Khi không có tham số a0, kết quả thu được giống với kết quả trong trong
[20]. Hình 3.2 cho thấy các trạng thái
00
![]()
![]()
B
11N
00
![]()
Có thể bạn quan tâm!
-
Xác Suất Để Hệ Tồn Tại Trong Các Trạng Thái Kiểu Bell -
Sự Tiến Triển Của Entropy Đan Rối (Đơn Vị Ebit) Của Trạng Thái Cắt Đối Với Các -
Trung Bình Của Phương Trình Vi Phân Ngẫu Nhiên Với Nhiễu Trắng -
Ảnh Hưởng Của Nhiễu Trắng Đối Với Sự Hình Thành Các Trạng Thái Đan Rối Trong Bộ Nối Phi Tuyến Tương Tác Phi Tuyến Được Bơm Một Mode -
Xác Suất Để Hệ Tồn Tại Ở Các Trạng Thái Kiểu Bell -
Ứng dụng lý thuyết quá trình ngẫu nhiên để nghiên cứu thăng giáng lượng tử trong các bộ nối phi tuyến kiểu Kerr - 16
Xem toàn bộ 144 trang tài liệu này.
![]()
B
và
21N
là sự chồng chập của
a b
|
| ![]()
và
|1
, có thể tạo ra các trạng thái đan rối cực đại. Trong khi đó, các
a b
trạng thái
00
![]()
![]()
B
31N
00
![]()
![]()
B
và
41N
trong hình 3.4, là sự chồng chập của
|
|1
và
a b
a
b
|1
|
, không thể tạo ra các trạng thái đan rối cực đại. Kết quả là, các trạng thái
![]()
a b
|
|1
và
| ![]()
không thể trở thành trạng thái đan rối cực đại với trạng thái
a b
ban đầu là các trạng thái chân không. Tuy nhiên, việc tạo ra các trạng thái đan
rối cực đại cho
01
![]()
![]()
B
31N
01
![]()
![]()
B
và
41N
sẽ có khả năng bằng cách giả sử rằng hệ ban đầu
![]()
![]()
ở trạng thái Fock n-photon 01 , được chỉ ra ở Hình 3.3. Tuy nhiên, khi tham số
a0 0 , các hình từ 3.2 đến 3.4 chỉ ra rằng các trạng thái đan rối cực đại
00
![]()
![]()
B
11N
đến
![]()
![]()
B
00
41N
01
![]()
![]()
B
và
11N
đến
01
![]()
![]()
B
41N
không được tạo ra, cụ thể là các xác suất đối với sự tồn
tại của các trạng thái
00
![]()
![]()
B
11N
đến
00
![]()
![]()
B
41N
01
![]()
![]()
B
và
11N
đến
01
![]()
![]()
B
41N
tương ứng chỉ có thể
đạt 0,793, 0,929, 0,798, 0,790 và 0,790, 0,798, 0,943, 0,844. Những điều này có thể giải thích rằng sự hiện diện của tham số a0 làm cho giao thoa lượng tử của hệ bị suy yếu khi so sánh với trường hợp tham số này không có mặt.
Đặc biệt, ta thấy rằng khi tham số a0 xuất hiện, trong Hình 3.4, các xác
suất để hệ tồn tại trong trạng thái
00
![]()
![]()
B
31N
là lớn hơn và trong Hình 3.3, các đỉnh
càng cao sẽ giảm mạnh hơn trong khi các đỉnh càng thấp thì càng được tăng cường khi so với trường hợp khi tham số a0 vắng mặt. Điều này có nghĩa là các xác suất tìm thấy hệ trong trạng thái đan rối ổn định hơn. Ngoài ra, ở phía bên
trái của trạng thái đan rối cực đại, nếu tham số a0 tăng thì các xác suất cho
00
![]()
![]()
B
11N
![]()
![]()
B
và
00
21N
trong Hình 3.2 giảm và các đỉnh của xác suất có xu hướng tách thành
hai đỉnh bắt đầu từ đỉnh cực đại, trong khi phía bên phải của trạng thái này, các
xác suất cho
00
![]()
![]()
B
11N
00
![]()
![]()
B
và
21N
tăng hoặc giảm không theo quy luật như bên trái
của nó. Thêm vào đó, các giá trị tối đa của các xác suất cho
00
![]()
![]()
B
11N
đến
00
![]()
![]()
B
41N
dịch chuyển về phía thời gian bằng không so với trường hợp không có mặt của tham số liên quan đến thành phần nhiễu.
