1.5.4. Chênh lệch nồng độ và điều kiện thuỷ động
- Chênh lệch nồng độ là động lực chính của quá trình khuếch tán do đó khi chiết xuất phải luôn tạo sự chênh lệch nồng độ bằng cách khuấy trộn hoặc thay thế các lớp dung môi mới.
1.5.5. Nhiệt độ
- Tăng nhiệt độ khi chiết xuất sẽ làm giảm độ nhớt dung môi tạo ra sự khuếch tán đối lưu liên tục, tăng độ tan và tăng tốc độ khuếch tán vào dung môi cho nên làm tăng hiệu suất chiết xuất.
- Nhược điểm:
+ Làm phá hủy một số hoạt chất như tinh dầu, vitamin...
+ Tăng độ tan của 1 số tạp chất (gôm, chất nhày..) do đó dịch chiết có nhiều tạp khó lọc, khó bảo quản.
+ Không an toàn với một số dung môi bay hơi, dễ cháy nổ.
- Tuỳ theo thành phần hoá học dược liệu, bản chất của dung môi mà chọn nhiệt độ chiết xuất thích hợp.
1.5.6. Thời gian chiết xuất
Có thể bạn quan tâm!
-
Bào chế - Trường Cao đẳng Y tế Ninh Bình - 1 -
Bào chế - Trường Cao đẳng Y tế Ninh Bình - 2 -
Trình Bày Được Đặc Điểm, Phân Loại Dung Dịch Thuốc, Chất Tan Và Dung Môi. -
Sơ Đồ Kiểu Nối Cất Có Bộ Phận Ngưng Tụ Cạnh Bộ Phận Bốc Hơi -
Các Vật Liệu Lọc, Dụng Cụ Lọc Và Phương Pháp Lọc
Xem toàn bộ 298 trang tài liệu này.
- Thời gian chiết xuất thích hợp không nên kéo dài làm cho tạp chất khuếch tán vào dịch chiết.
- Thời gian chiết xuất phụ thuộc vào dược liệu, dung môi, nhiệt độ và phương pháp chiết. Dung môi là ethanol có thể ngâm lạnh kéo dài vài ngày đến hàng tháng nhưng với dung môi là nước thời gian chiết xuất ngắn hơn vì dễ nhiễm khuẩn, nhiễm nấm.

1.5.7. Chất diện hoạt
- Có vai trò làm tăng độ tan của 1 số hoạt chất, tăng khả năng thấm ướt dung môi vào dược liệu nên làm tăng hiệu suất và tốc độ chiết xuất. Chất diện hoạt thường dùng lượng nhỏ (0,01 – 0,1%).
1.6. Các giai đoạn sau khi chiết xuất
1.6.1. Ép bã
- Sau khi rút dịch chiết cần ép bã để thu hồi hết dịch chiết, bằng cách gói bã dược liệu vào vải, gạc hoặc dùng máy ép.
1.6.2. Lắng và làm trong dịch chiết
- Dịch chiết thu được cần để lắng một thời gian thích hợp. Thời gian để lắng tỷ lệ nghịch với kích thước tiểu phân và hiệu số tỷ trọng các tiểu phân chất rắn và dịch chiết, tỷ lệ thuận với độ nhớt dịch chiết.
- Các tạp chất tan trong dịch chiết phải loại bằng nhiều cách khác nhau.
- Dịch chiết sau khi lắng lọc qua vải, giấy lọc thu lấy dịch chiết trong, nếu các tiểu phân rắn quá nhỏ lơ lửng thì phải ly tâm để làm trong.
2. CÁC DẠNG THUỐC ĐIỀU CHẾ BẰNG PHƯƠNG PHÁP CHIẾT XUẤT
2.1. Cồn thuốc
2.1.1. Định nghĩa, phân loại
- Cồn thuốc là những chế phẩm lỏng được điều chế bằng cách chiết xuất hoạt chất có trong dược liệu hoặc hoà tan cao thuốc, hoá chất cới Ethanol có nồng độ thích hợp.
