
Ngoài ra, còn có thể gọi penicillin theo vòng penam
Tên chung quốc tế của các penicillin đều có đuôi là cillin (Amoxicillin, Ampicillin, Cloxacillin, Methicillin…)
Nguồn gốc
Do nấm Penicillium notatum hoặc P.chrysogenum sản sinh ra, đó là các penicillin nguồn gốc tự nhiên. Fleming phát hiện ra loại kháng sinh này vào năm 1928.
Điều chế
Để điều chế, nuôi cấy các loại nấm trên trong môi trường thích hợp. Để tạo ra các gốc R khác nhau, thêm vào môi trường nuôi cấy các chất tiền thân khác nhau (30/30 kháng sinh được tạo ra từ các môi trường nuôi cấy các chủng này).
Tổng hợp hóa học: Đã được thực hiện, xong giá thành cao do quá nhiều giai đoạn. Bán tổng hợp: phân lập acid 6 – aminopenicillanic từ môi trường nuôi cấy
P.chrysogenum rồi acyl hóa hoặc biến benzylpenicillin thành dẫn xuất acyl hóa rồi thay R bằng R khác.
Lý tính
Có thể bạn quan tâm!
-
Trình Bài Được Đặc Điểm Tác Dụng Và Công Dụng Của Các Loại Thuốc Kích Thích Thần Kinh Trung Ương. -
Vẽ Được Cấu Trúc Chung Của Thuốc Kháng Histamin H1; Giải Thích: Kết Quả Phân Loại Theo Cấu Trúc, Tương Quan Giữa Cấu Trúc Và Tác Dụng. Nêu Cơ Chế Tác -
Một Số Kháng Sinh Điển Hình Trong Nhóm -
Hóa dược trường CĐ phương đông Đà Nẵng - 12 -
Kháng Sinh Nhóm Cloramphenicol Và Dẫn Chất -
Hóa dược trường CĐ phương đông Đà Nẵng - 14
Xem toàn bộ 293 trang tài liệu này.
Tinh thể không màu hoặc bột kết tinh trắng, mùi đặc trưng. Tất cả các penicillin tự nhiên đều hữu truyền. Độ tan và các tính chất lý hóa khác của các penicillin bị ảnh hưởng bởi mạch nhánh acyl và bởi cation tạo muối acid.
Hoá tính
Tính acid: các penicillin có tính acid khá mạnh với pKa từ 2,5 – 3,0
Dựa vào tính acid này để điều chế dạng muối: dạng acid tự do không tan trong nước, không thích hợp cho dạng uống hoặc tiêm. Vì vậy, chế phẩm dược dụng thường dùng dưới dạng muối Natri hoặc Kali; duới dạng này, chúng dễ hấp thu bằng đường uống hoặc tiêm. Muối của penicillin với các base hữu cơ như benzathin, procain, hydrabamin khó tan trong nước và thuận tiện dùng dạng depot (dự trữ) để có tác dụng kéo dài trong điều trị nhiễm khuẩn mãn tính.
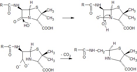
Vòng β – lactam: nguyên nhân chủ yếu phân hủy penicillin là do vòng β – lactam, đặc biệt là sự thủy phân. Quá trình phân hủy và bản chất các sản phẩm phân hủy bị ảnh hưởng bởi pH của dung dịch.
Tính không bền của vòng β – lactam:
78

Acid peniciloiic Sự phân hủy trong môi trường acid:
Nhóm carbonyl của vòng β – lactam dễ tham gia phản ứng với các chất ái nhân như nước hoặc đặc biệt là ion hydroxyd để tạo thành acid penicilloic mất hoạt tính; acid này tương đối vững bền trong môi trường trung tính hoặc kiềm, nhưng dễ dàng bị decarboxyl hóa và thủy phân tiếp trong môi trường acid. Các chất ái nhân khác như hydroxylamin, alkylamin, alcol…, chúng sẽ mở vòng β – lactam để tạo thành acid hydroxamic, amid và ester tương ứng.
