Bảng 2.3. Thành phần hóa của hạt đậu nành,(% )
Tỉ lệ | Protein | Lipid | Tro | Carbohydrate | |
Hạt đậu nành nguyên | 100 | 40,0 | 21,1 | 4,9 | 34,0 |
Tử diệp | 90÷90,3 | 43,0 | 23,0 | 5,0 | 29,0 |
Vỏ hạt | 7,3÷8,0 | 8,8 | 1,0 | 4,3 | 86,0 |
Phôi | 2,0÷2,4 | 41,1 | 11,0 | 4,4 | 43,0 |
Có thể bạn quan tâm!
-
Công nghệ lên men thực phẩm Phần 1 - Trường CĐ Lương thực Thực phẩm - 1 -
Công nghệ lên men thực phẩm Phần 1 - Trường CĐ Lương thực Thực phẩm - 2 -
Trình Bày Cơ Chế Của Các Quá Trình Lên Men Ethanol, Lên Men Lactic, Lên Men Propionic, Lên Men Acetic, Lên Men Acetic. Nêu Ứng Dụng Của Các Quá Trình Lên Men Đó Trong -
Sơ Đồ Quy Trình Công Nghệ Sản Xuất Mật Tinh Bột -
Công Nghệ Sản Xuất Sirô Có Chứa Maltose, Sirô Giàu Fructose -
Các Thành Phần Làm Tăng Chất Lượng Và Giá Trị Dinh Dưỡng
Xem toàn bộ 152 trang tài liệu này.
1.4. Các chất dinh dưỡng, kháng dinh dưỡng và độc tố trong ngũ cốc
1.4.1. Chất dinh dưỡng
Ngũ cốc cùng với các cây họ đậu là nguồn cung cấp một lượng tương đối lớn nguồn dinh dưỡng bổ sung các vitamin và khoáng chất trong khẩu phần ăn của người dân ở các nước đang phát triển.
Một số thành phần dinh dưỡng giá trị của ngũ cốc được tóm tắt ở bảng 2.4:
Bảng 2.4. So sánh giá trị dinh dưỡng của một số hạt ngũ cốc
Lúa mỳ | Ngô | Lúa gạo | Lúa mạch | |
Carbohydrate (%) | 69,7 | 63,6 | 64,3 | 55,8 |
Năng lượng (kJ/100 g) | 1570 | 1660 | 1610 | 1630 |
Năng lượng tiêu hóa (%) | 86,4 | 87,2 | 96,3 | 81,0 |
Vitamin (mg/100g) | ||||
Thiamin | 0,45 | 0,32 | 0,29 | 0,10 |
Riboflavin | 0,10 | 0,10 | 0,04 | 0,04 |
Niacine | 3,7 | 1,9 | 4,0 | 2,7 |
Acid amin (g/16g N) | ||||
Lysine | 2,3 | 2,5 | 3,8 | 3,2 |
Threonine | 2,8 | 3,2 | 3,6 | 2,9 |
Methionine & Cysteine | 3,6 | 3,9 | 3,9 | 3,9 |
Tryptophan | 1,0 | 0,6 | 1,1 | 1,7 |
Chất lượng Protein (%) | ||||
Khả năng tiêu hóa được | 96,0 | 95,0 | 99,7 | 88,0 |
Giá trị sinh học | 55,0 | 61,0 | 74,0 | 70,0 |
Protein thô | 53,0 | 58,0 | 73,8 | 62,0 |
Protein sử dụng | 5,6 | 5,7 | 5,4 | 6,8 |
So với các hạt ngũ cốc phổ biến, đậu nành chứa một lượng lớn các acid amin thiết yếu (bảng 2.5) mà không hạt ngũ cốc nào có đủ bằng. Bên cạnh đó, đậu nành còn đa dạng về các loại vitamin (bảng 2.6), nhờ đó làm tăng thêm sự hoàn thiện về mặt
dinh dưỡng khi kết hợp ngũ cốc và đậu nành trong chế biến một số sản phẩm lên men.