- Cồn thuốc được phân loại bằng nhiều cách:
+ Theo thành phần: Cồn thuốc đơn (chế từ 1 nguyên liệu).
Cồn thuốc kép (chế từ nhiều nguyên liệu trở lên).
+ Theo phương pháp điều chế: Cồn thuốc điều chế bằng phương pháp ngâm, ngấm kiệt, hoà tan.
2.1.2. Dược liệu điều chế cồn thuốc
- Dược liệu điều chế cồn thuốc phải đạt tiêu chuẩn qui định về hàm lượng hoạt chất, độ ẩm, tạp chất. Dược liệu được chia nhỏ đến độ mịn thích hợp, nếu dùng phương pháp ngâm lạnh dùng bột thô, nếu dùng phương pháp ngấm kịêt thì dùng bột nửa mịn.
2.1.3. Dung môi điều chế cồn thuốc
- Điều chế cồn thuốc dùng dung môi Ethanol, Ethanol phải đạt các tiêu chuẩn DĐVN III. Khả năng hoà tan của Ethanol thay đổi theo nồng độ nên tuỳ theo thành phần dược liệu chọn dung môi thích hợp.
Ethanol 30 – 60o dùng cho dược liệu hoạt chất dễ tan trong nước. Ethanol 70o dùng cho dược liệu chứa alcaloid, glycosid.
Ethanol 80 – 90o dùng cho dược liệu chứa tinh dầu, nhựa thơm. Ethanol 90 – 95 o dùng cho dược liệu có hoạt chất dễ thuỷ phân.
- Khi điều chế cồn thuốc dùng Ethanol có nồng độ khác nhau nên phải xác định hàm lượng và pha Ethanol có nồng độ cần thiết.
2.1.3.1. Xác định hàm lượng Ethanol
- Hàm lượng Ethanol là lượng Ethanol tinh khiết có trong dung dịch Ethanol biểu thị theo % thể tích hoặc % khối lượng ở nhiệt độ 15oC.
Độ cồn theo % thể tích: số ml Ethanol tinh khiết có trong 100ml dung dịch Ethanol, % khối lượng là số g Ethanol tinh khiết có trong 100g dung dịch Ethanol.
Có thể đổi % thể tích sang % khối lượng và ngược lại theo công thức.

Trong đó: g: độ cồn % theo khối lượng.
V: độ cồn % theo thể tích.
0,79067: tỷ trọng ethanol tinh khiết ở 15oC. D: tỷ trọng của dung dịch ethanol.
- Các phương pháp xác định hàm lượng Ethanol: Phương pháp cân, phương pháp sắc ký khí (DĐVN III), dùng tửu kế bách phân.
Tửu kế bách phân có thang chia độ từ 0 – 100 (vạch 0 chỉ mặt phẳng chất lỏng khi nhúng trong nước cất ở 15oC; 100: trong Ethanol tinh khiết ở 15oC).
- Khi trộn Ethanol và nước cất có hiện tượng co thể tích của hỗn hợp. Sự co thể tích thay đổi tuỳ theo tỷ lệ nước và Ethanol.
- Dùng tửu kế xác định được độ cồn, độ cồn được xác định ở 15oC là độ cồn thực, ở nhiệt độ khác là độ cồn biểu kiến.
Để chuyển từ độ cồn biểu kiến sang độ cồn thực ta làm như sau:
+ Nếu độ cồn biểu kiến nhỏ hơn 56o ta áp dụng công thức:
X = C ± 0,4t
Trong đó: X là độ cồn thực.
C là độ cồn biểu kiến.
t là chênh lệch nhiệt độ lúc đo và 15oC( nhiệt độ nhỏ hơn 150C trị số 0,4 mang dấu + ; khi nhiệt độ lơn hơn 150C trị số 0,4 mang dấu -)
+ Khi độ cồn ≥ 56oC thì ta tra bảng liên hệ độ cồn biểu kiến với độ cồn thực ở
150C.
