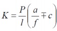
Để xác định lực đóng phanh K, lập phương trình cân bằng của tất cả các lực tác dụng vào đòn 3 đối với tâm quay O.
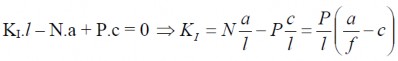
Khi đĩa phanh quay ngược chiều kim đồng hồ (chiều I), phương trình có dạng :
(1.6) |
Có thể bạn quan tâm!
-
Ròng Rọc Dùng Cho Cáp Thép H = (2 ÷ 2,5)D C ; R = (0,53 ÷ 0,6)D C -
Máy nâng chuyển - 6 -
Chốt Trong Cơ Cấu Bánh Cóc – Con Cóc -
Máy nâng chuyển - 9 -
Phanh Tự Động Giữ Vật Có Mặt Ma Sát Không Tách Rời -
Sơ Đồ Cơ Cấu Nâng Dẫn Động Bằng Điện
Xem toàn bộ 159 trang tài liệu này.
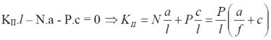
Khi đĩa phanh quay theo chiều kim đồng hồ (chiều II), ta có:
(1.7) |
So sánh (1.6) và (1.7) ta thấy: K < K .
I II
Khi thiết kế phanh phải chú ý đến chiều quay của phanh, đặt tâm quay của đòn về phía nào để cho trị số K nhỏ nhất. Tổng quát

Dấu (-): khi quay chiều I Dấu (+): khi quay chiều II
b.Quay cùng chiều kim đồng hồ |
Hình 1.54: Phanh má có lắp khớp ở má phanh
Khi mômen phanh thường xuyên đổi chiều (trong trường hợp cơ cấu quay và cơ cấu di chuyển) cần có K = K . Muốn vậy cho cánh tay đòn c = 0 bằng cách uốn cong
I II
đầu đòn (vị trí chấm chấm trên hình), khi đó mômen ± P.c = 0. Ta có:

Nhưng nếu a/f ≤ c suy ra K ≤ 0 Đây là trường hợp tự hãm cần tránh.
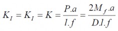
Trị số và phương phản lực S tại tâm quay O của đòn phanh xác định bằng phương pháp đồ thị. Để tránh mòn không đều má phanh, thường lắp khớp má phanh với đòn phanh bằng chốt, không lắp cứng. Trong trường hợp này, hợp lực của lực N và
f.N là N’ ở trạng thái cân bằng của má phanh phải đi qua tâm chốt A (Hình 1.54).
Điểm đặt N’ là điểm B bị lệch sang phải hoặc trái so với điểm C (tuỳ theo chiều quay của đĩa phanh) một đoạn là CB và gây nên sự phân bố áp suất không đều trên má phanh.
Để hạn chế nhược điểm này, khi thiết kế phanh cần chọn c nhỏ để giảm độ lệch
áp lực phân bố p và p . Bởi e = BC ≈ c.tgγ và để e có giá trị nhỏ nhất.
max min
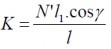
Khi cần tính lực K trong trường hợp này, trước tiên xác định lực N’ theo công thức :
![]()
Sau đó viết phương trình cân bằng mômen đối với đòn phanh 3 cho hai hướng
quay:
Khi đĩa quay ngược chiều kim đồng hồ:
![]()
Khi đĩa phanh quay theo chiều kim đồng hồ:

Trong hai công thức trên : h = h = h = a.cosγ
I II
Như vậy khi má phanh lắp chốt với đòn phanh và không cần uốn cong đòn phanh, thì lực đóng phanh K không phụ thuộc vào chiều quay của đĩa phanh. Góc γ có giá trị không đổi trong cả hai hướng quay trên: K = K = K .
I II
Trong thực tế tính toán, kết cấu phanh má có giá trị γ rất nhỏ, lực N’ xấp xỉ bằng N, do vậy:

Khi điều khiển bằng tay, lực K không vượt quá 120 ÷ 150N.
Phanh một má có nhược điểm lớn là gây áp lực một phía lên đĩa phanh, có khả năng cong trục phá ổ đỡ của cơ cấu.
b. Phanh 2 má
Phanh hai má có thể xem như hai phanh một má ghép với nhau bằng các đòn liên kết, đảm bảo hai má đóng mở đồng thời.
Phanh hai má bước ngắn kiểu trọng vật là loại phanh thường đóng. Đóng phanh nhờ trọng vật và mở phanh nhờ lực hút của bộ điện từ. Bộ điện từ (BĐT) có phần ứng đặt trên đòn phanh 4.

