Cắt xương cánh tay ở vị trí ngay sát phía trên của diện bám tận cơ Delta, đưa mẫu vật ra ngoài tiến hành phẫu tích lấy bỏ màng bám của túi hoạt địch dưới MCV để lộ ra phần gân CX.

Hình 2.2. Tách rời mẫu vật để phẫu tích
* Nguồn: Ảnh phẫu tích trong nghiên cứu
Đối với diện bám gân chóp xoay vào củ lớn
Tách dọc theo khoảng gian giữa các cơ CX để bộc lộ vị trí bám và điểm hội tụ của bờ trước các gân vào củ lớn xương cánh tay: Khoảng gian giữa gân cơ dưới vai và gân trên gai, khoảng gian giữa gân cơ trên gai và dưới gai, khoảng gian giữa gân cơ dưới gai và tròn bé.
Dùng bút dạ đánh dấu ranh giới giữa các gân theo hướng phẫu tích và bờ ngoài của diện bám vào xương cánh tay của từng gân, điểm hội tụ.

Hình 2.3. Phẫu tích dọc theo bờ gân
Có thể bạn quan tâm!
-
X-Quang Khớp Vai Tư Thế Trước Sau Trong Rách Lớn Cx Thấy Chỏm Xương Cánh Tay Ở Sát Ngay Mặt Dưới Xương Mcv. -
Hình (A) Trụ Neo Cột Đặt Ở Vị Trí Xa Cột Góc. Hình (B) Trụ Neo Cột Đặt Ở Vị Trí Gần Cột Góc 62. -
Kỹ Thuật Tạo Vi Tổn Thương Trong Liệu Pháp Tế Bào -
Các Loại Chỉ Neo Dùng Trong Nghiên Cứu. Từ Trái Qua Phải Chỉ Neo Corkscrew, Twinfix Ultra Ha Và Cuối Cùng Là Neo Toàn Chỉ Y-Knot Rc. -
Trình Tự Khâu Gân Theo Phương Pháp Mason-Allencải Biên -
Minh Hoạ Điểm Hội Tụ Cx Trên Ảnh Chụp Và Trên 3D
Xem toàn bộ 221 trang tài liệu này.
* Nguồn: Ảnh phẫu tích trong nghiên cứu
Rạch vị trí chính giữa trên bề mặt của từng gân CX, theo hướng song song với hướng trục của các sợi gân đến vị trí bám vào củ lớn, đánh dấu vị trí bám bờ trong của gân CX vào xương cánh tay.
Chia nhỏ diện bám của gân với đường rạch tương tự đường rạch ở vị trí chính giữa của gân và lần lượt đi từ vị trí chính giữa đi về phía hai bờ của gân.
Cẩn thận dùng bút dầu đánh dấu vùng ranh giới vị trí bám bờ trong gân vào xương cánh tay.
Cắt bỏ gân tại vị trí diện bám tận của mỗi gân vào xương cánh tay.


Hình 2.4. (A) cắt bỏ thân gân tại vị trí diện bám. (B) Đánh dấu diện bám của từng gân CX và các mốc dùng để tham chiếu
* Nguồn: Ảnh phẫu tích trong nghiên cứu
Đối với diện bám gân chóp xoay vào củ bé
- Tách dọc theo bờ trên và bờ dưới gân dưới vai để bộc lộ vị trí bám vào củ bé xương cánh tay.
- Dùng bút đánh dấu xung quanh diện bám của gân dưới vai.
- Cắt bỏ phần gân tại vị trí bám vào củ bé xương cánh tay.

Hình 2.5. Diện bám gân dưới vai sau khi cắt bỏ thân gân tại vị trí diện bám
* Nguồn: Ảnh phẫu tích trong nghiên cứu
Tìm, xác định và đánh dấu các mốc có thể được sử dụng tham chiếu dễ dàng trong quá trình mổ như: bờ sụn khớp, rãnh gian củ, bờ các gân CX.
b. Bước 2: Đo các chỉ số
Tất cả các tiêu bản đều được:
Dùng máy quét Go Scan 3D của hãng Creaform với độ chính xác 0,1mm quét tiêu bản tại 2 thời điểm:
- Sau khi phẫu tích lấy bỏ màng bám của túi hoạt dịch dưới MCV.
- Sau khi bộc lộ rõ diện bám gân CX.
Hình 2.6. Dụng cụ quét 3D và phần mềm xử lý chuyên dụng
Quy trình quét mẫu vật:
- Bước 1. Kết nối máy quét với máy tính và khai báo thông số đơn vị đo (KC, góc đo, độ phân giải) cho phần mềm VXelements.
- Bước 2. Hiệu chuẩn máy scan bằng cách quét bảng hiệu chuẩn kèm theo máy.
- Bước 3. Chuẩn bị mẫu vật cần quét và định vị quanh vật thể bằng các miếng dán định vị (target phản quang).

