
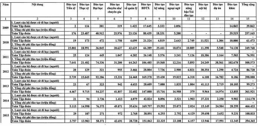
Phụ lục 19. KẾT QUẢ CÔNG TÁC ĐÀO TẠO VÀ PHÁT TRIỂN NHÂN LỰC CỦA TẬP ĐOÀN DẦU KHÍ QUỐC GIA VIỆT NAM – 2015
238
237
Phụ lục 20. TỔNG HỢP KẾT QUẢ ĐÀO TẠO VÀ PHÁT TRIỂN NHÂN LỰC GIAI ĐOẠN 2011 – 2015

Có thể bạn quan tâm!
-
Hệ Số Kmo, Kiểm Định Bartlett Và Phương Sai Trích Thang Đo Phát Triển Nnl Clc -
Kết Quả Tính Toán Giá Trị Phân Biệt -
Phát triển nguồn nhân lực chất lượng cao tại tập đoàn dầu khí Việt Nam đến năm 2025 - 31
Xem toàn bộ 265 trang tài liệu này.
239
Phụ lục 21. MÔ HÌNH PHÁT TRIỂN CHUYÊN MÔN NGHIỆP VỤ

Phụ lục 22. MÔ HÌNH ĐÀO TẠO VÀ PHÁT TRIỂN NHÂN LỰC DẦU KHÍ

Phụ lục 23. CÁC GIAI ĐOẠN ĐÀO TẠO NHÂN SỰ VẬN HÀNH CHO CÔNG TRÌNH DẦU KHÍ

Phụ lục 24. DỰ KIẾN ĐỊNH HƯỚNG ĐÀO TẠO CỦA CÁC CƠ SỞ ĐÀO TẠO TRONG PVN