2.1.3.2. Pha Ethanol có độ cồn xác định
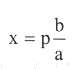
Pha loãng Ethanol cao độ với nước để thu được Ethanol thấp độ theo công thức.

Trong đó x: khối lượng hoặc thể tích của ethanol cao độ cần lấy p: Khối lượng hoặc thể tích của ethanol cần pha
a: độ cồn theo khối lượng hoặc thể tích của ethanol cao độ
b: độ cồn theo khối lượng hoặc theo thể tích của ethanol cần pha
Lấy lượng X Ethanol cao độ đã tính sau đó thêm nước cất vừa đủ thể tích hoặc khối lượng qui định.
Chú ý: Khi tính toán cần áp dụng thống nhất đơn vị cùng thể tích theo khối lượng hoặc theo thể tích.
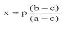
Pha Ethanol cao độ với Ethanol thấp độ để được Ethanol trung gian theo công thức.

Trong đó: x là khối lượng hoặc thể tích ethanol cần lấy
P là khối lượng hoặc thể tích ethanol có độ cồn trung gian
a là độ cồn theo khối lượng hoặc theo thể tích của ethanol cao độ
b là độ cồn theo khối lượng hoặc theo thể tích của ethanol trung gian c: độ cồn theo khối lượng hoặc theo thể tích của ethanol thấp độ.
Lấy lượng Ethanol cao độ đã tính thêm Ethanol thấp độ để đạt khối lượng (thể tích) Ethanol trung gian cần có.
Dùng bảng pha loãng Ethanol sẵn có.
2.1.4. Kỹ thuật điều chế
Cồn thuốc được điều chế theo theo 3 phương pháp: ngâm lạnh. ngấm kiệt, hoà tan.
2.1.4.1. Phương pháp ngâm lạnh
- Cho dược liệu và dung môi vào bình, đậy kín để ở nhiệt độ phòng, hàng ngày có khuấy trộn. Ngâm theo thời gian qui định, gạn lấy dịch ngâm, ép bã lấy dịch ép. Trộn dịch ép với dịch ngâm, lắc đều để lắng gạn lọc lấy dịch trong. Dụng cụ ngâm lạnh luôn đậy kín tránh bay hơi.
- Áp dụng điều chế cồn thuốc không chứa hoạt chất độc mạnh như cồn tỏi, cồn quế, cồn gừng, cồn cánh kiến, cồn hồi…
2.1.4.2. Phương pháp ngấm kiệt
- Quá trình tiến hành như đã trình bày phần kỹ thuật chung. Khi rút dịch chiết có hai trường hợp:
+ Cồn thuốc qui định hàm lượng hoạt chất. Khi thu được 3/4 lượng dịch chiết thì ngừng rút dịch, ép bã. Trộn dịch chiết, dịch ép, định lượng hoạt chất. Tuỳ kết quả định lượng điều chỉnh hàm lượng hoat chất đạt tiêu chuẩn qui định của Dược điển.
+ Cồn thuốc không qui định hàm lượng hoạt chất. Khi thu được 4/5 tổng số dịch chiết qui định thì ép bã thu lấy dịch ép. Trộn dịch chiết, dịch ép thêm dung môi vừa đủ khối lượng qui định.
- Áp dụng điều chế cồn thuốc có hoạt chất độc mạnh như cồn beladon, cồn cà độc dược…
2.1.4.3. Phương pháp hoà tan
Hoà tan cao thuốc, hóa chất, tinh dầu vào Ethanol có nồng độ thích hợp, lọc lấy dịch trong.
Ví dụ: cồn opi benzoic…
Áp dụng điều chế cồn đi từ dược liệu chứa nhiều tạp chất nên phải chế cao thuốc rồi mới chế thành cồn thuốc.