Hình 2.7. Minh hoạ định vị quanh vật thể bằng các miếng dán định vị
* Nguồn: Ảnh tiêu bản trong nghiên cứu
- Bước 4. Bấm máy quét để mô hình sáng bao trùm vật thể, di chuyển máy quét từ gần đến xa vật thể, sao cho thanh trạng thái trên phần mềm
báo màu xanh lá (tức đạt KC tối ưu), di chuyển quanh vật thể để phần mềm nhận dạng vật thể và tái tạo mô hình kỹ thuật số. Quá trình quét vật thể hoàn thành khi mô hình vật thể đã được phần mềm nhận dạng mô hình vật thể hoàn chỉnh.
Hình 2.8. Minh hoạ quét tiêu bản sau khi lấy bỏ màng bám của túi hoạt dịch
* Nguồn: Ảnh tiêu bản trong nghiên cứu
- Bước 5. Sau khi quét xong, lựa chọn và xóa phần bề mặt thừa không cần thiết bên ngoài vật thể cần quét.
- Bước 6. Lưu vật thể cần quét thành định dạng “.xrl” để có thể đo, vẽ hay cắt vật thể chính xác bằng phần mềm “Geomagic Design X”.
- Bước 7. Dùng các thanh công cụ trong phần mềm Geomagic Design X để định vị điểm và vẽ các đường trên bề mặt vật thể, đo các KC cần tính
toán trên mẫu vật
- Bước 8. Lưu lại file vật thể đã đo vẽ và ghi nhận số liệu
Do đặc điểm của kỹ thuật nội soi khâu theo phương pháp Mason-Allen cải biên và tạo vi tổn thương tại diện bám về bản chất là phương pháp khâu một hàng với vị trí đặt neo tương ứng với bờ ngoài của diện bám bởi vậy chúng tôi chủ yếu tập trung vào tính toán các KC bờ ngoài của diện bám gân chóp xoay với các mốc giải phẫu có thể áp dụng trên thực tế lâm sàng như bờ sụn khớp, bờ của rãnh gian củ, bờ các gân CX, điểm hội tụ CX.
Diện bám gân dưới vai vào củ bé:
- Xác định ranh giới và mô tả diện bám gân dưới vai
- Chiều dài bờ trong của diện bám (XZ): được xác định là chiều trên dưới theo quy ước giải phẫu, đo từ điểm giới hạn trên nhất đi theo bờ trong
diện bám đến điểm dưới nhất của diện bám.
- Chiều dài bờ trên của diện bám (XY): được xác định là chiều trong ngoài phía trên diện bám theo quy ước giải phẫu, đo từ điểm giới hạn
trên nhất phía trong đi theo bờ trên diện bám đến điểm phía trên nhất của bờ ngoài của diện bám.
- Chiều dài bờ ngoài của diện bám (YZ): được xác định là chiều trên dưới theo quy ước giải phẫu, đo từ điểm giới hạn trên nhất phía bờ ngoài diện
bám đi theo bờ ngoài diện bám đến điểm dưới nhất của diện bám.
- KC a: KC giữa điểm trên nhất bờ trong diện bám tận của gân tới bờ sụn khớp.
- KC b: KC giữa điểm ngoài nhất phía trên của bờ ngoài diện bám gân dưới vai đến bờ sụn khớp và vuông góc với bờ sụn.
- KC c: KC giữa điểm dưới nhất của diện bám gân tới bờ sụn khớp và vuông góc với bờ sụn.

Hình 2.9. Minh hoạ các mốc của diện bám gân dưới vai và KC đến bờ sụn khớp
* Nguồn: Ảnh phẫu tích trong nghiên cứu
Diện bám gân CX (trên gai, dưới gai, tròn bé) vào củ lớn xương cánh tay
- Diện bám gân trên gai:
BG: độ dài từ điểm ngoài nhất bờ trước diện bám gân trên gai đến điểm ngoài nhất bờ sau diện bám gân trên gai.
BA: KC từ điểm ngoài nhất của bờ trước diện bám gân trên gai đến bờ ngoài rãnh gian củ.
D1: KC từ điểm ngoài nhất của bờ trước diện bám gân trên gai đến bờ sụn khớp và vuông góc với bờ sụn khớp.
- Diện bám gân dưới gai:
D2: KC từ điểm ngoài nhất của bờ trước diện bám gân dưới gai đến bờ sụn khớp và vuông góc với bờ sụn khớp.
D3: KC từ điểm ngoài nhất của bờ sau diện bám gân dưới gai đến bờ sụn khớp và vuông góc với bờ sụn khớp.
GK: độ dài từ điểm giao nhau của bờ ngoài diện bám gân trên gai và dưới gai đến điểm ngoài nhất của bờ sau diện bám cơ dưới gai.
- Đo diện bám cơ tròn bé:
D4: KC từ điểm ngoài nhất của bờ sau diện bám gân dưới gai (Z) đến bờ sụn khớp và vuông góc với bờ sụn khớp.
ZK: Độ dài từ điểm bờ sau ngoài của gân tròn bé đến đến điểm bờ trước ngoài gân tròn bé.


