Tính base: (pKa3 9,1 – 9,7). Chế phẩm dược dụng dạng hydroclorid. Ứng dụng định tính, định lượng. Do vị đắng nên thường đóng dạng viên nang.
Tính acid: pKa1 khoảng 3; pKa2 khoảng 7,5. Tan trong kiềm (dung dịch không bền).
Tác dụng với ion kim loại hóa trị 2, 3 tạo muối phức không tan (calci, magnesi, nhôm, sắt) nên khó hấp thu khi uống. Do tạo phức với calci nên phức hợp tetracyclin-calci orthophosphat lắng đọng trong răng và các xương mới tạo thành làm cho răng có màu vàng và dần dần biến sang đen do phản ứng quang hóa. Tetracyclin phân bố vào sữa mẹ và vào nhau thai. Vì vậy, không dùng tetracyclin cho trẻ em dưới 8 tuổi, phụ nữ mang thai hoặc cho con bú.
Sự epi hóa: trong dung dịch, các tetracyclin dễ bị epime hóa ở vị trí 4 thành các epitetracyclin mất hoạt tính. Vì vậy, các dung dịch tetracyclin giảm dần hoạt tính theo thời gian. pH epime hóa nhanh nhất là 4 và tương đối chậm hơn ở trạng thái rắn.
Trong môi trường acid hoặc base mạnh: các tetracyclin có nhóm OH ở vị trí 6 bị mất hoạt tính do tạo anhydrotetracyclin hoặc isotetracyclin. Anhydrotetracyclin có mà đậm hơn tetracyclin và vì vậy, nếu chế phẩm biến màu phải loại bỏ. Ngoài ra, anhydrotetracyclin có thể epime hóa thành 4-epianhydrotetracyclin, chất này cũng được tạo thành do dehydrat hóa 4-epitetracyclin và là chất độc với thận.
Để tạo hợp chất vững bền và có tác dụng lâu dài, người ta bán tổng hợp ra các tetracyclin không có nhóm OH ở vị trí 6 như 6-desoxy-tetracyclin; doxycyclin; methacyclin và minocyclin. Ở pH trên 8,5 tạo isotetracyclin mất hoạt tính.
Định tính
Tác dụng với muối đồng tạo phức có màu; trong dung dịch HCl loãng, các tetracyclin có màu vàng ánh xanh. Phản ứng phân biệt các tetracyclin là phản ứng dehydrat hóa bằng acid sulfuric đậm đặc tạo màu tím đỏ hung.
Nhóm OH phenol: tác dụng với FeCl3 tạo màu; tác dụng muối diazoni tạo phẩm màu azoic.
Tính khử: tác dụng với tác nhân oxy hóa tạo màu như cloramin; ninhydrin. Ánh sáng xúc tác oxy hóa tetracyclin (tránh ánh sáng)
Định lượng
Ngày nay thường dùng phương pháp HPLC với detector UV.
Tác dụng, chỉ định
Là kháng sinh phổ rộng nhưng do hiện tượng kháng thuốc và tác dụng phụ nên tetracyclin không phải là kháng sinh lựa chọn đầu tiên, song vẫn còn dùng phổ biến để điều trị các nhiễm trùng do vi khuẩn nhạy cảm. Thường dùng liều thấp để uống hoặc dùng ngoài trong điều trị mụn trứng cá; nhiễm trùng đường tiết niệu mắc phải ở cộng đồng (thường do E.coli); nhiễm trùng đường hô hấp trên; nhiễm trùng mắt; bệnh lây truyền qua
94
đường tình dục; phòng sốt rét; phỏng tiêu chảu khi đi du lịch...Trong chăn nuôi, tetracyclin được sử dụng nhiều để tăng cân nhanh.
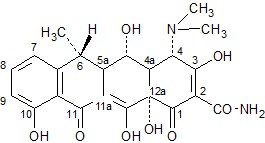
TETRACYCLIN HYDROCLORID

