acetylaltholactone (GM13); 4 hợp chất acetogenin annonacin (GM14), cis+trans- solamin (GM15), isoannonacin (GM16), trans-murisolinone (GM17); 1 hợp chất sesquiterpene β-caryophyllene oxide (GM18), 1 hợp chất ceramide 2-(2’- hydroxytetracosanoylamino)octadecane-1,3,4-triol (GM19) và 1 acid béo là acid palmitic (GM20) (Hình 4.8.). Cấu trúc của các hợp chất trên được xác định bằng phương pháp phổ cộng hưởng từ hạt nhân 1, 2 chiều, phổ khối lượng, phổ hồng ngoại, phổ tử ngoại-khả kiến và nhiễu xạ tia X.
4.1.2.1 8-Hydroxygoniofupyrone A (GM11)
15
OH H
9
7
1
O
H
8 OH 3
O
O
12 H 5
Hợp chất GM11 được phân lập dưới dạng tinh thể không màu có đnc. 210,3-
211,0 oC và độ quay cực [] 20 38,5o (c 0,32; EtOH). Phổ khối phân giải cao HR-ESI-
D
MS cho pic ion [M+Na]+ m/z = 273,0724 cho phép xác định công thức phân tử của
GM11 là C13H14O5 (m/z 3,2 ppm) tương ứng với độ bất bão hòa là 7 (Hình 4.9.).
m/z 273,07243
Hình 4.9. Phổ khối phân giải cao HR-ESI-MS của GM11
Nhóm hydroxyl trong phân tử được đặc trưng bằng dải hấp thụ rộng trong vùng 3444 cm1 trên phổ IR. Phổ UV cho đỉnh hấp thụ ở max 206 nm (log 4,01; MeOH) và phổ IR cho đỉnh hấp thụ ở max 1728 cm1 cho thấy sự tồn tại của vòng
-lactone bão hòa trong phân tử. Điều này được khẳng định nhờ tín hiệu nhóm carbonyl C-3 (C 168,7) trên phổ 13C-NMR (Bảng 4.1.).
Vị trí | C ppm | H ppm, mult. (J, Hz) | Vị trí | C ppm | H ppm, mult. (J, Hz) |
1 | 81,5 | 4,72 dd (2,0; 4,0 Hz) | 9 | 72,5 | 4,66 dd (4,5; 9,0 Hz) |
2 | - | - | 10 | 143,9 | - |
3 | 168,7 | - | 11,15 | 128,0 | 7,46 d (7,5 Hz) |
2,82 dd (2,5; 18,5 Hz) | |||||
4 | 40,4 | 12,14 | 128,9 | 7,33 dd (7,5; 7,5 Hz) | |
2,74 dd (3,0; 18,5 Hz) | |||||
5 | 77,9 | 4,17 ddd (2,5; 2,5; 4,0 Hz) | 13 | 128,2 | 7,26 m |
6 | - | - | 8-OH | - | 4,91 d (4,0 Hz) |
7 | 86,0 | 4,34 dd (2,5; 9,0 Hz) | 9-OH | - | 4,70 d (4,5 Hz) |
8 | 74,3 | 4,51 dd (2,0; 4,0 Hz) |
Có thể bạn quan tâm!
-
Sơ Đồ Ngâm, Chiết Phân Bố Lá Cây Giác Đế Cuống Dài -
Hoạt Tính Gây Độc Tế Bào Và Hoạt Tính Kháng Vi Sinh Vật Kiểm Định Của Các Chất Được Phân Lập -
Một Số Tương Tác Chính Trên Phổ Hmbc Và Cosy Của Chất Gm5 -
Một Số Tương Tác Chính Trên Phổ Hmbc, Cosy Và Noesy Của Gm13 -
Độ Chuyển Dịch Hóa Học Của Proton Trong Vòng Ketolactone -
Một Số Tương Tác Chính Trên Phổ Hmbc Và Noesy Của Chất Gg1
Xem toàn bộ 184 trang tài liệu này.
Bảng 4.1. Dữ kiện phổ 13C-, 1H-NMR (125/500 MHz, Acetone-d6) của GM11
Phân tích phổ 1H-NMR của GM11 cho thấy trong phân tử chứa 1 nhóm phenyl, 7 proton trong vùng H 4,17-4,92 và 2 proton ở trường cao (Hình 4.10.).
Phân tích phổ DEPT cùng với phổ HSQC cho thấy trong phân tử GM11 có 1
nhóm methylen sp3 cạnh nhóm carbonyl ở C 40,4 (C-4) và 5 nhóm methin liên kết với oxy ở C 86,0 (C-7); 81,5 (C-1); 77,9 (C-5); 74,3 (C-8); 72,5 (C-9) (Hình 4.11.).