Ở trên chúng tôi đã xét các trường hợp cả hai mode ban đầu ở trạng thái
chân không
|
|
và trạng thái Fock n-photon
|
|1
. Chúng tôi xem xét các
a b
a b
trường hợp khác cho sự tiến triển của hệ khi các mode ban đầu ở trạng thái
a b
|1
| ![]()
và
|1
, có nghĩa là
0
pq0
|
|
, trong đó
p, q 0,1. Khi đó,
![]()
![]()
![]()
![]()
a b
a b
dễ dàng tìm được sự tiến triển của các trạng thái ban đầu của hệ được xem xét ở đây có dạng sau:
![]()
10t
![]()
![]()
11t
cut cut
c00
0![]()
![]()
![]()
10
11
a
a
0
0
b
b
c00
0![]()
![]()
![]()
c01
0![]()
![]()
![]()
10
10
a
a
1
1
b
b
c00
0![]()
![]()
![]()
c01
1![]()
![]()
![]()
![]()
01
01
a
a
0
0
b
b
c00
1 ![]()
![]()
c00
1 ![]()
![]()
![]()
![]()
01
00
a
a
1
1
,
.
b
b
c00
1 ![]()
![]()
(3.10)
Từ đó cũng dễ dàng tìm được mối liên hệ giữa các entropy đan rối như sau:
E11tE00t, E10tE01t, (3.11)
1N 1N 1N 1N
và các biên độ xác suất phức:
b10b01, b10b01,
b10b01, b10b01,
1 2 2 1
3 4 4 3
(3.12)
b11b00, b11b00, b11b00, b11b00.
1 2 2 1 3 4 4 3
Cần lưu ý rằng khi a0 = 0, hệ được xem xét đối với các trạng thái ban đầu
![]()
![]()
![]()
![]()
00 hoặc 11 tiến triển với chu kỳ tương tự thành các trạng thái đan rối cực đại
![]()
![]()
B
,
00
11N
00
![]()
![]()
B
21N
hoặc
11
![]()
![]()
B
,
11N
11
![]()
B
21N
, tương ứng với độ chính xác cao nhưng không
![]()
tiến triển thành các trạng thái
01
![]()
![]()
B
,
31N
01
![]()
![]()
B
41N
hoặc
10
![]()
![]()
B
,
31N
10
![]()
![]()
B
41N
. Điều này trái
0 1
ngược với sự tiến triển của hệ đối với các trạng thái ban đầu
![]()
![]()
![]()
hoặc
1![]()
0
.
a b
1 0
1 1
a b
và
Khi tham số a0 có mặt, các trạng thái của hệ được xem xét hầu như là các trạng thái đan rối nhưng không tạo ra các trạng thái đan rối cực đại cho tất cả các trạng thái ban đầu. Để cho ngắn gọn, chúng tôi không trình bày ở đây các đồ thị
về sự tiến triển của hệ cho các trạng thái đầu
![]()
a ![]()
b ![]()
a ![]()
b
vì chúng đã được
![]()
![]()
![]()
![]()
![]()
![]()
![]()
![]()
0 0
a b
và
a b
trình bày ở các hình từ 3.1 đến 3.4 cho các trạng thái ban đầu 0 1 .
3.2.2. Ảnh hưởng của nhiễu trắng đối với sự hình thành các trạng thái đan rối trong bộ nối phi tuyến tương tác tuyến tính được bơm hai mode
Trong phần này, chúng tôi sẽ nghiên cứu thăng giáng lượng tử của bộ nối phi tuyến gồm hai dao động tử phi tuyến Kerr. Các dao động tử này liên kết với nhau bởi tương tác tuyến tính và cả hai mode được kích thích bởi các trường điện từ ngoài, được mô hình hóa bởi quá trình ngẫu nhiên, cụ thể là nhiễu trắng. Chúng tôi sẽ tập trung khảo sát sự ảnh hưởng của nhiễu trắng vào khả năng tạo ra các trạng thái đan rối cực đại. Các trạng thái này có thể được tạo ra với độ chính xác cao.
