 | 0,63 | 0,97 | 0,61 | < 0,0001 | < 0,0001 | 0,003 | 0,48 |
∆DT (m/năm) | 0,94 | 0,87 | 1,04 | 0,83 | 0,022 | < 0,0001 | 0,007 | 0,09 |
Thân chính (sd) (thân) | 1,82b (0,88) | 2,10a (0,86) | 2,00b (0,70) | 2,37a (1,00) | 0,0431 | 0,0149 | 0,223 | 0,0261 |
Số cành trên 50 cm (sd) (cành/cây) | 14,3a (5,68) | 12,5b (5,13) | 19,0a (5,63) | 10,9b (5,40) | 0,0331 | < 0,0001 | < 0,0001 | 0,0192 |
Tỷ lệ phân thân (%) | 64,9b | 94,4a | 55,0b | 76,5a | < 0,0001 | 0,00548 | 0,00326 | 0,114 |
Ghi chú: Kết quả được trình bày với giá trị trung bình và độ lệch chuẩn (trong ngoặc); P < 0,05 có ý nghĩa thống kê và P > 0,05 chưa có ý nghĩa thống kê.
Tại Triệu Phong, các chỉ tiêu (về D0, HVN và DT) cây Keo lá liềm ở giai đoạn 27 tháng tuổi có sự khác nhau rõ khi trồng trên 2 nhóm dạng lập khác nhau (nhóm dạng lập địa II và nhóm dạng lập địa III1). D0 đạt 4,76 ± 1,45 cm (nhóm dạng lập địa II) cao hơn ý nghĩa 1,32 cm (KTC 95%: 0,93 - 1,72 cm, p < 0,001) so với trồng trên nhóm dạng lập địa III1 (trung bình 3,44 ± 1,21 cm), CV%: 30,5 - 35,2%. HVN đạt 2,23 ± 0,64 m (II), cao hơn ý nghĩa 0,82 m (KTC 95%: 0,65 - 0,97 m, p < 0,001) so với nhóm dạng lập địa III1 (trung bình 1,41 ± 0,47 m), CV%: 28,7 - 33,3%. Tương tự, DT trên nhóm dạng lập địa II đạt 2,39
± 0,55 m, cao hơn ý nghĩa 0,47 m (KTC 95%: 0,32 - 0,62 m, p < 0,001) so với nhóm dạng lập địa III1 (trung bình 1,91 ± 0,46 m), CV%: 23,0 - 24,1%. ∆D0 = 1,49 - 2,07 cm/năm,
∆HVN = 0,61 - 0,97 m/năm, và ∆DT = 0,83 - 1,04 m/năm.
Hình 3.20. Phân tích thống kê một số chỉ tiêu sinh trưởng cây Keo lá liềm trồng trên nhóm dạng lập địa II và III1 tại Lệ Thủy và Triệu Phong |
Tại Lệ Thủy, các chỉ tiêu sinh trưởng về D0, HVN và DT cây Keo lá liềm ở giai đoạn 27 tháng tuổi có sự khác nhau rõ khi trồng trên 2 nhóm dạng lập khác nhau. D0 đạt 4,70 ± 1,18 cm (trên nhóm dạng lập địa II) cao hơn ý nghĩa 0,85 cm (KTC 95%:
0,51 - 1,19cm, p < 0,001) so với trồng trên nhóm dạng lập địa III1 (trung bình 3,85
± 1,03 cm), CV%: 25,1 - 26,8%. HVN đạt 1,92 ± 0,58 m (nhóm dạng lập địa II) cao hơn ý nghĩa 0,47 m (KTC 95%: 0,31 - 0,63 m, p < 0,001) so với nhóm dạng lập địa III1 (trung bình 1,45 ± 0,48 m), CV%: 30,2 - 33,1%. Tương tự, DT đạt 2,17 ± 0,41 m
(II) cao hơn ý nghĩa 0,17 m (KTC 95%: 0,02 - 0,31 m, p = 0,022) so với nhóm dạng lập địa III1 (2,01 ± 0,51 m), CV%: 18,9 - 25,4%. ∆D0 = 1,67 - 2,04 cm/năm, ∆HVN
= 0,63 - 0,83 m/năm, và ∆DT = 0,87 - 9,94 m/năm.