C22H24N2O8; Ptl = 444,4
Tên khoa học: (4S,4aS,5aS,6S,12aS)-4-dimethylamino-1,4,4a,5a,6,11,12a-octahydro- 3,6,10,12,12a-pentahydroxy-6-methyl-1,11-dioxo-naphthacen-2-carboxamid
Điều chế
- Bằng phương pháp vi sinh: phân lập từ môi trường nuôi cấy Streptomyces aureofaciens, Streptomyces rimosus, Streptomyces viridofaciens.
- Bán tổng hợp: loại nhóm clor từ clorotetracyclin bằng cách hydrogen hóa với sự có mặt của C-paladium (PdC4). Phương pháp này không hiệu quả bằng phương pháp lên men vi sinh.
Tính chất
Bột màu vàng, vị rất đắng. Tan trong nước, dung dịch dần dần bị đục do tạo tetracyclin base. Khó tan trong ethanol. Là hóa tính cung của tetracyclin. Xác định ion clo bằng AgNO3
Định lượng
Bằng phương pháp đo quang phổ tử ngoại 400nm sau phản ứng với ion đồng trong môi trường kiềm. Đo phổ hấp thụ tử ngoại ở 380nm trong dung dịch NH4OH 0,1N hoặc HPLC với detector UV.
Chỉ định
Là chất được sử dụng phổ biến nhất trong nhóm do đạt nồng độ trong máu cao hơn và lâu hơn các tetracyclin khác. Một số chế phẩm kết hợp làm tăng nồng độ tetracyclin trong máu như “Panmycin” (kết hợp với magnesi clorid); “Tetrex” (kết hợp với natri metaphosphat). Chỉ định như các tetracyclin nói chung.
Dạng bào chế: viên nang, thuốc mỡ, dung dịch dùng ngoài (điều trị trứng cá)
95
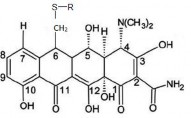
DOXYCYCLIN

C22H24N2O8.H2O; Ptl = 444,4
Tên khoa học: (4S,4aR,5s,5aR,6R,12aS)-4-dimethylamino-1,4,4a,5,6,11,12a-octahydro- 3,5,10,12,12a-pentahydroxy-6α-methyl-1,11-dioxo-2-naphthacen carboxamid
Điều chế
Bán tổng hợp sự hydro hóa xúc tác dưới áp suất cao metacyclin (6-deoxy-6-demethyl- 6-methylene-5-oxytetracyclin)

![]()


![]()
Tính chất
Do vị trí 6 không có nhóm hydroxy nên doxycylin vững bền trong môi trường acid hoặc kiềm. Ngoài ra, nó hấp thu qua đường tiêu hóa tốt hơn các tetracyclin khác nên liều dùng thấp hơn; không tích lũy trong cơ thể người suy thận.
2.4 KHÁNG SINH NHÓM CLORAMPHENICOL VÀ DẪN CHẤT
96
Cloramphenicol là kháng sinh phổ rộng đầu tiên được sử dụng rộng rãi. Nguồn gốc phân lập từ Streptocyces venezuela và ngày nay được điều chế bằng tổng hợp hóa học.