3.2.2.1. Mô hình bộ nối phi tuyến tương tác tuyến tính được bơm hai mode
Ở phần trên chúng tôi đã nghiên cứu ảnh hưởng của nhiễu trắng đối với khả năng tạo ra các trạng thái đan rối cực đại của bộ nối phi tuyến tương tác tuyến tính được bơm một mode bởi trường ngoài. Trong phần này chúng tôi tiếp tục mở rộng khảo sát cho trường hợp bộ nối như trên nhưng được bơm cả hai mode bởi trường ngoài. Mô hình này tương tự mô hình đã xem xét ở mục 2.1.1.2, chỉ khác là trường ngoài được mô hình hóa bởi nhiễu trắng.
Giả sử các tham số liên kết , lúc đó hệ phương trình chuyển động của các biên độ xác suất (2.20) được viết lại như sau:
i d ckl (t) *ckl (t) *ckl (t),
![]()
dt 00 10 01
i d ckl (t) *ckl (t) *ckl (t) ckl (t),
![]()
dt 01 10
11 00
i d ckl (t) ckl (t) ckl (t) *ckl (t),
![]()
(3.13)
dt 10
01 00 11
i d ckl (t) ckl (t) ckl (t).
![]()
dt 11
01 10
Bằng cách sử dụng phương trình (3.4) cho các phương trình chuyển động (3.13) trong đó các ma trận hằng M1, M2 và M3 có dạng:
M1
0
0
* *
0
0
0 0
0
0
* *
0 * ,
0 0 0
1 0 0
M 2 1 1 0
0
0
0,
0 1
0 0
M 3 0 0
1 0
1 1
0 1
, (3.14)
0 0 0
0
0
0 0
0 1 1 0
0 0
0 0
ta tìm được hệ các phương trình vi phân trung bình ngẫu nhiên của các biến:
i d ckl (t) a ckl t * a0 ckl t *ckl (t),
![]()
![]()
dt 00
0 00
0 01
2
0 10
i d ckl (t)
![]()
a0 ckl t 3a0 ckl t * a
![]()
![]()
ckl (t) *ckl (t),
dt 01
0 00
2
2 01
0 0 10
0 11
(3.15)
i d ckl (t)
![]()
ckl (t)
a ckl (t) 3a0ckl t *a0ckl (t),
![]()
![]()
dt 10
0 00
0 0 01
2 10
0 11
2
i d ckl (t)
![]()
ckl (t)
a0 ckl (t) a ckl (t).
![]()
dt 11
0 01
0 10
2
0 11
Bằng cách giả thiết rằng cả hai mode ban đầu ở trạng thái chân không
00
và chỉ xét trường hợp hệ số liên kết là thực, ta tìm được nghiệm của hệ phương trình (3.15) dưới dạng sau:
1 i3a0 20 t ia
![]()
![]()
2
t
t
1 i7a0 20 t
![]()
![]()
t
i3a
2
t
1
c 00(t) e 4
0 0sin 1 cos1
e 4
cos20 0sin 2 ,
00 2
4
4 2
4
4
a
i3a0 20 t
![]()
t
a 4
i7a0 20 t
![]()
2
t
c 00(t) i0e 4
sin 10 0e 4
sin 2,
1
01
4 2
4
(3.16)
a
i3a0 20 t
t a 4
i7a0 20 t
t
![]()
c 00(t) i0e 4
![]()
sin 10 0e 4
sin 2,
1
10
4 2
4
1 i3a0 20 t ia
![]()
![]()
2
t
t
1 i7a0 20 t
![]()
![]()
t
i3a
2
t
1
c 00(t) e 4
0 0sin 1 cos1
e 4
cos20 0sin 2 ,
11 2
4
4 2
4
4
![]()
![]()
2
trong đó 5a2 4a 42 và
13a2 44a 682 . Từ phương trình
1 0 0 0 0
(3.16), dễ dàng chỉ ra rằng khi
2 0 0 0 0
a0 0 , kết quả của chúng tôi giống với kết quả
tìm được trong [20]. Mặt khác, khi thời gian t = 0, một mode ở trạng thái chân
![]()
![]()
![]()
![]()
a b
không và mode kia ở trạng thái Fock, cụ thể là trạng thái 1 0 , ta thu được các
c
nghiệm cho
kl mn
với
m, n 0,1 có dạng:
a
i3a0 20 t
t
a 4
i7a0 20 t
t
![]()
c 10(t) c00(t) i0e 4
![]()
sin 10 0e 4
sin 2,
00 10
1
4 2
4
1 i3a0 20 t ia
![]()
![]()
2
t
t
1 i7a0 20 t
![]()
![]()
t
i3a
2
t
c 10(t) e 4
0 0sin 1 cos1
e 4
cos20 0sin 2 ,
1
01 2
4
4 2
4
4
(3.17)
2
1 i3a0 20 t ia
![]()
![]()
2
t
t
1 i7a0 20 t
![]()
2
![]()
t
i3a
2
t
c 10(t) e 4
0 0sin 1 cos1e 4
cos20 0sin 2 ,
1
10 2
4 4 2
4 4
a
i3a0 20 t
t
a 4
i7a0 20 t
t
![]()
c 10(t) c00(t) i0e 4
![]()
sin 10 0e 4
sin 2.