Bảng 2.5. Thành phần acid amin thiết yếu trong hạt đậu nành
Hàm lượng % | Acid amin | Hàm lượng % | |
Isoleucine | 1,1 | Phenylalanine | 5 |
Leucine | 7,7 | Threonine | 4,3 |
Lysine | 5,9 | Tryptophan | 1,3 |
Methionine | 1,6 | Valine | 5,4 |
Cysteine | 1,3 | Histidine | 2,6 |
Bảng 2.6. Thành phần vitamin trong hạt đậu nành
Hàm lượng (mg/kg) | Vitamin | Hàm lượng (mg/kg) | |
Thiamin | 11,0÷ 17,5 | Acid pantothenic | 13,0÷ 21,5 |
Riboflavin | 3,4÷ 3,6 | Acid folic | 1,9 |
Niacine | 21,4÷ 23,0 | Vitamin A | 0,18÷ 2,43 |
Pirydoxin | 7,1÷ 12,0 | Vitamin E | 1,4 |
Biotin | 0,8 | Vitamin K | 1,9 |
Ngũ cốc cung cấp một lượng tương đối các vitamin nhóm B và khoáng chất, phần nội nhũ lúa mỳ chỉ chứa khoảng 0,3% tro. P, K, Mg, Ca và các dấu vết của Fe và các khoáng chất khác được tìm thấy trong ngũ cốc. Lúa mạch cung cấp 50 mg Ca/100g, lúa mỳ là 36mg Ca/100g. Đậu nành cung cấp nhiều khoáng chất: Ca (210mg/100g) và Fe (7mg/100g).
Giá trị dinh dưỡng, cảm quan của ngũ cốc và sản phẩm của chúng tuy thấp hơn sản phẩm thực phẩm động vật nhưng hệ số tiêu hóa cao nên cũng là nguồn cung cấp năng lượng đáng kể trong khẩu phần ăn của con người.
1.4.2. Chất kháng dinh dưỡng và độc tố
Ngũ cốc cũng như thức ăn từ thực vật khác có thể chứa một lượng đáng kể các chất độc hại hoặc các chất kháng dinh dưỡng, chất ức chế protease, chất ức chế amylase, kim loại tạo phức càng, saponin, cyanogen, lathyrogen, tannin, chất gây dị ứng, acetylenic furan và phytoalexin isoflavonoid. Khi đậu dùng kết hợp với ngũ cốc để chế biến các sản phẩm ngũ cốc hỗn hợp, cần loại bỏ những chất kháng dinh dưỡng trước khi tiêu thụ.
Một vài tóm lược về các chất kháng dinh dưỡng và độc tố trong ngũ cốc như sau:
a) Phytate (muối có chứa phospho)
Hầu hết các loại ngũ cốc chứa một lượng đáng kể các muối của acid phytic.
Các hợp chất phytate thường xuất hiện ở vùng riêng biệt của hạt ngũ cốc và chiếm khoảng 80% tổng lượng phospho có trong hạt. Hợp chất phytate làm hạn chế khả năng hấp thụ chất khoáng, khả năng tiêu hóa protein và carbohydrate.
b) Tannin
Xuất hiện nhiều trong ngũ cốc và cây họ đậu. Những hợp chất này tập trung ở phần cám ngũ cốc, phức hợp tannin-protein có thể gây bất hoạt các enzyme tiêu hóa và
giảm khả năng tiêu hóa protein, làm giảm sự hấp thụ sắt, thiệt hại lớp lót màng nhầy của đường tiêu hóa, làm thay đổi sự bài tiết của các cation và tăng bài tiết ra các protein và các acid amin thiết yếu.
c) Saponin
Các hợp chất saponin cũng có nhiều trong các loại ngũ cốc và cây họ đậu. Saponin được phát hiện gây ra hiện tượng tán huyết. Tuy nhiên những nghiên cứu gần đây đã thấy saponin ức chế sự lên men và sinh tổng hợp protein của vi sinh vật dạ cỏ. Hội chứng ngộ độc của saponin ở loài nhai lại là: phờ phạc, biếng ăn, giảm trọng lượng, viêm ruột dạ dày
d) Chất ức chế enzyme
Các chất ức chế enzyme protease và amylase có nhiều trong các mô hạt giống của các hạt ngũ cốc, chất ức chế trypsin, chymotrypsin, subtilisin và cysteine có nhiều trong lúa, tập trung nhiều ở phần cám. Các chất này can thiệp tiêu hóa, gây phì đại tuyến tụy và rối loạn trao đổi chất. Theo nhiều báo cáo khoa học thì chất ức chế trypsin, chymotrypsin và chất ức chế amylase đã giảm nhiều trong quá trình lên men.
e) Cyanide
Chất này có thể được loại bỏ hoặc bị khử độc do tác động của vi sinh vật trong quá trình lên men. Sắn có chứa một chất hóa học tự nhiên là cyanogenic glycosides. Khi ăn sống hoặc chế biến không đúng cách, chất này tạo HCN là chất có thể gây tử vong. Chế biến đúng cách có thể loại bỏ hóa chất này.
