Xét mô hình trục máy có 3 bậc tự do (N=3)
Đáp ứng biên độ của các tọa độ suy rộng được biểu diễn như sau:
ˆ eIt
(4.40)
1 1
2 2
ˆ eIt
3 3
ˆ eIt
(4.41)
(4.42)
It
aˆae
(4.43)
Thay N=3, các đại lượng không thứ nguyên ở trên và các phương trình (4.24), (4.40), (4.41), (4.42) và (4.43) vào hệ phương trình (4.19) ta thu được hệ phương trình vi phân dao động:
(2 1) eI st 222
2 (
) MeI st
2 (
1
2
)
s a s 1 2
2 s
1 2 3
3
s
2 ( 2)
2 3
(4.44)
2(22eIst) eIstn2
(I 22 )
1 a s s a
Giải hệ phương trình (4.44) ta thu được biên độ phức của dao động xoắn của bậc tự do thứ N = 3 (bậc tự do thứ ba) là:
ˆ (22n 22 ) I(n2 ) M
k
3
X3 IY3
s
(4.45)
trong đó:
X
x (22n 22) y
22n22 222n
3
3 3 22 42 22n
(4.46)
3 3 3
Y x
(n2 ) y
322n 32n 2n(4.47)
3
x 2 2
(4.48)
2 2
y3 (2 ) 1
(4.49)
So sánh các công thức (4.45), (4.46), (4.47), (4.48) và (4.49) với các công thức
(3.20), (3.21), (3.22) và (3.23) ta thu được:
ˆ
A1 IA2
M
3 x A y A Ix A y A k
(4.50)
3 1 3 3 3 2 3 4 s
Xét mô hình trục máy có 4 bậc tự do (N=4)
Thực hiện tương tự với mô hình trục máy có 4 bậc tự do (N=4), ta thu được hệ phương trình vi phân dao động của cơ hệ là:
(2 1) eI st 222
2 (
) MeI st
1
2 ( 2)
s a s 1 2
2
s 1 3 2
2
3 s (4 23 2 )
(4.51)
s
4
2( 2)
3 4
2(22eIst) eIstn2
(I 22 )
1 a s s a
và biên độ phức của dao động xoắn bậc tự do thứ N = 4 (bậc tự do thứ tư) là:
ˆ
A1 IA2
M
4 x A y A Ix A y A k
(4.52)
4 1 4 3 4 2 4 4 s
trong đó:
2 2
x4 (2 ) 1
2 3 2
y4 2 2( 2)
(4.53)
(4.54)
So sánh biểu thức biên độ phức của dao động xoắn của bậc tự do thứ N trong các mô hình trục máy có N = 2, 3, 4, … bậc tự do, ta thấy rằng các biểu thức này chỉ khác nhau các hệ số xN và yN. Từ đây tác giả có ý tưởng tìm mối quan hệ toán học giữa các đại lượng xN, xN-1, yN và yN-1 để xây dựng công thức tổng quát của biên độ phức dao động xoắn của bậc tự do thứ N trong mô hình trục máy có N bậc tự do.
- Với N = 2 (trục máy có 2 bậc tự do)
x2 1
2
y2 2
(211)/ 2
k 0
1k
(2 1k )!
2 1 2k !k !
2
2212k
- Với N = 3 (trục máy có 3 bậc tự do)
x 2 2 y
3 2
(31)/ 2
2 2
k (3 1k )!
2 312k
y3 (2 )
1
k 0
1
3 1 2k !k !
2
- Với N = 4 (trục máy có 4 bậc tự do)
x (2 2 )2 1 y
4 3
2
3
y4 2
2(2
2)
(411)/ 2
k 0
1k
(4 1k )!
4 1 2k !k !
2
2412k
- Với N = 5 (trục máy có 5 bậc tự do)
x (2 2 )3 2(2 2) y
5 4
y5 2
24
3(2
2 )2
1
(51)/ 2
k 0
1k
(5 1k )!
5 1 2k !k !
2 2
512k
…
Từ các kết quả tính toán ở trên ta thu được:
N
k
k
yN 1
k 0
(N 1k)!
N 1 2k !k !
2 2
N 12k
xN yN 1
Nếu N chẵn: kN = (N-2)/2; nếu N lẻ: kN = (N-1)/2
Đặt yN = AN-1 thì xN = AN-2.
