
Biểu đồ 3.8: Mối tương quan giữa nồng độ IL-17 và điểm PASI
Nhận xét: Không có mối tương quan giữa nồng độ IL-17 và điểm PASI

Biểu đồ 3.9: Mối tương quan giữa nồng độ IL-23 và điểm PASI
Nhận xét: Không có mối tương quan giữa nồng độ IL-23 và điểm PASI.

Biểu đồ 3.10: Mối tương quan giữa nồng độ TNF-α và điểm PASI
Nhận xét: Không có mối tương quan giữa nồng độ TNF-α và điểm PASI
Bảng 3.40. Sự liên quan giữa nồng độ cytokine trước điều trị và mức độ bệnh (n=31)
Vừa (n =29) ̅± SD | Nặng (n=2) ̅± SD | p* | |
IL-17 (pg/ml) | 8,37±16,01 | 3,03±0,58 | 0,94 |
IL-23 (pg/ml) | 16,57±22,27 | 4,67±6,60 | 0,44 |
TNF-α (pg/ml) | 128,13±301,43 | 0,08±0,11 | 0,11 |
Có thể bạn quan tâm!
-
Đặc Điểm Liên Quan Đến Hội Chứng Rối Loạn Chuyển Hoá Bảng 3.9. Hội Chứng Rối Loạn Chuyển Hóa (N=56) -
Thay Đổi Tổn Thương Lâm Sàng Khác Của Nhóm Bệnh Nhân Đạt Và Không Đạt Pasi 75 -
Tỉ Lệ Đạt Pasi 75 Theo Mức Độ Bệnh Trước Điều Trị (N=56) -
Sự Thay Đổi Nồng Độ Cytokine Trước Điều Trị Và Khi Đạt Pasi 75 Theo Đặc Điểm Bệnh Nhân -
Đặc Điểm Cận Lâm Sàng Của Bệnh Nhân Trước Điều Trị -
Thay Đổi Chỉ Số Pasi Và Kết Quả Điều Trị Qua Các Lần Chiếu
Xem toàn bộ 224 trang tài liệu này.
* Krusal-Wallis test
Nhận xét: Sự khác biệt về nồng độ IL-17, IL-23 và TNF-α giữa hai nhóm vảy nến thông thường mức độ vừa và nặng không có ý nghĩa thống kê (p > 0,05).
Bảng 3.41. Sự liên quan giữa nồng độ cytokine trước điều trị và giới tính (n=31)
Nam (n =21) ̅± SD | Nữ (n=10) ̅± SD | p* | |
IL-17 (pg/ml) | 10,07±18,41 | 3,73±4,48 | 0,13 |
IL-23 (pg/ml) | 16,05±24,33 | 15,30±16,16 | 0,72 |
TNF-α (pg/ml) | 161,05±349,51 | 36,28±54,45 | 0,63 |
* Krusal-Wallis test
Nhận xét: Sự khác biệt về nồng độ IL-17, IL-23 và TNF-α giữa hai nhóm nam và nữ không có ý nghĩa thống kê (p > 0,05).
Bảng 3.42. Liên quan giữa nồng độ cytokine trước điều trị và tuổi khởi phát (n=31)
< 40 tuổi (n=27) ̅± SD | 40 tuổi (n=4) ̅± SD | p* | |
IL-17 (pg/ml) | 7,55 ± 16,12 | 11,19 ± 11,19 | 0,56 |
IL-23 (pg/ml) | 14,81 ± 22,65 | 22,56 ± 14,68 | 0,48 |
TNF-α (pg/ml) | 129,21 ± 312,69 | 64,04 ± 78,04 | 1 |
* Krusal-Wallis test
Nhận xét: Sự khác biệt về nồng độ IL-17, IL-23 và TNF-α giữa hai nhóm tuổi khởi phát trên 40 và dưới 40 không có ý nghĩa thống kê (p > 0,05).
Bảng 3.43. Liên quan giữa nồng độ cytokine trước điều trị và nhóm trên dưới 33 tuổi (n=31)
< 33 tuổi (n=17) ̅± SD | 33 tuổi (n=14) ̅± SD | p* | |
IL-17 (pg/ml) | 10,0 ± 20,06 | 5,62 ± 7,04 | 0,61 |
IL-23 (pg/ml) | 14,54 ± 21,41 | 17,34 ± 22,86 | 0,58 |
TNF-α (pg/ml) | 144,78 ± 366,35 | 91,68 ± 176,78 | 0,70 |
* Krusal-Wallis test
Nhận xét: Sự khác biệt về nồng độ IL-17, IL-23 và TNF-α giữa hai nhóm tuổi trên 33 và dưới 33 tuổi không có ý nghĩa thống kê (p > 0,05).
Bảng 3.44. Sự liên quan giữa nồng độ cytokine trước điều trị và thời gian bị bệnh (n=31)
< 5 năm (n =12) ̅ | ≥ 5 năm (n=19) ̅ | p* | |
IL-17 (pg/ml) | 8,42 ± 14,81 | 7,77 ± 16,35 | 0,13 |
IL-23 (pg/ml) | 13,91 ± 23,81 | 17,0 ± 20,93 | 0,21 |
TNF-α (pg/ml) | 186,51 ± 432,41 | 79,30 ± 155,26 | 0,71 |
* Krusal-Wallis test
Nhận xét: Sự khác biệt về nồng độ IL-17, IL-23 và TNF-α giữa hai nhóm thời gian mắc bệnh trên và dưới 5 năm không có ý nghĩa thống kê (p > 0,05).
Bảng 3.45. Sự liên quan giữa nồng độ cytokine trước điều trị và tiền sử dùng thuốc toàn thân (n=31)
Có (n =12) ̅± SD | Không (n=19) ̅± SD | p* | |
IL-17 (pg/ml) | 6,93 ± 14,82 | 8,71 ± 16,31 | 0,60 |
IL-23 (pg/ml) | 26,16 ± 29,40 | 9,27 ± 11,98 | 0,15 |
TNF-α (pg/ml) | 100,48 ± 196,27 | 133,64 ± 345,08 | 0,61 |
* Krusal-Wallis test
Nhận xét: Sự khác biệt về nồng độ IL-17, IL-23 và TNF-α giữa hai nhóm vảy nến thông thường đã dùng thuốc toàn thân và chưa dùng thuốc toàn thân không có ý nghĩa thống kê (p > 0,05).
Bảng 3.46. Sự liên quan giữa nồng độ cytokine trước điều trị và tiền sử gia đình vảy nến (n=31)
Có (n =7) ̅± SD | Không (n=24) ̅± SD | p* | |
IL-17 (pg/ml) | 12,32 ± 26,05 | 6,78 ± 11,4 | 0,21 |
IL-23 (pg/ml) | 6,50 ± 11,32 | 18.52 ± 23.44 | 0,16 |
TNF-α (pg/ml) | 40,58 ± 63,67 | 144,20 ± 329,21 | 0,55 |
* Krusal-Wallis test
Nhận xét: Sự khác biệt về nồng độ IL-17, IL-23 và TNF-α giữa hai nhóm vảy nến thông thường có tiền sử gia đình và không có tiền sử gia đình vảy nến không có ý nghĩa thống kê (p > 0,05).
Bảng 3.47: Mối tương quan giữa các chỉ số cytokine (n=31)
IL-17 | IL-23 | TNF-α | ||
IL-17 | r | 1 | 0,156 | -0,005 |
p | 1 | 0,24 | 0,61 | |
IL-23 | r | 1 | 0,007 | |
p | 1 | 0,64 | ||
TNF-α | r | 1 | ||
p | 1 |
* Linear Regression Analysis
Nhận xét: Không có mối tương quan giữa các chỉ số cytokine với p > 0,05.