2.1.5. Kiểm tra chất lượng
Kiểm tra theo các chỉ tiêu sau:
- Cảm quan: màu sắc, mùi vị.
- Tỷ trọng: dùng tỷ trọng kế.
- Hệ số vẩn đục: lượng nước cất thêm vào là 10 ml để tạo vẩn đục.
- Hàm lượng Ethanol: theo chuyên luận Dược điển.
- Tỷ lệ cắn khô.
- Hàm lượng hoạt chất: theo chuyên luận riêng.
2.1.6. Bảo quản cồn thuốc
- Cồn thuốc sau một thời gian bảo quản có thể lắng cặn kéo theo hoạt chất alcaloid, glycosid (do biến đổi hoá học).
- Màu cồn thuốc có thể biến đổi do tác dụng của ánh sáng.
- Bảo quản chai lọ đậy kín, tránh ánh sáng để nơi mát, nếu có tủa cần loại tủa kiểm tra lại các tiêu chuẩn.
- Định kỳ kiểm tra lại nồng độ hoạt chất.
2.1.7. Một số ví dụ cồn thuốc
2.1.7.1. Cồn điều chế bằng phương pháp ngâm lạnh
Ví dụ: Cồn cánh kiến trắng
Công thức:
Cánh kiến trắng tán mịn : 200g Ethanol 90o Vđ
Vai trò thành phần:
- Cánh kiến trắng chứa các acid cinamic, acid benzoic…các este, tinh dầu, vanilin, tạp chất chính là nhựa.
- Ethanol 90o là dung môi thích hợp để hoà tan hoạt chất.
Tiến hành: ngâm cánh kiến trắng mịn với 1000ml cồn 90o trong bình nút kín 10 ngày thỉnh thoảng lắc. Gạn lấy dịch chiết, để lắng 24h, lọc rồi thêm cồn 90o vừa đủ 1000ml. Cồn có màu vàng nâu, mùi thơm vanilin, có phản ứng acid, có tủa trắng đục như sữa khi thêm nước. Tỷ trọng ở 25oC là 0,865 – 0,875. Tỷ lệ cặn 8 – 10%.
Cồn dùng phối hợp trong các siro và potio chữa ho.
2.1.7.2. Cồn thuốc bằng phương pháp hòa tan.
Ví dụ: Cồn mã tiền
Cao lỏng mã tiền 85g
Ethanol 70o vđ 1000ml
Cao lỏng mã tiền điều chế từ hạt mã tiền với ethanol 70o và đã loại chất béo, chứa 1,425 – 1,575% strychnin. Cồn mã tiền không có chất béo, khi phối hợp trong các đơn thuốc không bị tủa và cồn thuốc dễ bảo quản hơn.
Cồn mã tiền là chất lỏng trong, màu nâu, vị đắng có hàm lượng hoạt chất 0,12 – 0,13% strychnin.
Cồn mã tiền dùng phối hợp trong các thuốc uống, kích thích tiêu hoá và thuốc dùng ngoài xoa bóp khi nhức mỏi.
2.2. Rượu thuốc
2.2.1. Định nghĩa, thành phần và đặc điểm
2.2.1.1. Định nghĩa: Rượu thuốc là dạng thuốc lỏng điều chế bằng cách hoà tan, chiết xuất dược liệu thực vật và động vật đã chế biến theo yêu cầu, với rượu hoặc ethanol có nồng độ thích hợp, có thêm các chất làm thơm, làm ngọt.
2.2.1.2. Thành phần: Khác với cồn thuốc, rượu thuốc thường có nồng độ cồn thấp hơn. Công thức rượu thuốc theo các bài thuốc cổ truyền hoặc theo đơn nên thành phần có nhiều dược liệu khác nhau.
- Dược liệu thảo mộc: Thường dùng các dược liệu đã đạt tiêu chuẩn và ít dùng dược liệu độc.