Thông thường, để loại bỏ cần bóc vỏ sắn (vì khoảng 60÷70% chất độc ở trong vỏ) và sau đó ngâm ngập trong nước hoặc lên men trong bao tải khoảng ba ngày, đôi khi nghiền hoặc mài sẽ giúp đẩy nhanh quá trình lên men. Khi bắt đầu lên men, Geotricum candida tác động lên sắn và tạo sản phẩm có tính acid làm thay đổi pH môi trường và vi sinh vật này bị chết vì chúng không thể tồn tại trong môi trường như vậy. Một giống vi sinh vật thứ hai (Cornibacterium lactii), có thể chịu đựng được môi trường acid đã xúc tác thủy phân 90÷95% độc tố.
Sắn sau khi lên men để khử độc tố vẫn giữ được hương vị đặc trưng và là nguồn nguyên liệu để sản xuất tinh bột đảm bảo chất lượng.
1.5. Ngũ cốc lên men
1.5.1. Vai trò của ngũ cốc lên men
Lợi ích của sự lên men có thể kể đến là sự cải thiện về vị và tính chất, nhờ sự phát triển về hương vị và kết cấu; tăng thời hạn bảo quản nhờ sự hình thành các chất có tính acid, cồn và các hợp chất kháng khuẩn; làm giàu thêm thành phần dinh dưỡng nhờ quá trình tổng hợp các chất dinh dưỡng thiết yếu của vi sinh vật và cải thiện khả năng dễ tiêu hóa của protein và carbohydrate; loại bỏ các chất kháng dinh dưỡng, các độc tố tự nhiên, mycotoxin và giảm thời gian nấu nướng. Lên men ngũ cốc làm giảm hàm lượng phytate; nấu chín và lên men làm giảm hàm lượng tannin của ngũ cốc và các loại thực phẩm khác. Sự lên men vi khuẩn bao gồm cả hoạt động của enzyme proteinase với mong muốn làm tăng giá trị của các acid amin thiết yếu hơn sự lên men nấm men mà phần lớn là sự phân hủy carbohydrate. Tinh bột và xơ có xu hướng giảm trong suốt quá trình lên men ngũ cốc. Hàm lượng và chất lượng của các protein ngũ cốc có thể được cải thiện hơn nhờ lên men.
Sự lên men tự nhiên ngũ cốc làm tăng tương đối giá trị dinh dưỡng nhất là hàm lượng lysine có sẵn trong ngũ cốc. Biểu đồ ở hình 2.2 cho thấy sự khác nhau về hàm
lượng lysine trong một số loại ngũ cốc trước và sau khi lên men ở các nhiệt độ khác nhau. Hàm lượng lysine tăng cao hơn nhiều sau khi lên men.

Hình 2.2. Ảnh hưởng của quá trình lên men tự nhiên của ngũ cốc lên hàm lượng lysine
Mặc dầu không trông đợi sự lên men làm thay đổi hàm lượng chất khoáng của sản phẩm, tuy nhiên sự thủy phân các hợp chất có chứa kim loại tạo phức càng trong quá trình lên men đã hoàn thiện giá trị sinh học của chất khoáng;
Sự thay đổi hàm lượng vitamin của ngũ cốc nhờ lên men biến đổi theo công nghệ lên men và nguyên liệu thô được sử dụng để lên men. Các vitamin nhóm B nói chung có tăng lên khi lên men. Biểu đồ ở hình 2.3 cho thấy, hàm lượng thiamine trong một số ngũ cốc tăng lên đáng kể sau khi lên men. Hàm lượng thiamine trong ngô tăng lên gấp đôi.

Hình 2.3. Ảnh hưởng của quá trình lên men tự nhiên của ngũ cốc lên hàm lượng thiamine
Đã có nhiều nghiên cứu ảnh hưởng của sự lên men đối với thành phần kháng dinh dưỡng và độc tố trong thực phẩm thực vật cho thấy, sự lên men ngô và hỗn hợp ngô đậu nành làm giảm đi sự sản sinh ra các chất ức chế trypsin và phytate, lên men ngũ cốc bằng nấm mốc, như Rhizopus oligosporus, giải phóng các liên kết của chất ức chế trypsin nhờ thế tăng hoạt độ của nó, lên men nấm và lên men acid lactic giảm bớt aflatoxin B1, đôi lúc nhờ việc mở vòng lactone đã dẫn đến kết quả khử độc hoàn toàn.