Định lượng penicillin bằng phương pháp đo iod, đo thủy ngân (1p + Hg(NO3)2)
Định tính bằng tạo hydroxamat sắt III
Tính base: nitơ trong nhóm amid có tính base. Trong môi trường acid mạnh (pH < 3), nó sẽ bị proton hóa và 1 loạt phản ướng xảy ra làm penicillin mất hoạt tính. Vì vậy, các penicillin tự nhiên không dùng được dạng uống (trừ phenoxymethylpenicillin). Trên cơ sở
79
này, người ta đã gắn thêm nhóm hút điện tử vào vị trí α của benzylpenicillin, chúng bền với acid như ở aminobenzylpenicillin (ampicillin, amoxicillin, α – halobenzylpenicillin).
Để định tính và định lượng các penicillin, ngoài các phương pháp trên, có thể dùng sắc ký lớp mỏng, hiện màu bằng hỗn hợp acid sulfuric và formaldehyd hoặc tiến hành phản ứng này trong ống nghiệm; sắc ký lỏng hiệu năng cao với detector UV…
Dựa vào phổ tác dụng, các penicillin được chia làm:
Các penicillin tự nhiên: benzylpenicillin, phenoxymethylpenicillin, benzathinpenicillin, procain benzylpenicillin
Các penicillin kháng penicillinase
Các penicillin kháng β – lactamase: Temocillin
Các aminopenicillin (penicillin phổ trung bình): ampicillin, amoxicillin, bacampicillin
Các penicillin phổ mở rộng (carboxypenicillin; ureidopeni…): Carbenicillin, ticarcillin, mezlocillin, piperacillin, azlocillin…
Các penicillin kết hợp chất ức chế β – lactamase: amoxicillin + acid clavulanic; ampicillin + sulbactam; Piperacillin + tazobactam
BENZYLPENICILLIN KALI (NATRI)
Tính chất
Bột kết tinh trắng hoặc gần như trắng, vị hơi đắng, mùi đặc trưng. Rất dễ tan trong nước, thực tế không tan trong các dầu béo, parafin và các dung môi hữu cơ. Dễ hút ẩm.
Hóa tinhs chung của penicillin: tác dụng với acid sulfuric và formaldehyd, đun cách thủy, tạo màu nâu hơi đỏ.
Chỉ định
Là kháng sinh phổ hẹp, tác dụng chủ yếu trên vi khuẩn Gr (+). Bị acid dịch vị và β – lactamase phá hủy. Dùng dạng bột pha tiêm, chủ yếu điều trị: viêm màng trong tim do nhiễm khuẩn; viên phổi, áp xe phổi; viêm phổi nhiễm từ cộng đồng; bệnh lậu, giang mai; nhiễm trùng máu ở trẻ em…
PHENOXYMETHYLPENICILLIN
Tính chất
Bột kết tinh trắng hoặc gần như trắng, rất khó tan trong nước, tan trong ethanol.
Hóa tính như các penicillin: phản ứng với acid sulfuric và formaldehyd tạo màu nâu hơi đỏ (không cần đun cách thủy).
Chỉ định và đường dùng
Bền với acid dịch vị; không bền với β – lactamase.
80
Dùng đường uống, tác dụng kém hơn benzylpenicillin. Chỉ định trong các trường hợp nhiễm khuẩn Gr (+) nhẹ như nhiễm khuẩn ở họng, đường hô hấp hoặc các mô mềm; viêm amidan, viêm thanh quản, nhiễm trùng da do Streptomyces pyogenes; phối hợp metronidazol điều trị viêm lợi.
BENZYATHIN BENZYLPENICILLIN CÁC AMINOPENICILLIN
Các aminopenicillin là những penicillin đầu tiên được bán tổng hợp để có tác dụng diệt trực khuẩn Gr (-) như E.coli và Haemophilus influenzae.
Đặc điểm cấu tạo: đều là dẫn chất α – aminobenzylpenicillin.
Phổ tác dụng: so với benzylpenicillin, nhóm này có phổ tác dụng rộng hơn đối với vi khuẩn Gr (-). Đối với vi khuẩn nhạy cảm với benzylpenicillin, nhóm này có tác dụng tương tự trên vi khuẩn Gr (+), nhưng có tác dụng mạnh hơn trên một số vi khuẩn Gr (-). Kháng acid nên dùng được đường uống.
Nguồn gốc: bán tổng hợp với nguyên liệu là A6AP (acid 6 – aminopenicillanic).
Tính chất:
Bột kết tinh trắng, thực tế không tan trong ethanol, aceton và các dầu béo. Loại ngậm 3H2O khó tan trong nước, loại khan hơi tan trong nước. Cả 2 dạng đều tan trong các dung dịch acid và hydroxyd kim loại kiềm. Dạng muối natri dễ tan trong nước, hút ẩm.