Từ đó ta thu được công thức tổng quát xác định biên độ phức của dao động xoắn bậc tự do thứ N trong mô hình trục máy có N bậc tự do như sau:
ˆ
A1 IA2
M
N A A A A IA A
A A k
(4.55)
N 2 1
N 1 3
N 2 2
N 1 4 s
Thực hiện các phép biến đổi phức tương tự như các công thức (3.25) và (3.26) với trường hợp hệ chính một bậc tự do (SDOF) ta thu được đáp ứng thực của dao động xoắn của bậc tự do thứ N là:
1
M
ks
A2 A22 2
ˆ 1 2
NA A A A 22A A A A 2
(4.56)
N 2 1
N 1 3
N 2 2
N 1 4
Từ đó ta thu được hàm khuếch đại biên độ-tần số của bậc tự do thứ N có dạng:
1
A2 A22 2
A AN
1 2
(4.57)
A A A A 22A A A A 2
N 2 1
N 1 3
N 2 2
N 1 4
Trong đó A1, A2, A3, A4 là các hệ số được xác định từ mô hình trục một bậc tự do tương ứng. Các hệ số này đã được xác định trong các công thức (3.20), (3.21), (3.22) và (3.23).
Xác định tỷ số α tối ưu
Với hàm khuếch đại biên độ A đã xác định được trong công thức (4.29) ta thấy nó phụ thuộc vào 8 thông số không thứ nguyên ở trên gồm n, μ, η, λ, α, β và tỷ số cản ξ. Vậy ta hoàn toàn có thể xác định các thông số này để hàm khuếch đại biên độ-tần số đạt giá trị nhỏ nhất.
Với ξ=0 (trạng thái không cản) hàm khuếch đại A trong (4.57) có dạng:
A1
AN 2 A1 AN 1A3
A (4.58)
Với ξ=∞ (trạng thái cản tới hạn) ta có:
A2
AN 2 A2 AN 1A4
lim A
(4.59)
Xác định các điểm cố định
Từ biểu thức tổng quát (4.57) xác định hàm khuếch đại biên độ của bậc tự do thứ N trong mô hình trục máy có N bậc tự do. Với mô hình trục máy có hai bậc tự do (N=2) ta có, hàm khuếch đại biên độ của bậc tự do thứ hai là:
1
(22n 22 )2 (n2 )22 2
2 2
A
N 2
X 2 2Y 2
(4.60)
trong đó:
22n22 222n
X (22n 22 ) (2 2 )
2
22 42 22n
2
Y (n2) (2 2) 322n 32n 2n
Với mô hình trục máy có ba bậc tự do (N=3) ta có, hàm khuếch đại biên độ của bậc tự do thứ ba là:
1
(22n 22 )2 (n2 )22 2
3 3
A
N 3
X 2 2Y 2
(4.61)
trong đó:
22n22 222n
X (2 2 )(22n 22 ) ((2 2)2 1)
3
22 42 22n
3
Y (2 2)(n2) ((2 2)21) 322n 32n 2n
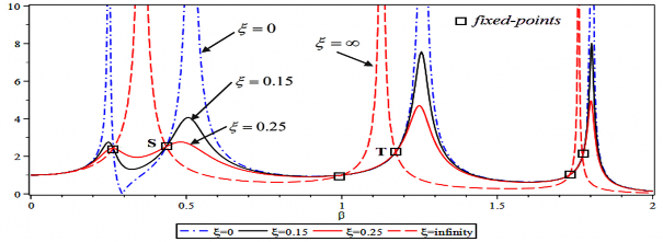
Hình 4.18 và hình 4.19 lần lượt mô tả sự thay đổi của hàm khuếch đại biên độ- tần số của bậc tự do thứ N theo tần số β với trường hợp hệ chính có 2 bậc tự do (N=2) và hệ chính có 3 bậc tự do (N=3) xác định từ các công thức (4.60) và (4.61). Từ hình
4.18 và hình 4.19 ta thấy rằng, tất cả các đường cong với với giá trị của tỷ số cản nhớt ξ
đều đi qua một số điểm cố định. Số điểm cố định này bằng 2N. Khi mô phỏng đồ thị hàm khuếch đại biên độ của bậc tự do thứ N trong miền tần số với hệ chính có số bậc tự do khác nhau và với mọi giá trị khác nhau của tỉ số cản ξ tác giả thấy rằng các đường cong được mô tả bởi (4.60) và (4.61) luôn đi qua các điểm cố định và trong trường hợp tổng quát, cao độ của các điểm này là khác nhau .

Hình 4.18. Sự thay đổi của đường cong khuếch đại biên độ khi thay đổi tỷ số cản với
N = 2, = 0.02, = 1, = 0.5, = 0.8, n = 6 và = 0.2

Hình 4.19. Sự thay đổi của đường cong khuếch đại biên độ khi thay đổi tỷ số cản với
N = 3, = 0.02, = 1, = 0.5, = 0.8, n = 6 và = 0.2
Từ hình 4.18 ta thấy rằng với hệ chính có số bậc tự do N=2 sẽ tồn tại 3 đỉnh cộng hưởng (với ξ=0) và 2 đỉnh cộng hưởng (với ξ=∞). Với hệ chính có 3 bậc tự do thì số đỉnh cộng hưởng với ξ=0 là 4 đỉnh và 3 đỉnh với ξ=∞ (hình 4.19). Một cách tổng quát, nếu hệ chính có N bậc tự do sẽ tồn tại N+1 đỉnh cộng hưởng với trạng thái không cản
(ξ=0) ứng với N đỉnh cộng hưởng của N bậc tự do của hệ chính và thêm 1 đỉnh cộng hưởng của DVA (hệ phụ); còn trong trạng thái cản tới hạn ξ=∞, sẽ tồn tại N đỉnh cộng hưởng. Vậy giữa các định cộng hưởng này luôn luôn tồn tại các điểm cố định.
