sử dụng nhỏ hơn. Phương pháp này cho phép loại bỏ chất ô nhiễm hữu cơ và sinh vật gây bệnh và thông thường không có mùi được tạo ra trong quá trình. Ngoài ra, Hydrochar từ quá trình xử lý thủy nhiệt hoàn toàn có thể được sử dụng như một chất cải tạo đất hay vật liệu lưu trữ carbon nhằm hạn chế lượng khí thải CO2 và góp phần giảm thiểu khí thải nhà kính.

Hình 1.11. Biểu đồ Van Krevelen [39] (chuyển ngữ bởi tác giả).
Ngoài ra, Titirici và các cộng sự đã báo cáo việc chuyển đổi sinh khối phức tạp có nguồn từ chất thải dưới điều kiện (200oC trong 16 giờ), để tạo thành Hydrochar có đặc tính hóa học tương tự như than bùn hoặc than non, tùy thuộc vào điều kiện thời gian và nhiệt độ [38]. Tương tự, Berge và các cộng sự đã báo cáo chuyển đổi chất thải rắn đô thị tạo thành Hydrochar và tính khả thi trong ứng dụng ở quy mô lớn hơn [40]. Điều này cho thấy carbon hóa thủy nhiệt là một kỹ thuật chuyển đổi sinh khối của chất thải đầy hứa hẹn với mục đích cuối cùng là chuyển
đổi sinh khối thải thành sản phẩm giá trị cao hơn. Quá trình carbon hóa thủy nhiệt cho chuyển đổi sinh khối thành vật liệu carbon có giá trị đã nhận được nhiều sự chú ý do tính đơn giản, Hydrochar thu được chứa nhiều nhóm chức oxy hóa cao (OFG – Oxygenated Functional Groups) [41]. Chi tiết về cơ chế hình thành Hydrochar của quá trình HTC được trình bày dưới đây.
1.2.2. Đặc tính và cơ chế sự hình thành Hydrochar
Có nhiều con đường được đề xuất để tạo thành Hydrochar từ nguồn sinh khối [42]. Dinjus và các cộng sự đề xuất sự hình thành Hydrochar từ các nguyên liệu dựa trên cơ sở lignin thông qua chuyển đổi sinh khối rắn trực tiếp. Trong khi đó, Sevilla và cộng sự đề xuất sự hình thành của Hydrochar từ các chất carbohydrate/ cellulose thông qua quá trình trùng hợp hoặc ngưng tụ các monome hòa tan được tạo ra từ sự
phân hủy sinh khối [43]. Sự hình thành của Hydrochar thu được từ sinh khối thô và từ các thành phần riêng lẻ cụ thể:
1.2.2.1. Chuyển hóa các carbohydrate thành Hydrochar
Sevilla và các cộng sự đã khảo sát sự hình thành các hạt Hydrochar có nguồn gốc từ đường và tinh bột [44]. Đường sucrose trong quá trình thủy phân hình thành glucose và fructose, trong khi tinh bột tạo thành maltose (oligosaccharide), glucose và fructose (từ sự đồng phân hóa của glucose) [45]. Ở cùng một thời gian, sự phân hủy glucose và fructose hình thành các acid hữu cơ (ví dụ: acid acetic, lactic, propenoic, levulinic và formic) [46]. Sự giảm pH là yếu tố xúc tác cho quá trình thủy phân [46] của các oligosaccharide thành các monosaccharide do sự phân ly của các acid hữu cơ, monosaccharide vừa được tạo ra tiếp tục bị khử nước và phân cắt (mở vòng và bẻ gẫy liên kết C–C) tạo ra các sản phẩm hòa tan. Mặt khác, glucose, fructose và các sản phẩm phân hủy khác có trong dung dịch trải qua quá trình khử nước nội phân tử (phương trình 1.1) và ngưng tụ aldol (phương trình 1.2) dẫn đến sự polymer hóa.
Có thể bạn quan tâm!
-
Nghiên cứu than hóa phụ phẩm nông nghiệp vỏ hạt cà phê, lõi bắp bằng phương pháp carbon hóa thủy nhiệt, ứng dụng làm vật liệu hấp phụ và xúc tác - 2 -
Nghiên cứu than hóa phụ phẩm nông nghiệp vỏ hạt cà phê, lõi bắp bằng phương pháp carbon hóa thủy nhiệt, ứng dụng làm vật liệu hấp phụ và xúc tác - 3 -
Nghiên cứu than hóa phụ phẩm nông nghiệp vỏ hạt cà phê, lõi bắp bằng phương pháp carbon hóa thủy nhiệt, ứng dụng làm vật liệu hấp phụ và xúc tác - 4 -
Nghiên cứu than hóa phụ phẩm nông nghiệp vỏ hạt cà phê, lõi bắp bằng phương pháp carbon hóa thủy nhiệt, ứng dụng làm vật liệu hấp phụ và xúc tác - 6 -
Nghiên cứu than hóa phụ phẩm nông nghiệp vỏ hạt cà phê, lõi bắp bằng phương pháp carbon hóa thủy nhiệt, ứng dụng làm vật liệu hấp phụ và xúc tác - 7 -
Nghiên cứu than hóa phụ phẩm nông nghiệp vỏ hạt cà phê, lõi bắp bằng phương pháp carbon hóa thủy nhiệt, ứng dụng làm vật liệu hấp phụ và xúc tác - 8
Xem toàn bộ 180 trang tài liệu này.