Như vậy, trên cùng nhóm dạng lập địa III1, số thân chính và số cành dài trên 50cm của cây Keo lá liềm ở giai đoạn 27 tháng tuổi có sự khác nhau rõ khi trồng tại Lệ Thủy và Triệu Phong. Số thân chính đạt 2,37 ± 1,00 thân/cây (Triệu Phong), cao hơn ý nghĩa 0,27 thân/cây (KTC 95%: 0,03 - 0,51 thân/cây, p = 0,026) so với trồng tại Lệ Thủy (2,10 ± 0,86 thân/cây), CV%: 41,0 - 42,2%. Tương tự, số cành/cây bình quân đạt 12,51 ± 5,13 cành/cây (Lệ Thủy), cao hơn ý nghĩa 1,57 cành/cây (KTC 95%: 0,26 - 2,89 cành/cây, p = 0,019) so với trồng tại Triệu Phong (10,93 ± 5,40 cành/cây), CV%: 41,0 - 49,4%. Trên cùng nhóm dạng lập địa II, số cành/cây của cây Keo lá liềm có sự khác nhau rõ, nhưng chỉ tiêu số thân chính/cây là chưa có sự khác nhau rõ, bình quân từ 1,82 ± 0,88 thân/cây (Lệ Thủy) đến 2,00 ± 0,70 thân/cây (Triệu Phong), CV%: 35,0 - 48,4%. Số cành/cây từ 14,32 ± 5,68 cành/cây (Lệ Thủy), thấp hơn ý nghĩa 4,32 cành/cây (KTC 95%: 2,26 - 6,38 cành/cây, p < 0,001) so với trồng tại
Triệu Phong (bình quân có 18,64 ± 5,63 cành/cây), CV%: 30,2 - 39,7%.
3.4. Hiệu quả phòng hộ của các đai rừng vùng cát ven biển khu vực nghiên cứu
3.4.1. Hiệu quả chắn gió của các đai rừng
a) Đặc điểm đai rừng chắn gió
Đai rừng trồng Keo lá liềm 10 tuổi trồng trên dạng lập địa III3 có mật độ hiện tại dao động từ 1.240 - 1.320 cây/ha (trung bình 1.273 cây/ha). D1.3 đạt 13,4cm, dao động từ 11,8 - 15,1cm, CV%: 20,4 - 29,3%; HVN đạt 12,4m, dao động từ 11,6 - 13,2m, CV% (10,1 - 15,2%); DT đạt 3,6m, dao động từ 3,5 - 3,9m, CV% (21,7 - 30,1%). Số
cành bình quần/cây đạt 11,6 cành/cây, dao động từ 9,8 - 14,5 cành/cây, CV% (29,9 - 43,8%). Các chỉ tiêu mật độ lâm phần, đường kính, chiều cao, đường kính tán và số cành/cây… của các cá thể Keo lá liềm trong lâm phần tạo nên độ đặc đai rừng (Đ) nhằm giảm cường độ gió, chắn cát di động, bảo vệ sản xuất nông nghiệp, bảo vệ các khu dân cư, khu đô thị, vùng sản xuất và các công trình khác theo TCVN 12510-1:2018 (Bộ KH&CN, 2018) [9] của các đai rừng phòng hộ chắn gió, chắn cát bay ven biển.
Bảng 3.29. Một số chỉ tiêu sinh trưởng đai rừng trồng Keo lá liềm 10 tuổi
N (cây/ha) | D1.3 | HVN | DT | Số cành | |||||
TB (cm) | CV (%) | TB (m) | CV (%) | TB (m) | CV (%) | TB (cành) | CV (%) | ||
1 | 1.240 | 15,1 | 29,3 | 13,2 | 10,1 | 3,9 | 28,8 | 14,5 | 43,8 |
2 | 1.320 | 13,8 | 20,4 | 12,5 | 15,2 | 3,6 | 21,7 | 9,8 | 29,9 |
3 | 1.260 | 11,8 | 28,3 | 11,6 | 12,7 | 3,5 | 30,1 | 10,8 | 35,5 |
TB | 1.273 | 13,4 | 27,9 | 12,4 | 13,8 | 3,6 | 27,2 | 11,6 | 41,9 |
b) Hiệu quả chắn gió của đai rừng
Đai rừng Keo lá liềm 10 tuổi có tác dụng giảm vận tốc gió Tây Nam (từ tháng 4 đến tháng 7) sau đai rừng 5H xuống còn từ 0,66 - 2,31m/s (trung bình 1,24m/s) so với vận tốc gió trước đai rừng 5H (vận tốc gió từ 1,81 - 3,10m/s, trung bình 2,62m/s), nghĩa là, đai rừng có tác dụng làm giảm vận tốc gió từ 0,80 - 1,71m/s (trung bình 1,38m/s). Hệ số biến động về vận tốc gió giảm của đai rừng giữa các thời điểm đo trong ngày dao động từ 44,2
- 78,8% (trung bình 56,5%). Hiệu năng chắn gió của đai rừng đạt từ 0,24 - 0,66 lần (trung bình giảm 0,53 lần) sau đai rừng 5H, nghĩa là, các đai rừng có hiệu năng chắn gió từ 25,5
- 69,0% (trung bình 52,7%) so với vận tốc gió trước đai rừng 5H; hệ số biến động về hiệu năng chắn gió giữa các thời điểm đo dao động từ 30,3 - 75,0% (trung bình 50,9%). Hệ số lọt gió (K) bình quân đạt 0,47, dao động từ 0,31 - 0,75 (Bảng 3.30).