Tương tự trường hợp hệ chính có một bậc tự do (mục 3.1 của luận án này), hoành độ βj của các điểm cố định này được xác định bằng cách giải phương trình:
A 0
Đạo hàm hàm khuếch đại A trong (4.57) theo biến ξ ta được
A A 2 A2 A A A
A2 A2 A 2 A A2 A A
A2 A2 A
N 1 1 2 4
N 2 1 4 N 1 1 2 3
N 2 2 3 N 1
N 1 3 4
N 2 1 2
N 1
N 2 1 3 2 4
1
3
1 2
A2
A2 A22 A2
A2 A22 2 A A
A A
A A 2 A2 A22 2
Điều kiện để
A2A2A2
A 0 là:
2A2A A A A
(4.62)
1 4 N1 1 2 4 N1 N2
(4.63)
A2A2A2 2A2AA A A
2 3 N1 2 1 3 N1 N2
Cộng vào hai vế của phương trình (4.63) với
A2 A2 A2
ta có:
A2A2 A2
A2 A2 A2
2A2 A A A A
1 2 N 2
1 2 N2 1 4 N1 1 2 4
N1 N2
(4.64)
A2A2 A2 A2 A2 A2
2A2 A A A A
1 2
Từ đó ta có:
A2
N2 2 3
A A
N1 2 1 3
A A 2
N1
N2
2
A2
N 2 2 N 1 4
A A A A 2
(4.65)
1 N 2 1
N 1 3
Phương trình (4.65) dùng để xác định hoành độ các điểm cố định trong trường hợp tổng quát.
Với mô hình trục máy có 2 bậc tự do (N=2), phương trình (4.65) trở thành:
(n2 )2
2 2 2 2 2
n2 (2 2)(322n 32n 2n)
2
2
(n )
22n22 222n
(22n 22 ) (2 2 )
22 42 22n
Với mô hình trục máy có 3 bậc tự do (N=3), phương trình (4.38) trở thành:
(4.66)
(n2)2
(22n 22)2
(2 2)(n2) (2 2)21(322n 32n 2n)2
2
22n22 222n
(2 2)(22n 22) (2 2)2 1
22 42 22n
(4.67)
Giải phương trình (4.66) ta thu được các giá trị của βj cho mô hình trục máy có 2 bậc tự do. Tương tự giải phương trình (4.67) ta thu được các giá trị của βj cho mô hình trục máy có 3 bậc tự do.
Để xác định tham số tối ưu α thì giá trị của hàm khuếch đại biên độ A tại hai điểm cố định (tương ứng với β1 và β2) phải bằng nhau. Có một số giá trị của tần số β, chẳng hạn β=0.26, β=0.67 và β=1.62, tại đó xảy ra cộng hưởng (hình 4.18). Vùng cộng hưởng được kiểm soát xác định trong thiết kế tối ưu hóa là một trong những điểm gần nhất với β = 1. Bởi vậy, tỷ số β1 và β2 được chọn sao cho tỷ số β được kiểm soát phải nằm giữa chúng. Theo cách này, hai điểm cố định được chọn là S và T. Giải phương trình AS=AT thu được tham số tối ưu α. Bảng 4.7 liệt kê các kết quả thu được của tỷ số α ứng với N=1, N=2 và N=3.
![]()
Bảng 4.7. Tham số tối ưu α theo số bậc tự do của hệ chính
αopt | |
N=1 | n 2 1 |
N=2 | 2n 2 132 2 2n 212 |
N=3… | 2n 63 642 102 4 2n 212 |
Có thể bạn quan tâm!
-
Tính Toán, Mô Phỏng Số Hiệu Quả Giảm Dao Động Xoắn Cho Trục Máy -
Mô Phỏng Số Trường Hợp Trục Máy Chịu Tác Dụng Của Kích Động Va Chạm. -
Năng Lượng E Với Dva-Mevr Khi Hệ Chính Không Cản Chịu Kích Động Ngẫu Nhiên -
Tham Số Tối Ưu Ξ Theo Số Bậc Tự Do Của Hệ Chính -
Hàm Khuếch Đại Biên Độ A Với = Opt Và = 0 Hệ Chính Có 3 Bậc Tự Do. -
Nghiên cứu giảm dao động xoắn của trục máy bằng bộ hấp thụ dao động - 18






