







Có thể bạn quan tâm!
-
Một Số Khuyến Nghị Về Chính Sách Kinh Tế Vĩ Mô -
Hạn Chế Của Đề Tài Và Hướng Nghiên Cứu Tiếp Theo -
Bảng Số Liệu Được Chuyển Sang Logarith Cơ Số E -
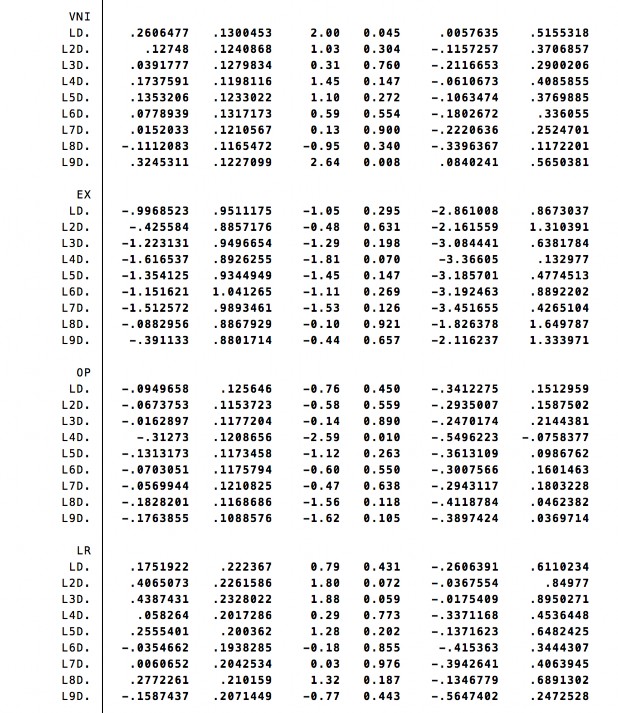
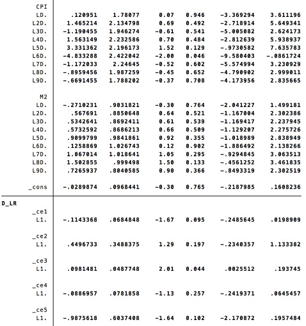
Tác động của các yếu tố kinh tế vĩ mô đến chỉ số giá chứng khoán VN-Index - 12 -
Tác động của các yếu tố kinh tế vĩ mô đến chỉ số giá chứng khoán VN-Index - 13 -
Tác động của các yếu tố kinh tế vĩ mô đến chỉ số giá chứng khoán VN-Index - 14