Một lợi ích khác của sự lên men là sản phẩm thường xuyên không cần nấu hoặc gia nhiệt như vậy thời gian cần thiết cho việc chế biến sản phẩm giảm đi rất nhiều.
1.5.2. Các chú ý đối với ngũ cốc lên men bản địa
Nhiều sản phẩm lên men bản địa từ ngũ cốc được đánh giá có nhiều hợp chất tạo hương và vị có giá trị, được sử dụng như các thức ăn theo mùa hoặc đồ gia vị.
Phần lớn sản phẩm lên men thường sử dụng ngũ cốc kết hợp với các loại đậu nhờ đó cải thiện chất lượng protein tổng của sản phẩm lên men. Ngũ cốc thiếu hụt lysine nhưng giàu cystine và methionine. Các loại đậu, mặc khác lại giàu lysine nhưng thiếu hụt các acid amin chứa lưu huỳnh. Vì thế bằng sự kết hợp ngũ cốc và đậu, chất lượng protein tổng số được cải thiện. Ý tưởng của người Trung Quốc là kết hợp giữa "fan" (gạo) và "tsai"(rau khác) tạo ra một thực đơn cân bằng và hấp dẫn đã được dùng ở khắp thế giới. Mặt khác, lên men mang tính vùng miền còn có một số vấn đề về kiểm soát vệ sinh, do vậy khó hòa nhập vào nền kinh tế toàn cầu do hạn chế tiềm năng xuất khẩu và trong một số trường hợp, vấn đề nữa là tác động đến giá trị dinh dưỡng và an toàn thực phẩm.
Kỹ thuật sản xuất nhiều thực phẩm lên men thuộc về truyền thống địa phương từ ngũ cốc còn lại như một bí quyết gia đình. Khả năng thành công đối với việc ứng dụng công nghệ tiên tiến cho việc sản xuất các thực phẩm lên men bản địa đạt giá trị như tạo màu sắc, hương thơm, vị ngon, không nhiễm vi sinh vật và tạo sản phẩm sức khỏe trong lên men thực phẩm là một vấn đề cần được xem xét.
Một chú ý đặc biệt cần quan tâm là các nhân tố rủi ro về nhiễm khuẩn liên quan đến thực phẩm lên men. Sự an toàn của thực phẩm lên men đã được đề cập nhiều trong thời gian gần đây. Các trường hợp nhiễm trùng hay nhiễm độc do quá trình trao đổi chất của vi sinh vật như là mycotoxin, ethyl carbamate và biogenic amine đã được phát hiện có nhiều trong thực phẩm lên men. Các nhân tố rủi ro chính bao gồm việc sử dụng nguyên liệu bị nhiễm, thiếu giai đoạn thanh trùng và sử dụng điều kiện lên men thiếu kiểm soát. Mặc khác các vi sinh vật không độc hại có thể phục vụ cho các vi sinh vật khác gây ra các phản ứng đối kháng và biến hóa thành các chất độc như mycotoxin trong thực phẩm lên men.
Do đó, khi phát triển một loại sản phẩm lên men địa phương, cần xác định các lợi ích và rủi ro liên quan cụ thể đến quá trình lên men ngũ cốc tại nơi đó; phân tích và xác định rõ vai trò của các vi sinh vật, enzyme và các thành phần ngũ cốc khác sử dụng trong quá trình lên men; hướng đến việc sử dụng các chủng vi sinh vật duy nhất để cải thiện dinh dưỡng và hạn chế độc tố và thực hiện thử nghiệm giống ngũ cốc mới cho phù hợp quá trình lên men.
2. CÔNG NGHỆ SẢN XUẤT MẬT TINH BỘT
Đường tinh bột thường được sản xuất dưới hai dạng chính: mật tinh bột (sirô) và glucose tinh thể. Đây là những sản phẩm cần thiết trong công nghiệp và đời sống hàng ngày. Mật tinh bột dùng để sản xuất kẹo, bánh, rượu mùi, bia, nước giải khát thay cho đường saccharose nâng cao chất lượng sản phẩm; còn glucose dùng trong kỹ nghệ y
học, điều chế acid sorbic, các chất kháng sinh và nhiều sản phẩm khác của y dược.
