
Giải hệ ta có:

Trong đó:
- f: Hệ số ma sát giữa đai và đĩa.
- α (rad): Góc ôm giữa đai và đĩa phanh.
- Lực vòng.

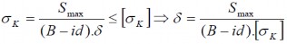
Bề rộng đai phanh B được tính toán dựa vào áp lực riêng cho phép:

Có thể bạn quan tâm!
-
Máy nâng chuyển - 6 -
Chốt Trong Cơ Cấu Bánh Cóc – Con Cóc -
Phanh Má Có Lắp Khớp Ở Má Phanh -
Phanh Tự Động Giữ Vật Có Mặt Ma Sát Không Tách Rời -
Sơ Đồ Cơ Cấu Nâng Dẫn Động Bằng Điện -
Vỏ Kích; 2- Thanh Răng; 3- Mũ Kích; 4- Bàn Nâng Phụ; 5 – Tay Quay; 6- Bộ Truyền Bánh Răng; 7 – Trục Dẫn; 8 – Bánh Răng; 9- Bánh Răng Cóc; 10- Cóc Hãm; 11- Đĩa
Xem toàn bộ 159 trang tài liệu này.
Trong đó:
- N là tổng hợp lực của áp lực p.
- F là diện tích tiếp xúc giữa đai phanh và bánh phanh.
Để xác định N ta xem xét điều kiện cân bằng lực tác dụng lên đoạn đai vi phân giới hạn bởi góc ở tâm dβ (Hình 1.59).
Chiếu tất cả các lực tác dụng lên đoạn đai vi phân theo hướng dN ta có:
![]()
Một cách gần đúng xem:
![]()
và.
![]()
Biến đổi và rút gọn ta có:

Mặc khác:
![]()
Thay N và F vào (6.70) Ta có:
![]()
Trong tính toán lấy:


Hình 1.59: Sơ đồ tính toán phanh đai
b. Phanh đai đơn giản
Đây là loại phanh thường đóng nhờ đối trọng G kéo đòn phanh xuống dưới, muốn mở phanh phải tác dụng vào đòn bằng lực mở phanh Pn do BĐT gây ra.
Đầu đai có nhiều kết cấu khác nhau để có thể điều chỉnh khe hở giữa đai và đĩa
phanh.
Tính toán Sơ bộ:
Trước tiên từ điều kiện hãm ta đã có:

Trọng lượng cần thiết của đối trọng G (để tạo ra lực đóng phanh) xét theo chiều hạ vật được xác định thông qua điều kiện cân bằng lực trên đòn phanh:

Trong đó:
- Gt – Trọng lượng đòn phanh.
- Gn – Trọng lượng phần ứng BĐT.
- η = 0,9 ÷ 0,95 – Hiệu suất đòn phanh.
- a, b, c, d là các cánh tay đòn phanh, thông thường tỷ lệ d/a = 10 ÷ 15.
Khi quay theo chiều ngược lại (Nâng vật) Lực đóng phanh G sẽ lớn hơn lần (Cùng Mα .f e ).
P
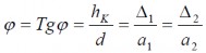
Để triệt tiêu khe hở ε, đòn phanh phải thực hiện hành trình tại diểm gắn nhánh đai Δ :
1
Δ = (R + ε).α - R.α = ε.α ; ε = (0,8 ÷ 1,5) mm
1

Hình 1.60: Sơ đồ phanh đai đơn giản
Khi đó bước của đòn phanh tại điểm gắn đối trọng G:

Lực kéo cần thiết của BĐT:
![]()
Tính toán kết cấu:
Bề rộng đai phanh B được tính toán dựa vào áp lực riêng cho phép:

Chiều dày δ của đai thép xác định theo điều kiện chịu kéo có trừ các lỗ tán đinh
tán:

Trong đó: i là số đinh tán trong một dãy và d là đường kính của đinh tán thông thường chọn d = (4 ÷ 10)mm. Hoặc có thể tính chọn theo điều kiện chịu cắt:

Ngày nay có nhiều loại keo dán có độ bền cao, có thể dán phần ma sát vào đai
thép.
c. Phanh đai vi sai
Đặc điểm của phanh này là cả hai đầu đai đều nối vào hai đầu đòn. Khi phanh, đầu đòn trái nâng lên làm giảm lực căng nhánh vào. Lực căng nhánh vào và nhánh ra tự điều chỉnh. Gọi là vi sai vì mômen phanh của phanh bằng hiệu của các mômen do các lực căng nhánh vào S và nhánh ra S gây nên đối với khớp quay của đòn phanh.
1 2
Tính toán Sơ bộ:
Tương tự như tính toán phanh đai đơn giản. trọng lượng cần thiết của đối trọng G (để tạo ra lực đóng phanh K) xét theo chiều hạ vật được xác định thông qua điều kiện cân bằng lực trên đòn phanh:

Hình 1.61: Sơ đồ phanh đai vi sai
Từ ΣM0 = 0 ta có:

Phân tích biểu thức trên, nhận thấy ứng với cách chọn cánh tay đòn a1 và a2 ta có thể có lực đóng phanh G nhỏ khi MP là bất kỳ và đây chính là ưu điểm của phanh băng vi sai.
Và nếu: a1 – a2.ef.α ≤ 0
Đây là hiện tượng tự hãm cần tránh Do vậy phải chọn: a1 > a2.efα Thông thường a1 = (2,5 ÷ 4) a2.
Khi đổi hướng quay của đĩa phanh, Lực đóng phanh G sẽ lớn hơn