Hóa tính chung của penicillin. Ngoài ra, do ảnh hưởng của nhóm amin ở vị trí α mà vòng β – lactam vững bền trong môi trường acid (khác penicillin tự nhiên). Sự có mặt nhóm amino này sẽ tạo ra 1 α – aminoacid là ampicillin có hóa tính của α – aminoacid sau khi thủy phân: tạo màu với thuốc thử ninhydrin, tạo muối phức có màu với ion đồng hoặc sắt. Tác dụng với thuốc thử formaldehyd trong acid sulfuric chỉ tạo màu khi đun nóng.
Chỉ định
Dạng uống chỉ định chủ yếu trong điều trị nhiễm trùng nhẹ như viêm tai trong, viêm xoang, viêm phế quản, viêm phổi, nhiễm trùng đường tiết niệu và tiêu chảy nhiễm trùng (E.coli, Salmonella).
Dạng tiêm (bắp, tĩnh mạch): điều trị viêm màng trong tim, viêm màng não, nhiễm trùng máu…
Đặc điểm: Kém hấp thu qua đường tiêu hóa; H.influenzae (nguyên nhân chủ yêu gây viêm màng não và E.coli ngày càng tăng kháng thuốc nên trong điều trị các nhiễm khuẩn này thường phối hợp với các thuốc khác).
AMOXICILLIN
Tính chất
Hóa tính tương tự ampicillin. Ngoài ra, còn có hóa tính của nhóm OH phenol.
81
Chỉ định
Phổ tác dụng giống ampicillin. Tuy nhiên, amoxicillin dễ hấp thu qua đường tiêu hóa nên hay được dùng với tác dụng toàn thân hơn ampicillin và ít dùng hơn khi nhiễm khuẩn đường tiêu hóa. Ngoài ra, amoxicillin còn được dùng phối hợp trong điều trị loét dạ dày – tá tràng do nhiễm H.pylori.
Đường dùng: uống (viên nén, viên nang, hỗn dịch uống)
Các penicillin phối hợp chất ức chế β – lactamase
Các penicillin khi kết hợp với các chất ức chế β – lactamase sẽ có tác dụng trên cả các vi khuẩn sản sinh ra các enzym này. Nói chung, bản thân các chất ức chế này không có tác dụng làm tăng hoạt phổ của penicillin cùng kết hợp.
Các kết hợp thường gặp là:
Amoxicillin + Acid clavulanic
Ampicillin + Sulbactam
Ticarcillin + Acid clavulanic
Piperacillin + Tazobactam
CÁC CEPHALOSPORIN
Gọi theo acid cephalosporanic hoặc acid cephem-4-carboxylic
Theo danh pháp hệ thống IUPAC, acid cephalosporanic đọc là acid (6R) acetoxymethyl-8-oxo-5-thia-1-azabicyclo[4,2,0]oct 2-en-2 carboxylic và đánh số 1 vào N

Tên chung quốc tế đều có đầu từ là ceph hoặc cef. Các cephalosporin đầu tiên có tiếp đầu ngữ là ceph (đối với các nước nói tiếng Anh); các chất về sau tất cả các nước đều đặt tên là cef.
Cephalosporin đầu tiên (1948) phân lập được từ môi trường nuôi cấy Cephalosporium acremonium là cephalosporin C; trong cấu trúc chứa acid cephalosporanic và vị trí 7 là nhóm acylamino. Hợp chất này có hoạt tính kháng khuẩn thấp, song lại kháng β lactamase nên người ta thủy phân lấy acid 7-aminocephalosporanic (A7AC) rồi thay bằng các gốc acyl khác nhau (như penicillin) được các cephalosporin tác dụng mạnh hơn (dẫn chất A7AC)
Ngoài ra, khử nhóm acetoxy của A7AC thành A7ADC (acid 7-amino deacetoxy cephalosporanic) rồi acyl hóa tạo được các cephalosporin mới (dẫn chất A7ADC)
82
Điều chế
Hiện nay, các cephalosporin được điều chế bằng bán tổng hợp từ A7AC hoặc từ penicillin. Đối với các cephamycin, bán tổng hợp từ A7ADC hoặc phân lập cephamycin C từ môi trường nuôi cấy Streptomyces lactamdurans, thay gốc acyl bằng các acyl khác.