- Dược liệu động vật: Rắn, tắc kè, cũng đạt được tiêu chuẩn theo Dược điển.
- Dung môi: Ethanol, rượu. Tuỳ từng loại dược liệu dùng rượu, ethanol có nồng độ thích hợp. Rượu điều chế từ ngũ cốc (có mùi thơm đặc trưng, ít tạp chất độc như các aldehyd, độ cồn 40 – 50o.
- Chất phụ: Chủ yếu là đường, mật ong, các chất làm thơm, chất nhuộm màu.
2.2.2. Kỹ thuật điều chế
2.2.2.1. Chuẩn bị nguyên liệu và dung môi
- Dược liệu: Sấy khô, chia nhỏ, sao tẩm theo yêu cầu của đơn.
- Dung môi: Pha ethanol, rượu có nồng độ thích hợp.
2.2.2.2. Các phương pháp chiết xuất
- Phương pháp ngâm lạnh: Như phần kỹ thuật chung, trong đông y, một số rượu thuốc hạ thổ áp dụng đối với nguyên vật liệu động vật. Rượu thuốc điều chế theo phương pháp này thời gian dài nhưng trong hơn.
- Phương pháp ngâm nóng: Thường là sắc (dung môi nước) phương pháp này nhanh, hiệu suất cao nhưng rượu dễ bị tủa và sẫm màu.
- Phương pháp ngấm kiệt như kỹ thuật chung.
- Phương pháp hoà tan đi từ cao (ví dụ cao hổ cốt, cao ban long).
2.2.2.3. Phối hợp các dịch chiết
- Phối hợp các dịch chiết khác nhau để rượu thuốc có độ cồn khoảng 20 – 30 độ. Khi phối hợp có thể có tủa, để hạn chế tủa, thường phối hợp các dịch chiết có hoạt chất và độ cồn gần nhau trước.
- Có thể phối hợp vào các dịch chiết đường, siro, mật ong để hạn chế tủa.
2.2.2.4. Thêm các chất điều hương, điều vị và chất màu
- Thường dùng đường, mật ong, saccharin.
- Điều hương dùng các dịch chiết dược liệu có mùi thơm dược liệu, các tinh dầu, hương liệu tổng hợp dùng trong thực phẩm.
2.2.2.5. Hoàn chỉnh chế phẩm và đóng gói
- Sau khi phối hợp các dịch chiết, thêm các chất làm thơm, làm ngọt, chất màu, thêm ethanol có độ cồn thích hợp vừa đủ số lượng quy định. Trộn đều, để lắng 1 – 2 ngày, gạn lọc lấy dịch trong, đóng chai, dán nhãn.
2.2.2.6. Tiêu chuẩn chất lượng
- Màu sắc, mùi vị.
- Tỷ trọng.
- Độ lắng cặn.
- Độ cồn (rượu bổ dưỡng thường có độ cồn 20o, rượu có dược liệu động vật có độ cồn 30 – 35o).
- Thể tích.
- Định tính các dược liệu điển hình.
- Định lượng hoạt chất (nếu thấy cần thiết và có thể).
2.3. Cao thuốc
2.3.1. Định nghĩa, đặc điểm phân loại
2.3.1.1. Định nghĩa: Cao thuốc là những chế phẩm điều chế bằng cách cô đặc sấy khô các dịch chiết dược liệu tới thể chất nhất định (lỏng, đặc, khô).
2.3.1.2. Đặc điểm:
- Đã được loại bỏ 1 phần hoặc hoàn toàn tạp chất (chất béo, nhựa chất, nhầy).
- Khi Điều chế có thể hình thành một số chất là sản phẩm quá trình OXH, thuỷ phân, tác dụng của enzym. Tỷ lệ hoạt chất trong cao thuốc (đặc, khô) thường cao hơn trong dược liệu, cao lỏng tỷ lệ hoạt chất bằng tỷ lệ hoạt chất trong dược liệu.