Hình 1.54: Phanh hai má bước ngắn kiểu trọng vật
Điều kiện dừng vật:

Trong đó:

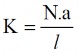
Để xác định lực đóng phanh K ta xét điều kiện cân bằng các lực tác dụng lên các đòn phanh:
Xét đòn 1: N.a = L2.b (1)
Xét tấm cứng 3: Z.e = L2.c (2)
Xét đòn 4: K.n + G.m – Z.h = 0 (3) Từ (1), (2) và (3) ta có:

Hoặc:

Đường kính dĩa phanh, má phanh được tính tương tự như phanh một má. Các đòn phanh được tính theo uốn hoặc kéo tùy trường hợp chịu lực. Các khớp bản lề được tính dựa vào các phản lực tại khớp.
c. Phanh hai má bước ngắn kiểu TKT
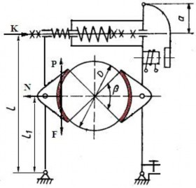
Trong máy nâng chủ yếu sử dụng phanh hai má bước ngắn kiểu TKT. Kết cấu của phanh chắc chắn, làm việc ổn định, ít hỏng hóc. Khi má phanh bị mòn dễ thay thế má phanh mới. Phanh hai má bước ngắn TKT được tiêu chuẩn hoá căn cứ vào đường kính bánh phanh D. Đây là loại phanh thường đóng. Đóng phanh nhờ lò xo nén và mở phanh nhờ lực hút của bộ điện từ.

Hình 1.55: Phanh hai má bước ngắn kiểu TKT
Nguyên lý làm việc và kết cấu phanh hai má bước ngắn kiểu TKT: Lực đóng phanh do lò xo chính 8 gây ra. Lò xo 8 đang bị nén tác động vào đòn đứng 5 bên trái thông qua các đai ốc 10 và đòn ngang số 14 (Các đai ốc 10, 11 còn dùng để điều chỉnh lực căng lò xo chính 8). Lúc này Lò xo 8 cũng tác động vào đòn đứng phải 3 thông qua đòn ống 13. Khi đó hai má phanh 2,4 được ép chặt vào đĩa phanh 1 (hình 1.55).
Mở phanh nhờ lực hút của bộ điện từ (BĐT). Bộ điện từ có phần cảm 6 đặt trên đòn phải 3, phần ứng 7 nối khớp với đầu của đòn phải 3 đồng thời tựa trên đầu phải của đòn ngang số 14. Khi động cơ điện của cơ cấu được đóng điện phần cảm BĐT cũng có điện (có thể dùng dòng một chiều hoặc dòng xoay chiều). Phần cảm 6 sẽ hút
phần ứng 7 đẩy đòn ngang 14 sang trái lúc này lò xo 8 sẽ bị nén thêm một đoạn. Đòn đứng trái 5 kéo má phanh trái 4 mở ra khỏi đĩa phanh trị số 2ε (ε là khe hở giữa má và
đĩa phanh, ε = ε = ε). Đồng thời lúc này. Lò xo phụ 9 tác động vào đáy ngoài đòn
1 2
ống, đẩy đòn ống 13 sang phải, đòn đứng phải 3 mở ra, kéo má phanh phải 2 ra khỏi đĩa phanh trị số ε. Khi đó khe hở ở má trái chỉ còn lại trị số ε.
Đầu trái đòn ngang 14 có ốc điều chỉnh 12 để điều chỉnh lực căng lò xo phụ 9. Vít 15 dùng để điều chỉnh hành trình của dòn ngang đồng thời điều chỉnh khe ε hở điều giữa hai má phanh.
d. Tính toán phanh hai má bước ngắn kiểu TKT
Phanh cho các cơ cấu máy nâng thường lắp ở trục thứ nhất (trục I), trước khi đi vào hộp giảm tốc bao giờ trục động cơ điện cũng được lắp khớp nối, tận dụng mặt ngoài của phần bị động của khớp nối tiêu chuẩn để làm đĩa phanh. Khi tính toán và chọn phanh phải để ý kết hợp với việc chọn kiểu khớp nối cho phù hợp.
Điều kiện dứng

Lực đóng phanh xác định theo công thức:
![]()
Hoặc
![]()
Trong đó:


Hoặc
![]()
Lực của lò xo chính khi đóng phanh phải thỏa mãn:

Trong đó:
- KP là lực do lò xo phụ tác động (Khi đóng phanh lò xo này bị nén thêm):
K = (20 ÷ 80)N
P
- M là mômen trọng lực của phần ứng đối với trục quay của nó.
N
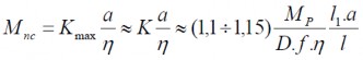
Lực của lò xo chính K có thể tính gần đúng : K = (1,10 ÷ 1,15).K
O O
Khi mở phanh đòn ngang 14 di chuyển một bước h:

Trong đó:
- ε = (1,5 ÷ 2,0) mm: Khe hở giữa má và đĩa phanh.
- 1,1 : Hệ số tính đến độ đàn hồi của các cánh tay đòn phanh.