Tính chất
Bột kết tinh trắng hoặc trắng hơi vàng hoặc hơi xám, hoặc tinh thể nhỏ, hình kim.
Khó tan trong nước, dễ tan trong ethanol và propylen glycol, vị rất đắng.
Hóa tính của Cloramphenicol là hóa tính của nhóm chức amid, clo hữu cơ; nitro thơm, alcol.
Dưới dạng bột hoặc tinh thể, Cloramphenicol vững bền. Tuy nhiên, dưới dạng dung dịch, nó bị thủy phân và phân hủy bởi ánh sáng. Tốc độ các phản ứng này phụ thuộc pH, nhiệt độ và ánh sáng.
Dạng bào chế: viên nang – Cloramphenicol palmiat (uống); tiêm tĩnh mạch – Natri cloramphenicol succinat.
Kiểm nghiệm:
Góc quay cực riêng; thủy phân xác định ion clorid; chế phẩm tan trong dung dịch kiềm và có màu; khử hóa xác định nhóm amin thơm (đính tính, định lượng); hấp thụ bức xạ tử ngoại.
Cơ chế tác dụng, chỉ định:
Kháng sinh phổ rộng; ức chế tổng hợp protein vi khuẩn. Do gây loạn tạo máu nặng và các độc tính khác nên nay chỉ dùng trong các trường hợp nhiễm trùng nặng do các loại vi khuẩn gram dương, âm kháng penicillin G và ampicillin như H.influenzae; thương hàn, viêm phổi do liên cầu; B.fragilis và màng não cầu.
2.5 KHÁNG SINH MACROLID
Kháng sinh macrolid là kháng sinh có cấu trúc vòng lacton lớn (macrolid) và cũng là loại glycosid.
Tính chất
Do vòng lacton lớn nên các hợp chất này thân dầu, khó tan trong nước, tan được trong một số dung môi phân cực (ethanol)
97
Hóa tính nhóm chức lacton, nhóm dimethylamin, nhóm ceton và nhóm OH; nghĩa là bị thủy phân trong môi trường acid hoặc kiềm, tan trong acid vô cơ; tạo ester, phản ứng ngưng tụ với các amin.
Định tính và định lượng
Thường dùng phương pháp HPLC với detector UV bước sóng ngắn. Phổ tác dụng
Phổ tác dụng giống penicillin; nghĩa là có tác dụng trên hầu hết các vi khuẩn gram dương, còn có tác dụng trên cầu khuẩn gram âm, đặc biệt là các loại Neisseria; thường có tác dụng trên vi khuẩn đã kháng penicillin. Ngoài ra, các macrolid còn có tác dụng trên một số vi khuẩn khác.
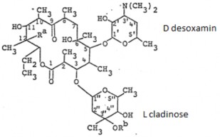
ERYTHROMYCIN


Tính chất
Bột hoặc tinh thể trắng hoặc hơi vàng, vị rất đắng; khó tan trong nước, dễ tan trong ethanol, tan trong methanol; tan trong dung dịch acid.
Nhóm chức lacton: chỉ bền trong môi trường trung tính nên dạng bào chế viên bao tan trong ruột (chỉ khắc phục được vị đắng, hấp thu vẫn kém)
Hóa tính của nhóm dimethylamin: tạo muối như stearat (viên bao tan trong ruột, hấp thu tốt); lactobionat, gluceptat (dễ tan trong nước, pha dung dịch trong nước để tiêm hoặc bột pha tiêm)
Nhóm chức ceton: định tính (tác dụng với thuốc thử anisaldehyd tạo màu); để điều chế azithromycin.
Nhóm hydroxyd của đường chứa dimethylamin: ester hóa tạo dẫn chất dễ tan trong dầu hơn, tăng độ bền với acid dịch vị, hấp thu qua đường tiêu hóa tốt hơn (ethyl succinat, propionat hoặc propionat laurylsulfat; estolat – tan trong nước dùng pha tiêm)
Chỉ định
98
Điều trị viêm xoang, viêm phế quản, viêm tai. Chuẩn bị phẫu thuật ổ bụng (kết hợp Neomycin uống) để ức chế vi khuẩn cộng sinh. Phòng viêm màng trong tim cho bệnh nhân dị ứng penicillin khi họ bị bệnh tim bẩm sinh, bệnh van tim…

CLARITHROMYCIN
Tính chất
Việc thay nhóm OH bằng nhóm methoxy vẫn duy trì được hoạt tính kháng khuẩn nhưng làm tăng độ bền trong môi trường acid, tăng khả năng hấp thu khi uống và giảm tác dụng phụ trên hệ tiêu hóa của Erythromycin.
Bột kết tinh trắng, thực tế không tan trong nước, hơi tan trong ethanol, dễ tan trong aceton. Hóa tính giống Erythromycin.
Chỉ định: điều trị viêm phế quản, viêm phổi, viêm amidan, viêm xoang, viêm tai, loét dạ dày – tá tràng do H.pylori…
2.6 CÁC LINCOSAMID