- Ít khi sử dụng trực tiếp, thường dùng bào chế dạng thuốc khác như siro, potio, viên tròn, thuốc mỡ, thuốc đạn, thuốc bột, viên nén…
2.3.1.3. Phân loại:
- Theo thể chất:
+ Cao lỏng: lỏng sánh, 1ml cao lỏng có tỷ lệ hoạt chất tương đương 1g dược liệu.
+ Cao đặc: thể chất sánh chứa 15 – 20% nước hoặc dẻo không dính tay chứa 10 – 15% nước.
+ Cao khô: khô tới chứa dưới 5% nước.
- Theo dung môi:
+ Cao thuốc điều chế với dung môi là nước: như cam thảo, đại tràng.
+ Cao thuốc điều chế với dung môi là cồn: cao lỏng mã tiền, benladon.
2.3.2. Kỹ thuật điều chế
Điều chế cao thuốc có 4 giai đoạn: Chế dịch chiết - loại tạp chất - cô đặc, sấy khô – hoàn chỉnh sản phẩm.
2.3.2.1. Điều chế dịch chiết
- Nguyên liệu: Dược liệu sấy khô đạt tới độ mịn nhất định, dung môi là nước, ethanol, ethanol - glycerin - nước.
- Phương pháp chiết xuất: Tuỳ thuộc vào dung môi chọn.
+ Phương pháp ngâm lạnh: ngâm phân đoạn, lượng dung môi bằng 8 - 12 lượng dược liệu.
+ Phương pháp hầm sắc: Dụng cụ có vỉ bằng kim loại không cháy ở đáy.
+ Phương pháp ngấm kiệt: Thường dùng dung môi Ethanol, lượng dịch chiết đầu bằng 80 – 100% lượng dược liệu dùng. Các dịch chiết sau cô đặc đến thể chất cao mềm rồi trộn với dịch chiết đầu.
Có thể dùng phương pháp ngấm kiệt cải tiến, phương pháp tái ngấm kiệt để điều chế cao thuốc.
2.3.2.2. Loại tạp chất
- Tạp chất tan trong nước: gôm, chất nhầy, pectin, tinh bột, tanin. Chúng ta loại tạp chất này bằng cách.
+ Dùng nhiệt: cô nhỏ lửa đến khi còn ½ - ¼ thể tích ban đầu để lắng trong 2 - 3 ngày trong chỗ mát sau đó gạn, lọc.
+ Dùng cồn 90o: cô dịch chiết còn ½ - ¼ thể tích ban đầu sau đó cho đồng thể tích Ethanol 90o khuấy trộn đều, để lắng qua đêm, lọc.
- Dùng bột talc: áp dụng cho tạp chất khó tan, khó tách lớp. Cho bột talc vào dịch chiết khuấy trộn kỹ để yên, lọc lấy dịch trong.
2.3.2.3. Cô đặc, sấy khô
- Cô đặc: khi cô không được gây phân huỷ họat chất trong dịch chiết nên phải cô trong thời gian ngắn và ở nhiệt độ thấp, cô dịch chiết loãng trước đặc sau.
+ Cô ở áp suất thường: cách hay dùng nhất là cô cách thuỷ, khi cô phải khuấy trộn thường xuyên, có thể dùng quạt thông gió khi cô.
+ Cô ở áp suất giảm: thiết bị cô có bộ phận tạo chân không, chú ý nếu dịch chiết sủi bọt thêm bơ cacao, parafin, chống tạo bọt.
- Sấy khô: cô ca lỏng, cao mềm thành cao khô có độ ẩm dưới 5%.
+ Sấy dưới áp suất giảm, nhiệt độ thường dưới 50oC sấy nhanh, đảm bảo hoạt chất. Khi sấy dịch chiết cô đặc được trải thành lớp mỏng trên khay thép inox hoặc sắt tráng men.