11 01
1
4 2
4
Có thể sử dụng các biên độ xác suất trong các phương trình (3.16) và (3.17) để xem xét việc tạo ra các trạng thái đan rối cực đại trong bộ nối phi tuyến Kerr ở phần tiếp theo.
3.2.2.2. Ảnh hưởng của nhiễu trắng đối với sự tạo ra các trạng thái đan rối trong bộ nối tương tác tuyến tính được bơm hai mode
Tương tự như trường hợp bộ nối được bơm một mode, công thức entropy von Neumann (2.26) được áp dụng cho các biên độ xác suất phức tìm được ở (3.16) và (3.17) để xem xét sự tiến triển của entropy đan rối trong bộ nối phi tuyến tương tác tuyến tính được bơm hai mode, khi các trường ngoài và trường liên kết được mô hình hóa bởi nhiễu trắng. Sự tiến triển của các entropy đan rối
00
E2 N
10
và
E2 N
của các trạng thái cắt được chỉ ra trong Hình 3.5.


t [10-6s] t [10-6s]
6
Hình 3.5: Sự tiến triển của các entropy đan rối
00
E2 N
10
và
E2 N
(đơn vị ebit) của các
0
trạng thái cắt với
0 10 rad/s. Đường nét liền ứng với
a0 0 , đường nét gạch ứng
0
với
a 105rad/s và đường gạch chấm là cho
a 2105 rad/s
Những kết quả này cho thấy rằng khi tham số a0 0 , entropy của đan rối
00
E2 N
tương tự kết quả thu được trong [20]. Có thể thấy rằng số lượng các đỉnh
của
10
E2 N
nhiều gấp ba lần của
00
E2 N
, nghĩa là các dao động theo thời gian của
10
E2 N
nhanh hơn ba lần so với của
00
E2 N
. Cực đại đầu tiên của
00
E2 N
là cao nhất, trong
khi đối với
10
E2 N
có ba cực đại cao nhất bằng nhau đó là các cực đại thứ 2, 4 và 5.
Mặt khác, thông tin quan trọng nhất là giá trị cực đại của các entropy đan rối
00
E2 N
10
và
E2 N
gần như xấp xỉ bằng đơn vị. Vì vậy, hệ được xét sẽ tạo ra các trạng
thái đan rối cực đại thực sự. Khi tham số a0 có mặt ( a0 0 ), giá trị của các
entropy đan rối
00
E2 N
10
và
E2 N
giảm rất ít và cực đại cao nhất của các entropy đan rối
thay đổi, cụ thể là cực đại thứ tư của
00
E2 N
là cao nhất, trong khi đối với
10
E2 N
các cực
đại cao nhất là cực đại thứ 2, 3 và 5 đối với trường hợp
a 105
và cực đại thứ ba
0
đối với trường hợp a0
2105
so với trường hợp khi
a0 0 . Tức là, hệ mà ta xem
xét cũng có thể tạo ra các trạng thái kiểu Bell. Ngoài ra, khi tham số a0 tăng, vị trí của các cực đại cững dịch chuyển về phía thời gian không. Vì vậy, trong một khoảng nhất định, số lượng các cực đại tăng lên. Điều này có nghĩa là các chu
kỳ dao động tăng khi a0 tăng so với trường hợp khi a0 0 . Do đó, tham số a0 là
một tham số quan trọng để điều khiển vị trí của các cực đại cao nhất và số cực đại của hệ.