Các Lincosamid là amid của acid 4-n-propyl hygric (acid 1-methyl-4-propyl-2- pyrolidincarboxylic) với đường amin.
Đặc điểm nổi bật của loại kháng sinh này là trong phần đường chứa nhóm methylthio.
Trong nhóm này có 2 chất được dùng trong điều trị là Lincomycin (phân lập từ Streptomyces lincolnensis) và Clindamycin (bán tổng hợp từ Lincomycin)
Tính chất
Tính base: pKa khoảng 7,6. Chế phẩm dược dụng là muối HCl, dễ tan trong nước. Ứng dụng định tính, định lượng.
Nhóm chức amid: thủy phân, tính acid. Dung dịch trong nước vững bền ở nhiệt độ thường, thủy phân chậm trong môi trường acid, nhanh hơn trong môi trường kiềm.
Nhóm OH: ester hóa. Chế phẩm dung dịch 2-palmitat, dùng dạng HCl tiêm hoặc dạng phosphat tiêm bền vững hơn dạng HCl.
99
Tác dụng, chỉ định
Tác dụng chủ yếu trên vi khuẩn gram dương, đặc biệt là cầu khuẩn, song cũng có tác dụng trên các loại vi khuẩn yếm khí không tạo nha bào, actinomyces và một số loại Plasmodium.
Cơ chế tác dụng và các tính chất dược lý giống kháng sinh macrolid; nghĩa là ức chế việc tổng hợp protein của vi khuẩn.
Chỉ định điều trị nhiễm trùng bởi vi khuẩn gram dương, đặc biệt là tụ cầu, liên cầu và phế cầu như trong nhiễm khuẩn đường hô hấp trên, da, các mô khác. Clindamycin có tác dụng mạnh hơn, dễ hấp thu qua đường uống hơn Lincomycin.
Tác dụng phụ
Chủ yếu trên hệ tiêu hóa như buồn nôn, nôn, tiêu chảy và viêm ruột kết màng giả. Khi ngừng thuốc, các triệu chứng trên mất. Viêm ruột kết màng giả có thể gây tử vong do nội độc tố glycoprotein - sản phẩm tạo thành do sự phân hủy vi khuẩn yếm khí trong ruột.
2.7 KHÁNG SINH QUINOLON
Nguồn gốc: là acid nalidixic – một thuốc kháng khuẩn tổng hợp trị nhiễm khuẩn đường tiểu bởi vi khuẩn gr (-) từ 1964. Đây là thuốc đầu tiên thuộc nhóm quinolon.

Quinolin Quinolon Acid nalidixic
Thuốc này bị giới hạn điều trị do sự đề kháng và nhiều tác dụng phụ tuy nhiên hiện nay vẫn còn được sử dụng. Các dẫn chất quinolon trong thời kỳ đầu (1965 – 1985) được gọi là các quinolon thế hệ 1.
Các quinolon thế hệ 1

100
X | Y | R | |
Acid oxolinic | H | H | C2H5 |
Cinoxacin | N | H | C2H5 |
Mibxacin | H | H | OCH3 |
Có thể bạn quan tâm!
-
Một Số Kháng Sinh Điển Hình Trong Nhóm -
Hóa dược trường CĐ phương đông Đà Nẵng - 11 -
Hóa dược trường CĐ phương đông Đà Nẵng - 12 -
Hóa dược trường CĐ phương đông Đà Nẵng - 14 -
Hóa dược trường CĐ phương đông Đà Nẵng - 15 -
Hóa dược trường CĐ phương đông Đà Nẵng - 16
Xem toàn bộ 293 trang tài liệu này.
Tên thuốc
X | Y | R1 | R2 | |
Acid piromidic | N | N |
| C2H5 |
Acid pipemidic | N | N | C2H5 | |
Resoxacin | H | H | C2H5 |

Các quinolon thế hệ 1 hấp thu kém và chuyển hóa nhiều ở gan thành sản phẩm không có tác dụng. Phổ kháng khuẩn của những chất này hẹp, chỉ có tác dụng trên một số vi khuẩn đường ruột và đường tiểu: E.coli, Proteus, Salmonella, Enterobacter gonorrhea.
Sự đề kháng nhanh do đó hiện nay ít được sử dụng.
Các quinolon thế hệ 2
Mở rộng phổ kháng khuẩn sang các vi khuẩn gram (+).
101