Tính bước của đòn phanh h (tại điểm gắn đối trọng G):
k
Một cách gần đúng ta có:
![]()
Mặc khác:
![]()
Khi đó:
![]()

Tính toán kết cấu:
Việc tính toán bề rộng đai phanh B; Chiều dày δ của đai thép; số đinh tán trong một dãy i và đường kính của đinh tán d được tính toán tương tự như phanh đai đơn giản.
d. Phanh đai hỗn hợp
Phanh đai hỗn hợp là phanh có kết cấu sao cho các lực căng ở nhánh vào và nhánh ra cùng chiều, đồng thời lựa chọn thích ứng sao cho a1 = a2 = a. Với kết cấu như vậy mômen phanh không phụ thuộc chiều quay của đĩa phanh. Như vậy, loại phanh này có thể dùng cho các cơ cấu có thay đổi chiều quay như cơ cấu di chuyển, cơ cấu quay.

Hình 1.62: Sơ đồ phanh đai hỗn hợp
Tương tự như tính toán 2 phanh BĐT. Trọng lượng cần thiết của đối trọng G (để tạo ra lực đóng phanh) xét theo bất cứ chiều nào được xác định thông qua điều kiện cân bằng lực trên đòn phanh:
![]()
![]()
Bước của đai phanh:
![]()
Khi đó:
![]()
Tính toán chung cho 3 loại phanh:
Chọn bánh đai trên xuất phát từ công của BĐT

Trong đó:
- P – Lực hút của BĐT.
n
- h – Bước của BĐT.
P
- η - Hiệu suất của các đòn phanh.
- k – Hệ số sử dụng bước BĐT (0,75).
1
Với Phanh đai đơn giản:
![]()
Với Phanh đai vi sai:

Với Phanh đai tổng hợp:

Bề rộng đai phanh B được tính toán dựa vào áp lực riêng cho phép:

Chiều dày δ của đai thép xác định theo điều kiện chịu kéo có trừ các lỗ tán đinh tán
![]()
Trong đó: i là số đinh tán trong một dãy và d là đường kính của đinh tán có thể tính chọn theo điều kiện chịu cắt:
![]()
Thường chọn d = (4 ÷ 10) mm
1.6.5. Phanh áp trục
Phanh chịu áp lực dọc trục là phanh có lực đóng phanh dọc theo trục cần phanh. Các loại phanh chịu áp lực dọc trục bao gồm: Phanh nón, phanh đĩa, các phanh tự động giữ vật nâng.
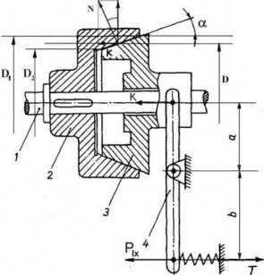
a. Phanh nón
Phanh nón gồm đĩa mặt nón ngoài 2 lắp then hoa với trục 1 của cơ cấu. Nón trong 3 lắp lỏng trên trục và được cố định chỉ cho quay theo một chiều bằng thiết bị bánh răng cóc – chốt cóc. Đóng mở phanh nhờ tay gạt kẹp 4 vào moayơ nón 3.
Tính toán phanh nón dựa vào mômen phanh M và đường kính đĩa phanh cho
p
trước D.
Áp lực dọc trục K để đóng phanh xuất phát từ điều kiện ma sát của hai mặt nón. Để phanh được, lực ma sát F ít nhất phải bằng lực vòng P: F = P

Hình 1.63: Sơ đồ phanh nón
Trong đó:
- F = N.f – Lực ma sát.
- Lực vòng
![]()
- f – Hệ số ma sát giữa hai mặt nón, muốn có hệ số ma sát cao thì lót bề mặt các nón bằng vật liệu ma sát như abectô, pherađô.
Áp lực N được tạo ra do lực K tác động vào nón di động 2 khi đóng phanh. Từ tam giác lực trên hình 6.17 ta có :

Trong đó:
- α - Góc kết cấu của nón. Muốn K có trị số nhỏ, cần α nhỏ, nhưng không nên nhỏ hơn 150 để tránh hiện tượng kẹt phanh.
- D là Đường kính trung bình của nón: thường thì D = (1,2 ÷ 1,6) D
1 2
![]()
Để tính toán các kích thước phanh côn, căn cứ vào áp lực riêng giữa các bề mặt làm việc của nón:

Trong đó:
2
- Sc (cm ) – Diện tích vành nón tiếp xúc.
- Sh = Sc.sinα - Hình chiếu Sc lên bề mặt thẳng góc với trục nón.
![]()
2
Tuỳ từng loại vật liệu, áp lực riêng cho phép trong khoảng (10 ÷ 25) N/mm .
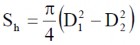
b. Phanh dĩa
0
Phanh đĩa là trường hợp đặc biệt của phanh nón khi góc nón α = 90 . Do vậy, có
thể dùng các công thức tính áp lực dọc trục K và áp lực riêng p trong trường hợp phanh nón để tính.

Trong đó diện tích bề mặt làm việc của phanh:
![]()
Khi mômen phanh lớn, để giảm lực đóng phanh người ta kết cấu phanh nhiều đĩa:
Phanh nhiều đĩa kiểu dùng lò xo để đóng và dùng BĐT để mở phanh có kích thước nhỏ gọn nên được sử dụng rộng rãi trong các palăng điện. Phanh được lắp ngay