Hình 1.56 Sơ đồ tính toán phanh TKT
Khi đó lực nén thêm lò xo chính sẽ là: Kt = h.c (c là độ cứng của lò xo). Lực lớn nhất trong lò xo chính (khi mở phanh):
![]()
o
Có thể tính góc quay α của phần ứng BĐT thay cho tính hành trình h:

Mômen tính toán do BĐT tác động vào đầu phải đòn ngang: M = K .a
nc max
Một cách gần đúng:

Từ kết quả tính Mnc, h hoặc α ta chọn BĐT theo tiêu chuẩn cho phù hợp. Lò xo được tính theo ứng suất xoắn:

Trong đó:
- D (mm): Đường kính trung bình của lò xo.
lx
- d (mm): Đường kính thép lò xo.
- c: Hệ số độ cứng lò xo, phụ thuộc tỷ số D /d.
0
2
- [η]
x
(N/mm ): Ứng suất cho phép của vật liệu lò xo.
e. Phanh hai má bước ngắn điện – thuỷ lực TKTΓ
Phanh hai má bước ngắn điện – thuỷ lực TKTΓ là loại phanh hai má thường đóng nhờ lò xo nén và mở phanh kết hợp giữa điện và thuỷ lực.
• Nguyên lý làm việc và kết cấu phanh hai má bước ngắn điện – thuỷ lực TKTΓ:

Hình 1.57: Sơ đồ Phanh hai má điện – thuỷ lực TKTΓ
Khi cơ cấu chưa làm việc, phanh ở trạng thái đóng, lò xo 6 bị nén, do đầu dưới của lò xo cố định bởi đai ốc 9 nên nó kéo đầu trái của thanh truyền 5 đi xuống, làm ép hai má phanh vào bánh phanh. Có thể điều chỉnh mômen phanh bằng cách vặn đai ốc 9 để thay đổi lực nén lò xo 6.
Khi cơ cấu làm việc, con đẩy điện thuỷ lực 7 hoạt động đẩy đầu trái của tay truyền lực 5 đi lên, lò xo bị ép lại. Khi thanh truyền 5 đi lên thông qua thanh 4 và đòn phanh 3 má phanh bên phải 2 mở ra cho đến khi cái hạn chế hành trình 8 chạm đế phanh thì tay đòn phanh và má phanh bên trái được mở ra.
Tăng đơ 4 và cái hạn chế hành trình 8 dùng để điều chỉnh khe hở є giữa má phanh và bánh phanh, và để các má phanh mở đều ra hai bên. Kết cấu tham khảo hình 1.58

Hình 1.58: Kết cấu Phanh hai má điện – thuỷ lực
Ở phanh hai má kiểu điện- thuỷ lực, con đẩy thuỷ lực có thể điều chỉnh được tốc độ đẩy, vì vậy quá trình phanh xảy ra êm dịu, không bị giật.
• Ưu điểm: Đây là loại phanh thuờng đóng và có nhiều ưu điểm hơn so với phanh điện từ. Nó khắc phục được sự va đập, khi mở phanh êm dịu hơn, không bị đột ngột. Từ những ưu điểm trên mà ngày nay, trong máy nâng người ta sử dụng phanh điện thuỷ lực là chủ yếu.
• Nhược điểm: Giá thành cao. Chế tạo khó khăn phức tạp hơn phanh điện từ do kết cấu của bình điện thuỷ lực có động cơ điện, bơm thủy lực và pittông thủy lực đòi hỏi độ chính xác cao.
1.6.4. Phanh đai
Trong máy nâng, phanh đai ít dùng hơn phanh má, vì tuy mômen phanh lớn nhưng cồng kềnh, chiếm nhiều chỗ. Có nhiều loại phanh đai: Phanh đai đơn giản, vi sai, hỗn hợp, phanh đai tác dụng hai chiều. Điều khiển phanh đai có thể bằng BĐT, bằng thuỷ lực, có khi điều khiển tự động.
a. Cơ sở tính toán phanh đai
Mômen phát sinh trong đai là nhờ ma sát giữa đai phanh và đĩa phanh hình trụ. Từ điều kiện dừng: Mômen ma sát phát sinh khi phanh phải lớn hơn hoặc bằng Mômen phanh và quan hệ giữa lực căng ở nhánh đai đi vào đĩa (Smax) và lực căng ở nhánh ra khỏi đĩa phanh (Smin) tuân theo công thức Ơle .
Ta có hệ phương trình:










