110. World Tourism Organization (2007), A Practical Guide to Tourism Destination Management, Published and printed by the World Tourism Organization, Madrid, Spain.
111. Xu Xeng (2015), "State management for business travel activities in China", http://en.people.cn, [Truy cập ngày 12/5/2016].
112. Saknalin Keosi (2013), การใชมาตรการทางกฎหมายในการบริหารจด
การนก
ทองเทยว
ในการซื้อแ นการซื้อและขายบรก
ารทองเทย
วในประเทศไทยในรูปแบบของกา
รชําระเพียงครั้งเดย
วเทย
วในป, วิทยานพ
นธป
ริญญาเอกทางเศรษฐศาสตร,
มหาวท
ยาลัยแหงชาติกรง
เทพ, ประเทศไทย.
113. Sokxay Soutthaveth, (ผูจัดการ) (2014), การจัดการการทองเที่ยวอยางยั่งยืนกําลั
งเตรียมที่จะรวมเขา
อง, ประเทศไทย.
กับประชาคมเศรษฐกิจอาเซียน, วารสารการเมืองการปกคร
PHỤ LỤC
Phụ lục 1
SỐ LIỆU DU LỊCH TRÊN ĐỊA BÀN THÀNH PHỐ CẦN THƠ GIAI ĐOẠN 2006 - 2017
2006 | 2007 | 2008 | 2009 | 2010 | 2011 | |
1. Hoạt động lưu trú (lượt khách) | 543.650 | 693.055 | 817.250 | 723.528 | 880.252 | 972.450 |
% tăng so với năm trước | 27,48 | 17,92 | -11,47 | 21,66 | 10,47 | |
+ Khách quốc tế | 121.221 | 155.735 | 175.094 | 150.300 | 163.835 | 170.325 |
% tăng so với năm trước | 28,47 | 12,43 | -14,16 | 9,01 | 3,96 | |
+ Khách trong nước | 422.429 | 537.320 | 642.156 | 573.228 | 716.417 | 802.125 |
% tăng so với năm trước | 27,2 | 19,51 | -10,73 | 24,98 | 11,96 | |
% so với tổng | 77,7 | 77,53 | 78,58 | 79,23 | 81,39 | 82,48 |
+ Bình quân lưu trú (ngày khách) | 1,16 | 1,23 | 1,31 | 1,29 | 1,33 | 1,37 |
2. Hoạt động lữ hành (khách) | 45.093 | 53.997 | 76.591 | 63.648 | 72.134 | 88.133 |
+ Lữ hành nội địa | 38.100 | 11.940 | 11.498 | 13.223 | 55.058 | 65.195 |
+ Lữ hành quốc tế | 6993 | 42.057 | 65.093 | 50.425 | 17.076 | 22.177 |
3. Cơ sở lưu trú | 115 | 135 | 154 | 165 | 174 | 177 |
% tăng so với năm trước | 17,39 | 14,07 | 7,14 | 5,45 | 1,72 | |
+ Số phòng | 2.892 | 3.269 | 3.737 | 3.950 | 4.086 | 4.173 |
% tăng so với năm trước | 13,04 | 14,32 | 5,7 | 3,44 | 2,13 | |
4. Doanh thu (tỷ đồng) | 270,98 | 365,09 | 455,2 | 507,94 | 649,53 | 761,23 |
5. Tổng số lao động | 2.010 | 2.025 | 2.336 | 2.695 | 2.795 | 2.995 |
% tăng so với năm trước | 0,75 | 15,36 | 15,37 | 3,71 | 7,16 | |
- Trong đó: Lao động nữ | 1.145 | 1.152 | 1.267 | 1.519 | 1.300 | 1.410 |
+ Đại học & trên đại học | 240 | 245 | 255 | 350 | 371 | |
+ Trung cấp & Cao đẳng | 470 | 603 | 637 | 735 | 825 | |
+ Đào tạo khác | 488 | 567 | 690 | 750 | 975 | |
+ Chưa qua đào tạo | 611 | 664 | 613 | 690 | 824 | |
6. Cơ sở kinh doanh du lịch | ||||||
- Điểm, vườn Du lịch | 14 | 21 | 21 | 17 | 17 | 12 |
Có thể bạn quan tâm!
-
Nâng Cao Năng Lực Hoạch Định Và Hiệu Lực Của Chiến Lược, Quy Hoạch, Kế Hoạch Phát Triển Hoạt Động Du Lịch -
Tăng Cường Kiểm Tra, Kiểm Soát Hoạt Động Du Lịch -
Quản lý nhà nước về du lịch trên địa bàn thành phố Cần Thơ trong hội nhập quốc tế - 21 -
Kết Quả Đều Tra Đối Tượng Du Khách Trong Nước -
Quản lý nhà nước về du lịch trên địa bàn thành phố Cần Thơ trong hội nhập quốc tế - 24 -
Quản lý nhà nước về du lịch trên địa bàn thành phố Cần Thơ trong hội nhập quốc tế - 25
Xem toàn bộ 241 trang tài liệu này.

1-PL
- CN, VP, Cty lữ hành | 14 | 17 | 18 | 19 | 17 | 28 |
2012 | 2013 | 2014 | 2015 | 2016 | 2017 | |
1. Hoạt động lưu trú (lượt khách) | 1.174.823 | 1.251.625 | 1.367.726 | 1.619.070 | 1.726.531 | 2.184.385 |
% tăng so với năm trước | 20,81 | 6,54 | 9,28 | 18,38 | 6,64 | 26,52 |
+ Khách quốc tế | 190.116 | 211.357 | 220.280 | 207.060 | 258.400 | 305.167 |
% tăng so với năm trước | 11,62 | 11,17 | 4,22 | -6 | 24,79 | 18,1 |
+ Khách trong nước | 984.707 | 1.040.628 | 1.147.446 | 1.412.010 | 1.468.131 | 1.879.218 |
% tăng so với năm trước | 22,76 | 5,68 | 10,26 | 23,06 | 3,97 | 28 |
% so với tổng | 83,82 | 83,14 | 83,89 | 87,21 | 85,03 | 86,03 |
+ Bình quân lưu trú (ngày khách) | 1,68 | 1,42 | 1,4 | 1,5 | ||
2. Hoạt động lữ hành (khách) | 97.611 | 100.278 | 114.149 | 115.220 | 120.880 | 135.000 |
+ Lữ hành nội địa | 70.839 | 72.964 | 84.974 | 94.130 | 98.242 | 110.000 |
+ Lữ hành quốc tế | 25.921 | 26.338 | 28.005 | 21.090 | 22.638 | 25.000 |
3. Cơ sở lưu trú | 190 | 189 | 187 | 226 | 245 | 270 |
% tăng so với năm trước | 7,34 | -0,53 | -1,06 | 20,86 | 8,41 | 10,20 |
+ Số phòng | 4.749 | 4.980 | 4.764 | 6.218 | 6.681 | 6.931 |
% tăng so với năm trước | 13,8 | 4,86 | -4,34 | 30,52 | 7,45 | 3,74 |
4. Doanh thu (tỷ đồng) | 851,13 | 975,99 | 1.169,53 | 1.747,00 | 1.826,00 | 2.879,00 |
5. Tổng số lao động | 3.240 | 3.353 | 3485 | 3642 | ||
% tăng so với năm trước | 8,18 | 3,49 | 3,94 | 4,51 | ||
- Trong đó: Lao động nữ | 1.783 | 1.853 | 1.928 | |||
+ Đại học & trên đại học | 400 | 410 | 425 | 435 | ||
+ Trung cấp & Cao đẳng | 900 | 925 | 955 | 985 | ||
+ Đào tạo khác | 1.100 | 1.169 | 1251 | 1364 | ||
+ Chưa qua đào tạo | 840 | 849 | 852 | 858 | ||
6. Cơ sở kinh doanh du lịch | ||||||
- Điểm, vườn Du lịch | 11 | 13 | 17 | 17 | 17 | 10 |
- Homestay | 4 | 7 | 11 | 10 | 10 | |
- CN, VP, Cty lữ hành | 28 | 30 | 36 | 40 | 40 | 54 |
Nguồn: Sở VH-TT-DL Cần Thơ giai đoạn 2006 – 2017 [56]
2-PL
Phụ lục 2
PHÁP ĐỀU TRA VÀ TỔNG HỢP KẾT QUẢ ĐIỀU TRA XÃ HỘI HỌC
1. Mục đích điều tra xã hội học
- Nắm bắt thực trạng du lịch và QLNN về du lịch trên địa bàn thành phố Cần Thơ trong những năm qua.
- Nắm bắt các đề xuất, kiến nghị hoàn thiện QLNN về du lịch trên địa bàn thành phố Cần Thơ, cũng như phát triển thành phố Cần Thơ.
2. Phương pháp đều tra xã hội học
2.1. Đối tượng điều tra xã hội học
Phương pháp chọn mẫu: Hiện nay có rất nhiều cách chọn mẫu khác nhau như chọn mẫu ngẫu nhiên đơn giản lặp và không lặp, mẫu ngẫu nhiên hệ thống, phân tầng, mẫu theo cụm. Trong luận án này, tác giả tiến hành chọn mẫu ngẫu nhiên theo nhóm đối tượng du khách (quốc tế và trong nước) và các đối tượng khác (tổ chức, cá nhân kinh doanh du lịch; quan chức; chuyên gia du lịch; người dân địa phương tại các điểm du lịch và các đối tượng khác).
Du khách (quốc tế và trong nước) là người trực tiếp đi du lịch, cảm nhận về dịch vụ du lịch, sẽ có những nhận xét đánh giá về sự hài lòng/đáp ứng nhu cầu đối với thực trạng HĐDL và QLNN về du lịch ở Cần Thơ. Các nhóm đối tượng khác là những chủ thể tham gia vào HĐDL, chịu ảnh hưởng từ HĐDL, cũng như có những nghiên cứu về du lịch ở Cần Thơ. Vì vậy, luận án chọn những đối tượng này để tiến hành đánh giá thực trạng HĐDL và QLNN về du lịch trên địa bàn thành phố Cần Thơ.
Quy mô khảo sát
Phương pháp xác định cỡ mẫu
Có ba yếu tố chính ảnh hưởng đến việc quyết định số mẫu cần chọn: (1) độ biến động của dữ liệu, (2) độ tin cậy trong nghiên cứu, và (3) khoảng sai số cho phép. Căn cứ vào ba yếu tố này ta sẽ thiết lập công thức xác định cỡ mẫu dưới đây:
n p1pZ2
MOE2
/ 2
4-PL
(1) Độ biến động của dữ liệu (Variation): V = p (1- p)
Trong đó: p được định nghĩa là tỷ lệ xuất hiện của các phần tử trong đơn vị lấy mẫu đúng như mục tiêu chọn mẫu (0 p 1).
+ Nếu tổng thể điều tra ít biến động có nghĩa là các đơn vị mẫu đều đồng nhất với nhau, khi đó tỷ lệ xuất hiện p sẽ 1 và rõ ràng V 0.
+ Nếu tổng thể điều tra có sự biến động lớn có nghĩa là đa số đơn vị mẫu có sự khác biệt nhau đáng kể, khi đó tỷ lệ xuất hiện p sẽ rất nhỏ và tiến dần tới 0, khi đó V tiến dần tới 1.
Trong nghiên cứu Marketing rất hiếm khi có trường hợp tổng thể đồng nhất (hay có độ biến động nhỏ). Nếu gặp trường hợp tổng thể đồng nhất hoàn toàn thì chỉ cần chọn ra một mẫu duy nhất cũng đủ kết luận, suy rộng cho tổng thể. Từ đây ta suy ra qui luật thứ nhất trong chọn mẫu là: "nếu độ biến động của dữ liệu càng lớn thì số mẫu được chọn ra càng nhiều và ngược lại". Điều này có nghĩa là cỡ mẫu n tỷ lệ thuận với độ biến động của dữ liệu.
(2) Độ tin cậy trong nghiên cứu (confidence level)
Trong thực tế để tiết kiệm thời gian và chi phí ta thường sử dụng độ tin cậy ở các mức 90%, 95% hoặc 99%, trong đó phổ biến nhất là 95%. Nếu chúng ta mong muốn kết quả nghiên cứu có độ tin cậy càng lớn (đồng nghĩa với mong muốn tính chính xác của tài liệu nghiên cứu càng cao) thì cần phải chọn mẫu lớn để phân tích đánh giá. Điều này có nghĩa là cỡ mẫu n sẽ tỷ lệ thuận với độ tin cậy trong nghiên cứu để bảo đảm kết quả suy rộng chính xác hơn. Sau đây là kết quả tóm tắt giá trị tra bảng của Z.
0,5% | 1% | 2,5% | 5% | 10% | |
Z | 2,575 | 2,33 | 1,96 | 1,645 | 1,28 |
(3) Tỷ lệ sai số (margin of error: MOE)
Việc chọn mẫu từ tổng thể và dựa trên quan sát mẫu để suy rộng, ước lượng cho tổng thể, do vậy trong quá trình ước lượng đương nhiên sẽ có sai số hay còn được gọi là sai số trong ước lượng hoặc tỷ lệ sai số. Tỷ lệ này được ký
5-PL
hiệu là MOE. Các tỷ lệ sai số thông dụng thường là 1%, 2%, 5%, 10% hay 30% là tùy thuộc vào phạm vi nghiên cứu.
Nếu điều tra toàn bộ tổng thể thì MOE = 0 và ngược lại nếu ta chọn mẫu nhỏ thì thường xử lý quan sát mẫu với tỷ lệ sai số lớn. Điều này có nghĩa là cỡ mẫu n sẽ tỷ lệ nghịch với MOE.
Trong công thức trên ta thấy cỡ mẫu n sẽ phụ thuộc vào các thông số p, MOE và Z (Z là biến chuẩn tắc trong phân phối chuẩn, giá trị tra bảng của Z phụ thuộc vào độ tin cậy (hay sai lầm ) mà điều này hoàn toàn do nhà nghiên cứu quyết định trong quá trình xử lý thông tin mẫu để suy rộng cho tổng thể.
Trở lại ý nghĩa của hệ số p trong độ biến động của dữ liệu đã trình bày ở phần trước: V = p (1 - p) ta thấy:
+ Nếu tổng thể ít biến động thì V 0 hay p 1
+ Nếu tổng thể biến động lớn thì V max hay p 0
Vậy p nằm trong khoảng [0,1]. Câu hỏi đặt ra là thông thường thì p sẽ là bao nhiêu? Câu trả lời sẽ là chọn trường hợp dữ liệu biến động cao nhất (trường hợp bất lợi nhất xảy ra), nghĩa là p = 0,5:
Trong thực tế nhà nghiên cứu thường sử dụng độ tin cậy 95% (hay =5%
Z/2 = Z2,5% = 1,96), và sai số cho phép là 10%, vậy với giá trị p = 0,5 ta có cỡ mẫu n tối đa sẽ được xác định như sau: n = (1,96)2 (0,25)/ (0,1)2 = 96
Thông thường, các nghiên cứu trong thực tế nhà nghiên cứu mặc nhiên sử dụng cỡ mẫu bằng hoặc lớn hơn 100 mà không cần tính toán cỡ mẫu vì cỡ mẫu này đã thuộc mẫu lớn bảo đảm cho tính suy rộng.
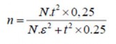
Ngoài ra, còn có công thức tính toán dung lượng mẫu như sau:

Trong đó:
N - kích thước của tổng thể n - dung lượng mẫu đại diện
6-PL
t - Độ tin cậy
- tính đại diện
Chọn cỡ mẫu cho ước lượng tỷ lệ với độ tin cậy là 99,7%, mức sai số là 10% tra bảng t = 3.
Tổng lượng khách du lịch có lưu trú đến Cần Thơ năm 2016 là 5,3 triệu lượt, thế vào công thức trên ta có:
n =
. . .( ) ,
. . .( , ) ( ) ,
= 225
Từ đó, cỡ mẫu đối tượng khảo sát được xác định gồm: (i) nhóm đối tượng du khách, gồm 100 khách quốc tế và 200 khách trong nước; (ii) nhóm đối tượng khác gồm 125 đối tượng là các doanh nghiệp, hộ kinh doanh du lịch trên địa bàn thành phố Cần Thơ; 125 đối tượng là các quan chức của thành phố Cần Thơ; 125 đối tượng là các chuyên gia du lịch Cần Thơ; 125 đối tượng là người dân địa phương ở các khu, điểm du lịch, nơi diễn ra hoạt động du lịch.