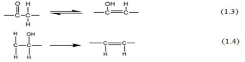
Các polymer đó trải qua quá trình thơm hóa, hình thành các nhóm C=O thực chất đó là quá trình khử nước của các nhóm hydroxyl [47]. Sự xuất hiện của các nhóm C=C chủ yếu là do tính lưỡng cực của ketoenol (phương trình 1.3) kết quả các tiểu phân bị khử nước, hoặc khử mất nước trong nội phân tử (phương trình 1.4).

Cuối cùng, sự hình thành các cụm thơm diễn ra thông qua sự khử nước nội phân tử của các hợp chất thơm (phương trình 1.5).
.
Sevilla và các cộng sự đề xuất cơ chế hình thành Hydrochar và OFG dựa trên mô hình tạo nhân được mô tả bởi LaMer [48], đề xuất các cụm thơm khi đạt đến độ quá bão hòa trong dung dịch nước, kết quả là mầm nhân được tạo ra [49]. Các hạt nhân được hình thành phát triển bởi sự khuếch tán và các sản phẩm phân hủy khác có mặt trong dung dịch chứa OFG được liên kết với hạt nhân thông qua hiện diện OFG trên bề mặt của hạt nhân. Như thể hiện trong Hình 1.12, liên kết này dẫn đến các nhóm oxy ổn định (ether hoặc quinone). Do đó, khi quá trình tăng trưởng dừng lại, bề mặt bên ngoài các hạt Hydrochar chứa nhiều nhóm oxy hoạt tính cao, trong khi trong lõi Hydrochar thì chứa các nhóm oxy ổn định ví như các nhóm ether, quinone và pyrone [49].

Hình 1.12. Hạt Hydrochar với lõi kỵ nước và vỏ ưa nước [44] (chuyển ngữ bởi tác giả).
1.2.2.2. Chuyển hóa cellulose thành Hydrochar
Tương tự như carbohydrate, khi carbon hóa thủy nhiệt cellulose, các chuỗi cellulose thủy phân, làm tăng các oligomer khác nhau (cellobiose, cellohexaose, cellopentaose, cellotetraose và cellotriose) và glucose [49]. Những oligomer này trải qua các phản ứng phức tạp để tạo ra các polymer và Hydrochar khi chúng thay đổi độ bão hòa. Hình 1.13 cho thấy Hydrochar có nguồn gốc cellulose và các thành phần của Hydrochar, nội dung chi tiết có thể được tìm thấy trong nghiên cứu sâu hơn Sevilla và các cộng sự [49].

Hình 1.13. Các hạt Hydrochar từ cellulose với lõi kỵ nước và vỏ ưa nước [49] (chuyển ngữ bởi tác giả).

Hình 1.14. Phổ FTIR cho cellulose nguyên chất (a), cellulose được xử lý thủy nhiệt ở 210oC / 40 g/L (b), 220oC / 40 g/L (c), 250oC / 40 g/L (CE–3) (d) và
250oC / 320 g/L (CE–6) (e) [49].
Sevilla và các cộng sự [49] đã chứng minh phổ FTIR của mẫu Hydrochar (Hình 1.14) được chuyển đổi ở điều kiện nhiệt độ sau 210oC có sự xuất hiện của các đỉnh tương ứng với OFG rõ ràng. Các OFG hiện diện trong Hydrochar làm cho Hydrochar trở thành một tiền chất phù hợp cho sự tổng hợp than hoạt tính thông
qua hoạt hóa hóa học. Mặt khác, sự khác biệt cấu trúc của các tiền chất cũng đóng vai trò quan trọng trong việc tạo ra độ xốp. Carrott và các cộng sự [50] đã báo cáo các tiền chất carbon tinh thể sẽ cho độ xốp kém hơn so với các dạng carbon vô định hình khác. Theo Sevilla và cộng sự báo cáo các giản đồ XRD của cellulose thô (Hình 1.15) quan sát thấy các đỉnh nhọn và cao hơn của Hydrochar, chứng tỏ có độ kết tinh cao hơn. Điều này cho thấy Hydrochar là tiền chất đầy hứa hẹn cho độ xốp cao hơn các nguyên tử carbon khi được hoạt hóa.

Hình 1.15. Giản đồ nhiễu xạ XRD của các mẫu: (a) cellulose nguyên chất và cho các mẫu được xử lý thủy nhiệt ở (b) 210oC và (c) 220oC [49].
1.2.2.3. Chuyển hóa lignin thành Hydrochar
Một số nghiên cứu đã đề xuất cơ điều chế thành các hạt Hydrochar từ lignin [51], với nhiệt độ HTC điển hình được sử dụng, rất khó để thủy phân hoàn toàn lignin. Tuy nhiên, một phần của lignin bắt đầu thủy phân ở 200oC [52]. Như được mô tả bởi Dinjus và các cộng sự, than polyaromatic được sản xuất từ lignin không hòa tan qua pha rắn – rắn và lignin hòa tan qua quá trình trùng hợp để hình thành Hydrochar trong hình dạng các hạt nhỏ. Kang và cộng sự so sánh các sản phẩm Hydrochar với than đá nhiệt phân thu được bởi Lou và các cộng sự để chứng minh
các đề xuất trên cho việc chuyển đổi sinh khối dựa trên lignin [51]. Dựa trên các đặc tính kết cấu, họ đã suy luận ra rằng lignin hòa tan và các mảnh lignin không tan trong nước đã bị phân hủy thành phenol. Những phenol này sau đó được trải qua quá trình trùng hợp để tạo ra phenolic hydrochar có thể xuất hiện trên bề mặt của lignin không hòa tan hoặc polyaromatic hydrochar [51], Hình 1.16 miêu tả các con đường hình thành Hydrochar thu được từ lignin.
Hình 1.16. Cơ chế sự hình thành Hydrochar từ lignin [51] (chuyển ngữ bởi tác giả).
1.2.2.4. Chuyển hóa sinh khối thành Hydrochar
Do sinh khối bao gồm các chuỗi polymer khác nhau, cơ chế chuyển đổi Hydrochar là khá phức tạp. Cellulose và lignin được coi là thành phần chính của sinh khối điển hình; Hình 1.17 cho thấy sơ đồ khái quát đơn giản của việc chuyển đổi sinh khối sang Hydrochar. Sự biểu diễn này khá đơn giản và nó phải được giả định rằng cả hai con đường phản ứng có thể ảnh hưởng lẫn nhau. Tuy nhiên, có thể hiểu rằng một phần hàm lượng hemicellulose trong sinh khối trải qua quá trình thủy phân ở nhiệt độ thấp hơn và dẫn đến sự hình thành Hydrochar qua quá trình trùng hợp (phản ứng đồng nhất trong nước). Tương tự, Kang và các cộng sự quan sát thấy sự hình thành Hydrochar ở 225°C [51] khi quá trình carbon hóa trong nước chủ yếu
là do thủy phân hàm lượng hemicellulose [53]. Tương tự như vậy, Jain và các cộng sự đã báo cáo sự hình thành các OFG ở 200oC khi carbon hóa thủy nhiệt vỏ dừa [54]. Falco và cộng sự báo cáo sự hình thành Hydrochar từ rơm lúa mạch đen và cần nhiệt độ cao để phân hủy lignin [42]. Lignin góp phần duy trì tính tự nhiên cấu trúc vĩ mô của sinh khối ban đầu tới các sản phẩm carbon thủy nhiệt cuối cùng [42]. Lignin gây trở ngại cho sự thủy phân của cellulose và hemicellulose và làm chậm việc giải phóng các sản phẩm phân hủy được hình thành từ các polysaccharide [49,
55]. Hydrochar được hình thành từ polysaccharide và lignin góp phần vào việc tổng lượng OFG trong Hydrochar thu được từ sinh khối. Đồng thời, hàm lượng OFG phụ thuộc vào loại vật liệu ban đầu và mức độ phản ứng được điều chỉnh bởi sự kết hợp của nhiệt độ, thời gian, nồng độ chất nền và chất xúc tác. Các tính chất của Hydrochar có thể được thay đổi bằng cách điều chỉnh các điều kiện thủy nhiệt như nhiệt độ, nồng độ chất nền, thời gian lưu và pH [45, 55].