Bảng 3.30. Hiệu quả chắn gió của các đai rừng Keo lá liềm
Vận tốc gió (m/s) | Hiệu năng chắn gió (E) | Hệ số lọt gió (K) | ||||||||
Trước đai 5H | CV (%) | Sau đai 5H | CV (%) | Giảm (m/s) | CV (%) | E (lần) | CV (%) | E (%) | ||
14h00 | 3,10 | 12,3 | 2,31 | 21,6 | - 0,80 | 78,8 | - 0,24 | 75,0 | 25,5 | 0,75 |
14h30 | 2,86 | 7,0 | 1,45 | 54,5 | - 1,42 | 54,2 | - 0,50 | 54,0 | 49,3 | 0,51 |
15h00 | 2,52 | 21,0 | 0,81 | 60,5 | - 1,71 | 44,4 | - 0,66 | 34,8 | 67,9 | 0,32 |
15h30 | 2,71 | 17,0 | 1,02 | 44,1 | - 1,69 | 44,4 | - 0,60 | 35,0 | 62,4 | 0,38 |
16h00 | 1,81 | 11,0 | 1,00 | 47,0 | - 0,81 | 55,6 | - 0,45 | 55,6 | 44,8 | 0,55 |
16h30 | 2,13 | 20,7 | 0,66 | 53,0 | - 1,47 | 44,2 | - 0,66 | 30,3 | 69,0 | 0,31 |
TB | 2,62 | 20,2 | 1,24 | 62,1 | - 1,38 | 56,5 | - 0,53 | 50,9 | 52,7 | 0,47 |
Như vậy, với kết cấu đai rừng thưa tác dụng chắn gió theo kiểu khuếch tán khí động lực, khi gió gặp đai rừng, một phần gió vượt qua tán, một phần gió bị khuếch tán bên trong đai rừng. Do đó, hiệu năng chắn gió của đai rừng đạt từ 0,24 - 0,66 lần, tương đương giảm từ 25,5 - 69,0% so với vận tốc gió trước đai rừng. Kết quả ở nghiên cứu này cũng tương đối phù hợp với một số kết quả nghiên cứu trước tác khi cho rằng, đai rừng phi lao thân chính, vận tốc gió giảm mạnh nhất sau đai thứ nhất 2-5H (giảm 0,6 - 0,7 lần đối với gió Đông Bắc, Đông Nam và giảm 0,4 - 0,5 lần đối với gió Tây Nam). Sau đai thứ hai 5H, vận tốc gió giảm ít hơn (giảm 0,4 lần đối với gió Đông Bắc) (Đặng Văn Thuyết, 2004) [93]. Nhờ các đai rừng có chiều cao cây, chiều cao tán, đường kính tán lớn hơn, độ dày rậm của tán cao hơn thì khả năng chắn gió tốt hơn. Vận tốc gió Đông Bắc trong ngày ở trước đai 10m đạt trung bình 5,5m/s thì ở giữa đai vận tốc gió trung bình chỉ còn 2,2m/s ở đai Phi lao hạt (giảm 0,6 lần), 1,9m/s ở đai A. tumida (giảm 0,66 lần), 1,7m/s ở đai
A. torolusa (giảm 0,7 lần) và 1,2m/s ở đai A. difficilis (- 0,7 lần) (Đặng Văn Thuyết et al., 2005) [95]. Rừng Keo lá liềm có khả năng chắn gió tốt nhất ở mật độ trồng 2.000 cây/ha với hệ số lọt gió là 0,48, hiệu năng chắn gió 100m sau đai rừng đạt 80% so với vận tốc gió ban đầu trước đai (Đặng Thái Dương, 2015) [30]. Đai rừng kết cấu thưa có tác dụng chắn gió theo kiểu khuếch tán khí động lực, vận tốc gió nhỏ nhất sau đai rừng đo ở vị trí 5 - 8H chỉ bằng 40 - 50% vận tốc gió ban đầu (Lê Xuân Trường & Vũ Đại Dương, 2017) [97]. Hiệu năng phòng hộ tốt nhất của đai rừng Keo lá liềm 7 tuổi tốt nhất ở mật độ 1.666 cây/ha (23,9%), giảm dần khi mật độ tăng và thất nhất ở mật độ
2.500 cây/ha (21,7%) (Nguyễn Thị Liệu, 2018) [57].