2.2. Các bước tiến hành điều tra xã hội học
Điều tra XHH được tiến hành như sau: lập kế hoạch điều tra, thiết kế phiếu hỏi, điều tra thử nghiệm và điều tra chính thức.
Lập kế hoạch đều tra
- Thời gian thực hiện: 15/5 - 30/6/2017,
- Phạm vi không gian khảo sát: trên địa bàn thành phố Cần Thơ.
- Gửi 210 phiếu khảo sát khách du lịch trong nước và 110 khách du lịch quốc tế tại các khu, điểm du lịch trọng điểm, các khách sạn, nhà hàng, quán ăn,…
- Gửi 125 phiếu khảo sát cho các đối tượng doanh nghiệp, hộ nông dân kinh doanh du lịch trên địa bàn thành phố.
- Gửi 125 phiếu khảo sát cho các đối tượng nhà nghiên cứu về du lịch Cần Thơ.
- Gửi 130 phiếu khảo sát cho các đối tượng quan chức ở Cần Thơ.
- Gửi 130 phiếu khảo sát cho người dân địa phương ở các khu điểm du lịch và các đối tượng khác.
7-PL
Thiết kế mẫu phiếu khảo sát: Sử dụng 2 mẫu phiếu cho 2 nhóm đối tượng khảo sát. Các mẫu phiếu được thiết kế phù hợp với yêu cầu và mục đích nghiên cứu. Các câu hỏi được trình bày sao cho rõ ý, dễ hiểu, phù hợp với đối tượng được hỏi. Nội dung phiếu đã xin ý kiến của người hướng dẫn khoa học.
Các câu hỏi nêu trong các mẫu phiếu bao gồm:
Nhóm câu hỏi có mục đích nắm bắt thông tin cá nhân của đối tượng được điều tra, khảo sát (giới tính, tuổi, thu nhập, trình độ đào tạo, nghề nghiệp). Để tạo độ tin cậy, thuyết phục sự hợp tác của các đối tượng khảo sát, tác giả cam kết bảo mật thông tin và quan điểm trả lời của người được hỏi;
Nhóm câu hỏi chính phục vụ trực tiếp cho mục đích nghiên cứu hầu hết được thiết kế ở dạng câu hỏi đóng;
Nhóm câu hỏi được thiết kế mở để tham khảo ý kiến, sáng kiến của các đối tượng khảo sát cho việc đề xuất các giải pháp hoàn thiện quản lý nhà nước về du lịch trên địa bàn thành phố Cần Thơ phù hợp với điều kiện của Cần Thơ và đáp ứng xu hướng nhu cầu thực tế.
Giai đoạn điều tra thử nghiệm: Sau khi xây dựng phiếu hỏi, tiến hành điều tra thử nghiệm để đánh giá độ tin cậy, độ hiệu lực của bảng hỏi.
Giai đoạn điều tra chính thức: Sau khi điều tra thử nghiệm để hoàn thiện phiếu hỏi, đánh giá các câu hỏi đúng nội dung cần khảo sát thì tiến hành điều tra chính thức.
3. Phương pháp xử lý và phân tích số liệu
Các phiếu sau khi thu được sẽ được làm sạch phiếu.
Các phiếu sau khi làm sạch được nhập liệu bằng phần mềm Epidata để từ đó sử dụng phân tích số liệu.
Phân tích số liệu bằng phần mềm SPSS: sau khi làm sạch dữ liệu, tiến hành phân tích số liệu thu thập được bằng các phép tính thống kê mô tả và suy diễn như tính tỷ lệ phần trăm, tần số xuất hiện. Đánh giá độ tin cậy và độ hiệu lực của công cụ đo lường, sử dụng hệ số tin cậy Cronbach Alpha để kiểm định mức độ chặt chẽ mà các mục hỏi trong thang đo tương quan với nhau; Phân tích nhân tố khám phá
8-PL