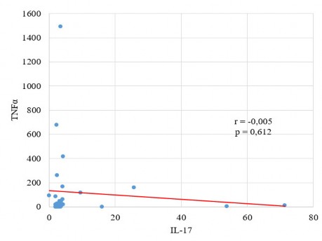
Biểu đồ 3.11: Mối tương quan giữa nồng độ IL-17 và TNF-α
Nhận xét: Không có mối tương quan giữa nồng độ IL-17 và TNF-α với p > 0,05.

Biểu đồ 3.12: Mối tương quan giữa nồng độ IL-17 và IL-23
Nhận xét: Không có mối tương quan giữa nồng độ IL-17 và IL-23 với p > 0,05.

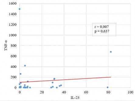
Biểu đồ 3.13: Mối tương quan giữa nồng độ IL-23 và TNF-α
Nhận xét: Không có mối tương quan giữa nồng độ IL-23 và TNF-α với p > 0,05.
3.3.3. Thay đổi nồng độ cytokine trước điều trị và khi đạt PASI 75
Bảng 3.48. Sự thay đổi nồng độ cytokine trước điều trị và khi đạt PASI 75 (n=31)
Trước điều trị (n=31) | Khi đạt PASI 75 (n=31) | p* | |||
̅± SD | Min-Max | ̅± SD | Min-Max | ||
IL-17 (pg/ml) | 8,02 ± 15,52 | 0-71,36 | 3,28 ± 4,70 | 0-27,12 | 0,0061 |
IL-23 (pg/ml) | 15,81 ± 21,75 | 0-82,38 | 8,79 ± 14,67 | 0-69,30 | 0,0405 |
TNF-α (pg/ml) | 120,80 ± 292,99 | 0-1493,93 | 41,11 ± 74,46 | 0-385,96 | 0,3418 |
* Wilcoxon test
Nhận xét: Chỉ số IL-17 và IL-23 giảm có ý nghĩa thống kê ở 31 bệnh nhân khi đạt PASI 75 so với trước điều trị với p < 0,05. Nồng độ TNF-α có giảm nhưng không có ý nghĩa thống kê với p > 0,05.