Các tính chất lý hóa và ứng dụng tương tự penicillin.
Phổ kháng khuẩn của các cephalosporin tương tự, song hơi yếu hơn ampicillin (phổ trung bình); tuy nhiên, các cephalosporin lại có tác dụng kháng penicillinase. Các β lactamase được tạo ra chủ yếu bởi các vi khuẩn gram dương (như methicillin). Đối với vi khuẩn gram âm, chúng tạo ra hàng trăm β lactamase khác nhau và chúng thủy phân các penicillin, ampicillin nhanh hơn các cephalosporin rất nhiều. Tuy nhiên, các β lactamase nhóm C (các cephalosporinase) lại thủy phân vòng β lactam của các cephalosporin nhanh hơn.
Phân loại
Dựa vào tính chất kháng khuẩn, các cephalosporin được chia theo thế hệ. Hiện có 4 thế hệ với đặc điểm chung là thế hệ sau có tác dụng kháng nhiều vi khuẩn âm hơn thế hệ trước và trong đa số trường hợp lại giảm hoạt tính chống vi khuẩn gram dương. Riêng thế hệ 4 có phổ kháng khuẩn rộng thực sự (cả gram dương và gram âm).
Dựa vào đường dung (uống, tiêm): các cephalosporin uống không bị phân hủy vòng β lactam ở dạ dày gồm những hợp chất có R là phenylglycin như ampicillin (cephalexin,
83
cefradin, cefadroxil, cefaclor, cefprozil, cefroxadin, cefaloglycin, cefatrizin) hoặc dạng tiền chất (ester hóa carboxylic) như axetil; proxetil (cefuroxime axetil, cefprodoxim proxetil).
CÁC CEPHALOSPORIN THẾ HỆ I


Đặc điểm
Có hoạt tính mạnh nhất so với các thế hệ tiếp theo đối với đại đa số vi khuẩn gram dương, kể cả tụ cầu vàng tạo β lactamase và đại đa số liên cầu; trừ tụ cầu kháng methicillin và liên phế cầu kháng penicillin.
Đối với vi khuẩn gram âm, chỉ tác dụng trên Escherichia coli; Klebsiella pneumonia và Proteus mirabilis. Riêng cephalothin, cephapirin và cephradin có tác dụng, nhưng yếu đối với Haemophilus influenza.
Chỉ định và điều trị
Viêm màng trong tim do nhiễm khuẩn, nhiễm trùng xương khớp, tai, phổi, máu, da và các mô mềm (kể cả nhiễm trùng vết bỏng); nhiễm trùng đường niệu do các vi khuẩn nhạy cảm.
84
Các thuốc
Cephacetril (cefacetril); cefadroxil; cephalexin; cephaloglycin; cefalonium; cefaloridin; cefalothin; cefapirin; cefatrizin; cefazaflur; cefazedon; cefazolin; cefradin; cefroxadin; ceftezol.
CEPHALEXIN
Tính chất
Bột kết tinh trắng hoặc hầu như trắng, có mùi lưu huỳnh. Hơi tan trong nước, thực tế không tan trong ethanol; tan trong các dung dịch hydroxyd kim loại kiềm.
Hóa tính tương tự ampicillin: tính acid, tính base yếu; không bị thủy phân vòng β lactam bởi aci dịch vị, thủy phân amid mạch nhánh tạo α – amino acid; hấp thụ bức xạ tử ngoại.
Chỉ định điều trị
Uống dễ hấp thu. Ít liên kết protein và đào thải hầu như hoàn toàn qua nước tiểu. Vì vậy, chỉ định chủ yếu nhiễm khuẩn đường tiết niệu. Ngoài ra, còn dùng điều trị nhiễm khuẩn đường hô hấp trên.
Dạng bào chế: Viên nang, viên nén, bột pha hỗn dịch uống.
CEPHALOSPORIN THẾ HỆ II


R = H Cefamandol Cefuroxim R = CHO

Cefoxitin
Đặc điểm chung
Phổ tác dụng rộng hơn và tác dụng mạnh hơn thế hệ I đối với vi khuẩn gram âm, song vẫn có tác dụng đối với một số cầu khuẩn gram dương và bền vững với β lactamase hơn thế hệ I. Một số có tác dụng trên vi khuẩn kỵ khí.
85