Kết quả của luận án cần được diễn giải và đặt trong bối cảnh các nghiên cứu trước tác của các tác giả (Nguyễn Thị Liệu, 2018; Ngô Đình Quế, 2008; Đặng Văn Thuyết, 2004; Đặng Văn Thuyết et al., 2005) [57], [72], 93], [95]. Kết quả phân tích tổng hợp (Meta analysis) cho thấy, các đai rừng chắn gió vùng cát ven biển ở các nghiên cứu trước tác và ở nghiên cứu này đều có sự khác nhau rõ có ý nghĩa thống kê về hiệu năng chắn gió trung bình (khoảng tin cậy 95% dao động ở một phía và không cắt trục số 0 – Hình 3.19). Đai rừng Bạch đàn 15 tuổi ở Bình Thuận có hiệu năng chắn gió thấp nhất, giảm khoảng 13%; đai rừng Keo chịu hạn 11 tuổi ở Huế và 15 tuổi ở Bình Thuận có hiệu năng chắn gió khoảng 14% (Ngô Đình Quế, 2008) [72]; và đai rừng Keo chịu hạn (A. tumida, A. torulosa, và A. difficilis) 3 tuổi ở Quảng Bình có hiệu năng chắn gió cao nhất, khoảng 77%, khoảng tin cậy 95% từ 72% đến 82% (Đặng Văn Thuyết et al., 2005) [95]. Đai rừng Keo lá liềm 10 tuổi ở nghiên cứu này có hiệu năng chắn gió khoảng 53%, khoảng tin cậy 95% từ 0,31% đến 75% (Hình 3.20). Yêu cầu kỹ thuật của đai rừng phòng hộ chắn gió, chắn cát bay quy định thông qua chỉ tiêu cấu trúc tầng thứ đai rừng hệ số lọt gió (K) từ 0,3 - 0,5 theo
TCVN 12510-1:2018 (Bộ KH&CN, 2018) [9]. Đai rừng ở nghiên cứu này đảm bảo yêu cầu kỹ thuật phòng hộ chắn gió với hệ số lọt gió (K) bình quân là 0,47, dao động từ 0,31
- 0,75, cũng tương đối phù hợp với đai rừng Keo lá liềm trồng ở mật độ 2.000 cây/ha có khả năng chắn gió tốt nhất, với hệ số lọt gió là 0,48 (Đặng Thái Dương, 2015) [30].
Hình 3.21. Phân tích tổng hợp hiệu năng chắn gió (E) của các đai rừng chắn gió vùng cát ven biển |
Nguồn: Phân tích tổng hợp từ kết quả của luận án đối sánh với các kết quả nghiên cứu trước tác
Nhìn chung, các đai rừng có tác dụng giảm vận tốc gió khoảng 37%, khoảng tin cậy 95% dao động từ 25% đến 49% (Hình 3.21) và đều khác nhau rõ có ý nghĩa thống kê (p < 0,0001); nhưng chỉ số đồng dạng rất cao (I^2 = 99,62%), điều đó cho thấy hiệu năng chắn gió của các đai rừng ở các nghiên cứu trước tác và ở nghiên cứu này là chưa nhất quán. Rất có thể các yếu tố như thành phần loài cây, mật độ hiện tại, tuổi lâm phần, các yếu tố cấu thành độ dày đặc của đai rừng và thời điểm đo khả năng chắn gió khác nhau có thể là lý do giải thích sự không nhất quán về hiệu năng chắn gió giữa các nghiên cứu trước tác cũng như với nghiên cứu này.
3.4.2. Hiệu quả chắn cát của các đai rừng
a) Đặc điểm của đai rừng chắn cát
Mật độ lâm phần của đai rừng Keo lá liềm ở giai đoạn 14 tháng tuổi dao động từ
2.253 - 2.368 cây/ha (trung bình 2.303 cây/ha). D0 bình quân đạt 2,5cm, dao động từ 2,2