-85-
H-11,15 H-12,14
H-13
H-4a H-4b
9-OH
8-OH
H-1
H-9
H-8
H-7
H-5
Hình 4.10. Phổ 1H-NMR giãn rộng của GM11
C=O
Ph
5 CH-O 1 CH2
Hình 4.11. Phổ 13C-NMR và DEPT của GM11
Dựa vào các tín hiệu 1H-1H trên phổ COSY (Hình 4.12.) xác định được 3 hệ tương tác spin-spin gồm 1 vòng phenyl, H-4H-5 và H-9H-7H-1H-8OH-8 (Hình 4.13.).
Hình 4.12. Phổ COSY giãn rộng của GM11
![]()
Hình 4.13. Một số tương tác chính trên phổ COSY, HMBC và NOESY của GM11
Phân tích phổ HMBC (Hình 4.14.) cho thấy tương tác giữa proton H-9 (H 4,66) với carbon C-10 (C 143,9) và C-11, C-15 (C 128,0) chứng tỏ vòng phenyl liên kết với carbon C-9 qua C-10; tương tác giữa OH-8 với C-1 (C 81,5) và C-5 (C 77,9) cho thấy C-5 liên kết với C-8. Tương tác giữa tương tác giữa H-4 (H 2,82; 2,75) và C-5 (C 77,9), C-8 (C 74,3) cùng với tương tác giữa H-5 với nhóm
carbonyl C-3 (C 168,7) chứng tỏ C-4 liên kết với C-3. Trên phổ HMBC của GM11 còn cho thấy tương tác giữa H-1 (H 4,73) và C-3 chứng tỏ sự tồn tại của vòng - lactone trong phân tử. Bên cạnh đó, tương tác giữa H-5 với C-7 và độ chuyển dịch hóa học của C-5, C-7 ở trường thấp C 86,0 (C-7); 77,9 (C-5) đặc trưng cho nhóm oxy-methin, cho thấy tồn tại cầu oxy giữa C-5 và C-7 tạo thành vòng furan. Vị trí của nhóm OH tại carbon C-9 được xác định nhờ tương tác giữa proton OH-9 với C- 9, C-7, C-10 được quan sát thấy trên phổ HMBC (Hình 4.13.).
Như vậy cấu trúc phẳng của GM11 đã được xác định. Cấu trúc của GM11 gần giống với cấu trúc của goniofupyrone A, một hợp chất styryl-lactone mới được phân lập từ cây Goniothalamus amuyon vào năm 2005 [35].
Sự khác biệt duy nhất giữa GM11 và goniofupyrone A là hợp chất GM11 có thêm nhóm OH ở vị trí C-8. Dựa vào hằng số tương tác giữa H-7 với H-9 (JH7-H9 = 9,0 Hz) cho thấy hai proton này ở dạng anti.
Hình 4.14. Phổ HMBC của GM11
Hình 4.15. Phổ NOESY giãn rộng của GM11
Cấu hình tương đối của carbon C-8 được xác định nhờ tương tác NOE (Hình
4.15.) giữa H-8 và H-4a (H = 2,82) cho thấy OH-8 ở vị trí đối
diện với nhóm
carbonyl trong vòng -lactone (Hình 4.13.). Cấu trúc của GM11 được khẳng định
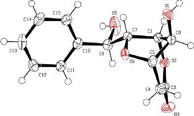
nhờ phương pháp X-ray
(Hình 4.16.). Trên cơ sở cấu trúc của
GM11 đã được
khẳng định, cấu hình tuyệt đối của GM11 được xác định là 1R, 5S, 7R, 8S, 9R. Đây là một hợp chất styryl-lactone mới có tên gọi là 8-hydroxygoniofupyrone A.