Hình 2.10. Minh hoạ cách đo các mốc cần xác định diện bám gân chóp xoay vào củ lớn
* Nguồn: Ảnh phẫu tích trong nghiên cứu
c. Bước 3: Xử lý số liệu
Tính giá trị trung bình của từng chỉ số, mô tả giải diện bám các cơ CX và liên quan với các mốc giải phẫu như bờ sụn khớp, bờ của rãnh gian củ, điểm hội tụ chóp xoay.
2.2. NGHIÊN CỨU LÂM SÀNG.
2.2.1. Địa điểm nghiên cứu
- Bệnh viện Đại học Y Hà Nội và bệnh viện đa khoa Xanh Pôn
2.2.2. Đối tượng nghiên cứu
- Nghiên cứu các BN được chẩn đoán là RCX được điều trị phẫu thuật khâu gân CX với kỹ thuật khâu gân Mason-Allen cải biên dùng trong nội soi và tạo vi tổn thương tại diện bám tại Bệnh viện ĐHY Hà Nội và bệnh viện đa khoa Xanh Pôn trong khoảng thời gian từ 02/2019 - 03/2020.
2.2.2.1. Tiêu chuẩn lựa chọn
- BN được chẩn đoán xác định RCX trên lâm sàng và cộng hưởng từ:
Khám lâm sàng có một trong số các nghiệm pháp chẩn đoán RCX dương tính: nghiệm pháp Jobe, nghiệm pháp Patte, nghiệm pháp ép bụng, nghiệm pháp Gerber, nghiệm pháp Napoleon, nghiệm pháp cánh tay rơi.
Hình ảnh: Cộng hưởng từ có hình ảnh rách hoàn toàn gân CX hoặc rách lớn hơn 50% bề dày gân.
- BN đau hoặc yếu vai từ lâu đã được điều trị bằng thuốc kháng viêm giảm đau nonsteroide hoặc corticoide, thuốc giảm đau đơn thuần, thuốc giãn cơ, tập vật lí trị liệu trong vòng 3-6 tháng không cải thiện. Hoặc các BN rách hoàn toàn CX do chấn thương mà trước đó chức năng khớp vai bình thường57,107.
- Hình ảnh nội soi thực tế trong quá trình phẫu thuật có RCX và có chỉ định khâu RCX qua nội soi.
- Bệnh nhân đồng ý tham gia nghiên cứu
2.2.2.2. Tiêu chuẩn loại trừ
- Những BN nào có chống chỉ định phẫu thuật vì bệnh lý nội khoa hoặc không thể gây mê nội khí quản.
- Các BN có RCX có kèm theo trật khớp vai tái hồi cũng sẽ bị loại trừ ra khỏi nhóm nghiên cứu.
- BN không được theo dõi sau phẫu thuật tối thiểu 3 tháng.
- Không có đầy đủ hồ sơ bệnh án nghiên cứu.
- BN không đồng ý tham gia nghiên cứu.
2.3. PHƯƠNG PHÁP NGHIÊN CỨU
2.3.1. Thiết kế nghiên cứu
- Trong thời gian nghiên cứu: Nghiên cứu tiến cứu can thiệp lâm sàng theo dõi dọc.
Khám, chẩn đoán BN trước phẫu thuật theo protocol, bệnh án nghiên cứu.
Tham gia phẫu thuật và phụ phẫu thuật.
Theo dõi BN tại các thời điểm sau mổ 1 tháng, 3 tháng, 6 tháng, 12 tháng và đặc biệt ở lần cuối cùng trước khi kết thúc nghiên cứu .
- Thu thập hồ sơ tại BV Đại Học Y Hà Nội và BV Xanh Pôn trong khoảng thời gian nghiên cứu, điền thông tin theo bệnh án nghiên cứu.
- Liên lạc BN, khám lại theo hẹn.
2.3.2. Phương pháp chọn mẫu và tính cỡ mẫu
Phương pháp chọn mẫu: Chọn mẫu thuận tiện. Tất cả BN có các tiêu chuẩn như đã nêu được xếp vào nhóm nghiên cứu.
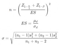
Tính cỡ mẫu:
Áp dụng công thức tính cỡ mẫu:

Trong đó:
α: Mức ý nghĩa thống kê, là xác suất sai lầm loại I, trong nghiên cứu của chúng tôi lấy hệ số tin cậy 95% Z1-α/2=1,96