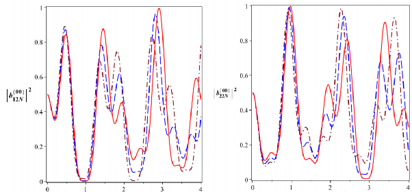
Mô hình bộ nối ở đây tương tự với mô hình ở mục 2.1.1.2, vì vậy, để xem xét sự tạo thành các trạng thái đan rối cực đại của bộ nối phi tuyến tương tác tuyến tính với nhau và được bơm hai mode bởi trường ngoài, được mô hình hóa bởi nhiễu trắng chúng tôi sử dụng công thức (2.30) cho các biên độ xác suất phức ở (3.16) và (3.17). Các xác suất để tìm thấy hệ trong các trạng thái kiểu Bell được biểu thị trong các hình vẽ từ Hình 3.6 đến Hình 3.8.

t [10-6s] t [10-6s]
Hình 3.6: Xác suất để hệ tồn tại ở các trạng thái kiểu Bell
![]()
![]()
B
và
0012N
![]()
![]()
B
0022N
với
0
106rad/s. Đường nét liền ứng với
a0 0 , đường nét gạch ứng với a0
105rad/s
0
và đường gạch chấm là cho a 2105 rad/s

t [10-6s] t [10-6s]
Hình 3.7: Xác suất để hệ tồn tại ở các trạng thái kiểu Bell
10
![]()
![]()
B
32N
10
![]()
![]()
B
và
42N
với
0
106rad/s. Đường nét liền ứng với
a0 0 , đường nét gạch ứng với
a 105rad/s
0
0
và đường gạch chấm là cho a 2105 rad/s

t [10-6s] t [10-6s]
Hình 3.8: Xác suất để hệ tồn tại ở các trạng thái kiểu Bell
00
![]()
![]()
B
32N
00
![]()
![]()
B
và
42N
với
0
106rad/s. Đường nét liền ứng với
a0 0 , đường nét gạch ứng với
a 105rad/s
0
0
và đường gạch chấm là cho a 2105 rad/s
Không khó để thấy rằng
b102 b002
và b102 b002 , do đó để cho ngắn gọn,
![]()
![]()
![]()
![]()
12N
32N
22N
42N
![]()
![]()
![]()
![]()
các đồ thị của xác suất để hệ tồn tại trong các trạng thái kiểu Bell
10
![]()
![]()
B
12N
10
![]()
![]()
B
và
22N
có thể được bỏ qua. Khi tham số a0 0 , các kết quả của chúng tôi trong Hình
3.6 và 3.8 giống với các kết quả của [20]. Các xác suất lớn nhất của
![]()
![]()
b ,
002 12N
002 22N
![]()
![]()
![]()
![]()
b ,
b
và
102 32N
102 42N
xấp xỉ bằng 1, có nghĩa là hệ thực sự có thể tạo ra các trạng thái
![]()
![]()
b
kiểu Bell
![]()
![]()
B
,
0012N
![]()
![]()
B
,
0022N
10
![]()
![]()
B
32N
10
![]()
![]()
B
và
42N
. Điều này trái ngược với các trường hợp
![]()
![]()
b
và
002 32N
002 42N
trong đó các xác suất cực đại của
![]()
![]()
b
và
002 32N
002 42N
bằng nhau và chỉ
![]()
![]()
![]()
![]()
b
b
đạt 0,235 tức là các trạng thái kiểu Bell
00
![]()
![]()
B
b và
32N
00
![]()
![]()
B
và
42N
không được tạo ra. Khi
tham số
a0 0 , các xác suất lớn nhất của
002 22N
b102 giảm từ từ, trong khi
![]()
![]()
![]()
![]()
![]()
![]()
![]()
32N
12N
xác suất lớn nhất của
b102 tăng dần. Vì vậy, hệ có thể tạo ra các trạng thái kiểu
![]()
42N
Bell
![]()
![]()
B
,
0022N
10
![]()
![]()
B
32N
10
![]()
![]()
B
và
42N
. Ngược lại, xác suất lớn nhất của
b002 giảm nhanh