+ Sấy trên trống quay tạo màng mỏng: dịch chiết bám trên trống quay Ngoài ra còn có thể sấy khô bằng phun sấy và phương pháp đông khô.
2.3.2.4. Hoàn chỉnh chế phẩm
- Xác định hàm lượng hoạt chất và điều chỉnh hàm lượng.
+ Tỷ lệ hoạt chất không thấp hơn thì cô tiếp hoặc dùng các loại cao có hàm lượng lớn hơn điều chỉnh.
+ Tỷ lệ hoạt chất cao hơn qui định thì phải pha loãng tới hàm lượng qui định: Cao lỏng thì thêm dung môi chiết, cao mềm, cao đặc thêm cao có hàm lượng thấp hơn hoặc thêm glycerin để pha loãng. Cao khô thì thêm tinh bột, lactose, glucose…
+ Cao lỏng để uống có thể thêm Siro đơn, menthol, vanilin.
- Thêm các chất bảo quản chống nấm mốc: Glycerin, a.boric, a.benzoic, nipagin, nipasol.
3.3.3. Kiểm tra chất lượng
Cần kiểm tra những chỉ tiêu sau:
- Cảm quan: thể chất (lỏng, đặc, khô), mùi vị đặc trưng dược liệu.
- Độ tan: một gam cao lỏng tan trong 20mml dung môi dùng chiết xuất.
- Cắn khô: bốc hơi hoặc sấy khô đến khi đạt tiêu chuẩn DĐVN III.
- Định lượng hoạt chất theo chuyên luận.
3.3.4. Bảo quản
Dùng trong chai nút kín, tránh ánh sáng, khô ráo, mát, sạch.
3.3.5. Một số ví dụ
* Cao lỏng Canhkina.
- Thành phần: - Bột vỏ canhkina mịn 100g
- Acid hydrocloric loãng 200ml
- Ethanol 95o 120ml
- Nước cất Vđ
Bột canhkina chứa alcaloid tồn tại dưới dạng muối acid hữu cơ ít tan trong nước.
Dung môi là nước acid hydrocloric loãng để chuyển dạng muối hữu cơ sang dạng muối vô cơ dễ tan hơn.
- Tiến hành: lấy 130ml acid hoà với 4000ml nước cất để 2h (được dung môi 1). Cho dược liệu vào bình ngấm kiệt rồi cho dung môi 1 vào ngập dược liệu để 48h, rút dịch chiết (để riêng 600ml dịch chiết đầu) tiếp tục nhỏ giọt với dung dịch 1 và dung dịch 2 (20ml HCl và 800ml nước cất).
Kết thúc chiết xuất khi một thể tích dịch chiết với 2 thể tích dd Na2CO3 20% không có tủa. Cô dịch chiết còn 230ml thêm 600ml dịch chiết đầu và 50ml dd HCl loãng còn lại khuấy đều thu lấy 1000ml cao lỏng.
Chế phẩm màu đỏ nâu, vị đắng chát, mùi thơm của canhkina, không vẩn đục khi thêm cồn và nước chứa ít nhất 3,5% alcaloid toàn phần.
Chế phẩm dùng phối hợp trong đơn thuốc kích thích tiêu hóa.
LƯỢNG GIÁ
I. Chọn đúng sai:
1. Nước là dung môi hòa tan chọn lọc trong chiết xuất dược liệu. Đ/S
2. Trong dịch chiết dược liệu albumin dễ bị đông vón bởi nhiệt. Đ/S
3. Ngấm kiệt phân đoạn rất tốn dung môi Đ/S
4. Phương pháp hãm dược liệu thường dùng cho chè thuốc Đ/S
5. Thời gian chiết xuất phụ thuộc vào phương pháp chiết xuất. Đ/S
6. Dược liệu để chế cồn thuốc nếu độ ẩm quá cao sẽ bị mốc khi ngâm lạnh. Đ/S