Quá trình sản xuất đường từ tinh bột bao giờ cũng liên kết chặt chẽ với quá trình sản xuất tinh bột. Vì tinh bột là nguyên liệu, là đầu mối của tất cả các giai đoạn trong công nghệ sau này. Mật tinh bột là sản phẩm thủy phân chưa hoàn toàn của tinh bột. Tác nhân của quá trình thủy phân là các chất xúc tác trong đó xúc tác vô cơ là những acid HCl và H2SO4 và chất xúc tác sinh học là các enzyme. Hiện nay việc sử dụng acid trong sản xuất mật tinh bột đã trở nên lỗi thời, sử dụng enzyme làm xúc tác để thủy phân tinh bột không những nâng cao được chất lượng sản phẩm mà còn hạn chế được sự ô nhiễm môi trường trong quá trình sản xuất.
Khi thủy phân tinh bột tùy thuộc vào thành phần của tinh bột và chất xúc tác sẽ thu được các carbohydrate có khối lượng phân tử khác nhau, nhưng thành phần chính là dextrin, maltose, glucose, fructose. Tùy theo mức độ thủy phân mà hàm lượng các thành phần này khác nhau.
2.1. Nguyên liệu sản xuất mật tinh bột
2.1.1. Tinh bột
Là carbohydrate dự trữ của thực vật, do quang hợp tạo thành. Tinh bột không hòa tan trong nước, đun nóng thì hạt tinh bột phồng lên rất nhanh tạo thành dung dịch keo gọi là hồ tinh bột.
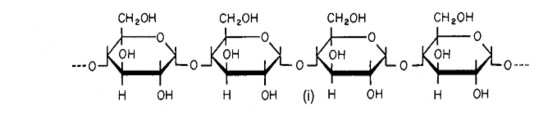
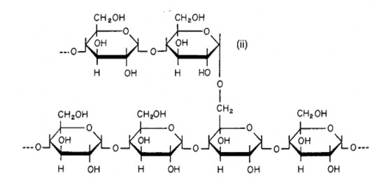
Tinh bột có cấu tạo gồm hai phần: amylose và amylopectin (hình 2.4), ngoài ra còn có khoảng 2% phospho dưới dạng ester.


Hình 2.4. Cấu trúc của amylose (i) và amylopectin (ii).
- Amylose: Cấu tạo do nhiều gốc α-D- glucose liên kết với nhau thông qua C1-C4 tạo thành mạch thẳng không phân nhánh, có khoảng 200÷1000 gốc glucose. Trong không gian nó cuộn lại thành hình xoắn ốc và được giữ bền vững nhờ các liên kết hydro. Theo một số tài liệu trong amylose còn có chứa các α-D- glucopyranose dạng thuyền. Amylose bắt màu xanh với iodine, màu này mất đi khi đun nóng, hiện
màu trở lại khi nguội. Một đặc trưng hóa lý khác cần chú ý là nó bị kết tủa bởi rượu butylic.
- Amylopectin: Cấu tạo do các phân tử α D- glucose liên kết với nhau, nhưng có phân nhánh. Chỗ phân nhánh là liên kết C1•C6 glycoside. Tạo màu tím đỏ với iodine. Phân tử chỉ có một đầu khử duy nhất. Số gốc D-glucose trong cả phân tử có thể lên đến 6000.
Tỷ lệ amylopectin/amylose ở các đối tượng khác nhau là không giống nhau (bảng 2.7), tỷ lệ này ở gạo nếp là lớn hơn gạo tẻ.
Bảng 2.7. Hàm lượng amylose và amylopectin trong một số tinh bột
Amylose, % | Amylopectin, % | |
Khoai tây | 19÷22 | 78÷81 |
Khoai mỳ (sắn) | 40÷45 | 55÷60 |
Lúa mỳ | 24 | 76 |
Ngô | 21÷23 | 77÷79 |
Lúa gạo | 17 | 83 |
Nguyên liệu để sản xuất mật tinh bột chủ yếu trên thế giới hiện nay tinh bột bắp (ngô), còn tại Việt Nam và một số nước Đông Nam Á sử dụng tinh bột khoai mỳ (tinh bột sắn). Để sản xuất mật tinh bột đạt chất lượng cao, hàm lượng tạp chất trong nguyên liệu tinh bột càng thấp càng tốt. Dưới đây là một số chỉ tiêu chất lượng tinh bột dùng trong sản xuất mật tinh bột:
- Độ ẩm 7%;
- Hàm lượng tinh bột không thấp hơn 89,2% chất khô;
- Protein: không lớn hơn 0,8%;
- Chất béo: không lớn hơn 0,15%;
- Tro: không lớn hơn 0,15%;
- Các chất hòa tan khác: không lớn hơn 0,1%;
- Độ chua: không lớn hơn 30ml dung dịch NaOH 0,1N/100g chất khô.