Hình 4.16. Cấu trúc không gian qua nhiễu xạ tia X của hợp chất GM11
![]()
4.1.2.2 4-Deoxycardiobutanolide (GM12)
Hợp chất M12 được phân lập dưới dạng chất dầu không màu có độ quay cực
20 o
[]D 3,4 (c 0,44; CHCl3). Phổ khối phân giải cao HR-ESI-MS cho pic ion giả phân tử [M+Na]+ m/z 275,0895 cho phép xác định công thức phân tử của GM12 là
C13H16O5 (m/z 1,8 ppm). Phổ IR cho các đỉnh hấp thụ đặc trưng của các nhóm chức ở max 3378 (OH), 1754 (-lactone bão hòa), 1634 (phenyl). Vòng -lactone còn được khẳng định nhờ đỉnh hấp thụ ở max 207 nm (log 4,25; MeOH) trên phổ UV và tín hiệu của các nhóm carbonyl ở C 180,1 (C-2); nhóm oxymethin ở C 84,3 (C-
5) trên phổ 13C-NMR. Từ các dữ kiện phổ 1H-NMR, 13C-NMR xác nhận sự có mặt
của 1 vòng phenyl ở H = 7,44 (H-10+H-14); 7,36 (H-11+H-13); 7,28 (H-12) và C
= 129,1 (C-11+C-13); 128,5 (C-12); 128,4 (C-10+C-14) (Bảng 4.2.).
Bảng 4.2. Dữ kiện phổ 13C-, 1H-NMR (125/500 MHz, CD3OD) của GM12
C ppm | H ppm, mult, (J, Hz) | |
1 | - | - |
2 | 180,1 | - |
3 | 29,5 | 2,59 m |
4 | 25,3 | 2,30 dddd (4,5; 7,0; 9,5; 12,5 Hz) 2,04 dddd (8,5; 9,5; 9,5; 12,5 Hz) |
5 | 84,3 | 4,71 ddd (7,0; 7,0; 8,5 Hz) |
6 | 73,9 | 3,93 dd (2,3; 6,8 Hz) |
7 | 74,6 | 3,66 dd (2,0; 8,0 Hz) |
8 | 75,2 | 4,74 d (8,0 Hz) |
9 | 144,0 | - |
10-14 | 128,4 | 7,44 m |
11-13 | 129,1 | 7,36 m |
12 | 128,5 | 7,28 m |
Trên phổ 13C-NMR của GM12 cho tín hiệu của 3 nhóm methin gắn với oxy ở
C 75,2 (C-8); 74,6 (C-7); 73,9 (C-6) cho thấy sự có mặt của 3 nhóm hydroxyl bậc
hai trong phân tử. Trên phổ COSY, các chuỗi tương tác được quan sát thấy như được biểu thị bằng liên kết đậm trên Hình 4.17. Cấu trúc phẳng của GM12 được xác định dựa vào các tương tác trên phổ HMBC: Tương tác giữa C-10 và C-14 (C 128,4) với H-8 (H 4,74) cho thấy vòng phenyl liên kết với carbon C-8; tương tác giữa nhóm carbonyl C-2 (C 180,1) với proton CH2-3 (H 2,59) và CH2-4 (H 2,30; 2,04) chứng tỏ C-2 liên kết với CH2-3; tương tác giữa proton H-5 (H 4,71) với C-4 (C 25,3); C-3 (C 29,5), carbonyl C-2 cho thấy sự tồn tại vòng -lactone trong phân tử. Cấu trúc của GM12 gần giống với cấu trúc của cardiobutanolide (GM4, (36)), một hợp chất styryl-lactone được phân lập từ loài Goniothalamus cardiopetalus vào năm 2003 [42]. Sự khác biệt ở đây là hợp chất GM12 không có nhóm OH ở vị trí C-4.
Cấu hình tương đối của GM12 được xác định nhờ các hằng số tương tác 3JH-H
![]()
và tương tác trên phổ NOESY. Hằng số tương tác giữa proton H-7 và H-8 (JH7-H8 = 8,0 Hz), giữa H-6 và H-7 (JH6-H7 = 2,0 Hz) tương tự với các hằng số tương tác tương ứng của cardiobutanolide (36) đã được công bố [42] cho thấy mối tương quan H- 7/H-8 erythro và H-6/H-7 theo. Hằng số tương tác giữa H-5 và H-6 (JH5-H6 = 7,0 Hz) cho thấy hai proton này ở vị trí trans. Trên phổ NOESY của GM12 cho thấy tương tác giữa H-5 với H-6 và H-4a (H 2,30); H-6 với H-4b (H 2,04); H-7 với H-4b cho phép xác định cấu trúc như trên Hình 4.17.
![]()
![]()
![]()
Hình 4.17. Một số tương tác chính trên phổ COSY, HMBC và NOESY của GM12
Cấu hình tuyệt đối của GM12 được xác định 5S, 6S, 7R, 8R dựa vào việc so sánh với cấu hình của cardiobutanolide (36) [42]. Hợp chất GM12 có tên gọi là 4- deoxycardiobutanolide đã được tổng hợp toàn phần vào năm 2010 [79] và đây là lần đầu tiên hợp chất này được phân lập từ thiên nhiên.