Hình 1.17. Sơ đồ khái quát đơn giản hóa chuyển đổi sinh khối thành Hydrochar [53] (chuyển ngữ bởi tác giả).
1.2.2.5. Đặc tính của Hydrochar
Đặc tính Hydrochar thu được từ quá trình carbon hóa thủy nhiệt bao gồm các cấu trúc thơm và mang các OFG nồng độ cao [34, 49]. Sự hiện diện của OFG mang lại lợi thế cho Hydrochar thích hợp biến đổi làm vật liệu hấp phụ, xúc tác, tiền chất cho quá trình chế tạo than hoạt tính [56]. Hình 1.18 mô tả sự hình thành các nhóm chức oxy hóa bằng cách sử dụng carbon hóa thủy nhiệt.

Hình 1.18. Sự hình thành các nhóm chức chứa oxy bằng phương pháp HTC [57] (chuyển ngữ bởi tác giả).
Liu và cộng sự báo cáo sự hình thành OFG trong Hydrochar có nguồn gốc từ gỗ thông được tìm thấy cao hơn gần 340% so với than nhiệt phân và khi được sử dụng làm chất hấp phụ cho thấy sự hấp phụ của các ion đồng cao hơn 62% [34]. Sự hấp phụ cao hơn trên Hydrochar được cho là do hàm lượng OFG cao hơn than nhiệt phân mặc dù than nhiệt phân có độ xốp cao hơn Hydrochar. Điều này chứng tỏ, OFG đóng vai trò quan trọng trong quá trình hấp phụ các chất cation [34]. Gupta và các cộng sự cũng đã có nghiên cứu tương tự cho thấy tầm quan trọng của các nhóm chức
trên chất hấp phụ [58]. Do đó, Hydrochar là tiền chất đầy hứa hẹn để hoạt hóa tạo thành than sinh học hoạt hóa hoặc xúc tác chứa hàm lượng OFG cao là rất thuận lợi.
1.3. Tình hình nghiên cứu ứng dụng than sinh học làm vật liệu hấp phụ và xúc tác.
1.3.1. Tình hình nghiên cứu ứng dụng Hydrochar làm vật liệu hấp phụ
Hydrochar có rất nhiều ứng dụng quan trọng trong các lĩnh vực như nông nghiệp làm chất cải tạo đất [59], sản xuất năng lượng và làm vật liệu hấp phụ trong xử lý nước… [60]. Dưới đây là tổng hợp các nghiên cứu trong nước và ngoài nước về sử dụng Hydrochar được điều chế thông qua phương pháp carbon hóa thủy nhiệt để làm vật liệu hấp phụ.
Trong nước:
Ở Việt Nam theo sự tìm hiểu của nhóm tác giả đến thời điểm hiện tại thì chưa thấy công bố chính thức nào về chủ đề điều chế vật liệu hấp phụ và vật liệu xúc tác từ phế phẩm vỏ hạt cà phê/ lõi bắp bằng phương pháp HTC. Ngoại trừ một số nghiên cứu điều chế than hoạt tính như: Tác giả Vũ Thị Mai và các cộng sự [61] điều chế than sinh học hoạt hóa từ lõi bắp bằng phương pháp nhiệt phân ứng dụng xử lý amoni trong nước. Tác giả Vũ Thị Mai và các cộng sự [62] đã nghiên cứu khả năng xử lý amoni trong môi trường nước của than sinh học từ lõi ngô hoạt hóa với tác nhân hoạt hóa H3PO4 và NaOH bằng phương pháp nhiệt phân. Tác giả Nguyễn Thị Thanh Hải và cộng sự [63] đã nghiên cứu điều chế than hoạt tính hoạt hóa với các hợp chất chứa chloride bằng phương pháp nhiệt phân có nguồn gốc từ trà bắc, khảo sát đánh giá dung lượng hấp phụ hơi thủy ngân của than hoạt tính biến tính. Tác giả Lê Thị Cẩm Nhung và cộng sự [64] đã nghiên cứu điều chế biến tính than hoạt tính bằng dung dịch CuCl2 bằng phương pháp nhiệt phân để xử lý thủy ngân ở dạng hơi. Tác giả Nguyễn Thị Thanh Hải và cộng sự đã nghiên cứu điều chế than hoạt tính biến tính với KI bằng phương pháp nhiệt phân có nguồn gốc từ trà bắc, đánh giá đặc tính hấp phụ Hg (II) trong nước của than hoạt tính biến tính. Tác giả Trần Hồng Côn và cộng sự [65] đã nghiên cứu biến tính than hoạt tính với halogen bằng phương pháp nhiệt phân làm vật liệu hấp phụ hơi thủy ngân. Tác giả Nguyễn Thị Thanh Hải và cộng sự [66] đã điều chế than hoạt tính biến tính với CuCl2 bằng phương pháp nhiệt phân để loại bỏ ion thủy ngân trong dung dịch nước. Ngoài ra, tác giả Phan Q.M. Bình và cộng sự [67] bước đầu đánh giá tiềm năng sản xuất bio-