2.1.2. Chế phẩm Enzyme
Bảng 2.8. giới thiệu tóm lược nguồn gốc, tác dụng của một số chế phẩm enzyme được sử dụng trong thủy phân tinh bột.
Bảng 2.8. Các enzyme được sử dụng thủy phân tinh bột
Nguồn gốc | Tác dụng | |
α-Amylase EC 3.2.1.1 | Bacillus amyloliquefaciens | Chỉ liên kết α-1,4 oligosaccharide bị phân cắt tạo thành α-dextrin và phần lớn maltose (G2), G3, G6 và G7 oligosaccharide |
B. licheniformis | Chỉ liên kết α-1,4 oligosaccharide bị phân cắt tạo thành α-dextrin và phần lớn maltose, G3, G4 và G5 oligosaccharide | |
Aspergillus oryzae A. niger | Chỉ liên kết α-1,4 oligosaccharide bị phân cắt tạo thành α-dextrin và phần lớn maltose và G3 oligosaccharide | |
Saccharifying | B. subtilis | Chỉ liên kết α-1,4 oligosaccharide bị phân |
Nguồn gốc | Tác dụng | |
α-Amylase EC 3.2.1.1 | (amylosacchariticus) | cắt tạo thành α-dextrin và maltose, G3, G4 và trên 50% glucose theo khối lượng. |
β-amylase EC 3.2.1.2 | Đại mạch nảy mầm | Chỉ liên kết α-1,4 bị phân cắt từ đầu không khử tạo nên lượng dextrin giới hạn và β- maltose. |
Glucoamylase EC 3.2.1.3 | A. niger | Liên kết α-1,4 và α-1,6 bị phân cắt từ đầu không khử tạo thành β-glucose |
Pullulanase EC 3.2.1.41 | B. acidopullulyticus | Chỉ liên kết α-1,6 bị phân cắt tạo thành maltodextrin mạch thẳng. |
Enzyme
a) α-Amylase (EC.3.2.1.1)
α-Amylase (1,4-α-D-glucan glucanohydrolase; glycogenase) xúc tác thủy phân liên kết α-1,4-glycoside ở bất kỳ vị trí nào trong phân tử tinh bột với cơ chất là amylose, α-amylase cho sản phẩm thủy phân chủ yếu là maltose và một ít glucose.
Với cơ chất là amylopectin, α-amylase chỉ thủy phân liên kết α-1,4-glycoside mà không thủy phân liên kết α-1,6-glycoside, sản phẩm tạo thành là các dextrin phân tử thấp không cho phản ứng màu với iodine, maltose, glucose và isomaltose.
α-amylase là một enzyme hai cấu tử có thành phần coenzyme chứa ion kim loại Ca. Nếu tách Ca ra khỏi enzyme thì α-amylase sẽ bị mất hoạt tính; α-amylase hầu như không tác dụng lên tinh bột nguyên vẹn và tác dụng mạnh lên tinh bột đã bị hồ hóa, làm cho các sản phẩm hồ hóa bị loãng ra. Chính vì vậy mà α-amylase còn gọi là amylase dịch hóa.
α-amylase tương đối bền với tác dụng nhiệt. α-amylase của nấm mốc có thể xúc tác thủy phân tinh bột ở 50÷520C, α-amylase của hạt nảy mầm hoạt động tốt ở nhiệt độ 58÷600C, α-amylase của nhiều vi khuẩn có tính bền nhiệt cao chúng có thể giữ được hoạt tính ở 70÷900C. Tính bền nhiệt của α-amylase là do sự có mặt của ion Ca+2 trong phân tử enzyme, Ca giữ vai trò ổn định cấu trúc bậc ba của phân tử enzyme.
α-amylase thường thể hiện hoạt tính trong vùng acid yếu, α-amylase của nấm mốc hoạt động mạnh ở pH=4,5÷4,9, α-amylase của vi khuẩn ở pH=5,9÷6,1. Nếu pH<3 đa số α-amylase bị vô hoạt hoàn toàn trừ α-amylase của A.niger có thể chịu được pH=2,5÷2,8. Những vi sinh vật có khả năng sinh tổng hợp α-amylase được thương mại hóa: B.subtilis, B.licheniformis, A.oryzae.
Hình 2.5 minh họa các liên kết tinh bột bị phân cắt dưới xúc tác của enzyme.

Hình 2.5. Sơ đồ phân cắt tinh bột bởi enzyme






