ghi được những hình ảnh đầu tiên trên người. Chụp cộng hưởng từ hiện nay là phương pháp rất tốt cho chẩn đoán thoát đĩa đệm CSTLC vì cho hình ảnh trực tiếp đĩa đệm cũng như rễ thần kinh và tổ chức xung quanh. Năm 2011, Nguyễn Văn Thạch đã nghiên cứu thực trạng, các yếu tố nguy cơ và các phương pháp điều trị thoát vị đĩa đệm cột sống tại Việt Nam; đây là đề tài cấp nhà nước đánh giá toàn diện thực trạng của thoát vị đĩa đệm trong đó có thoát vị đĩa đệm thắt lưng cùng ở Việt Nam. Tác giả đưa ra cái nhìn tổng quát về: tỷ lệ mắc, triệu chứng, dấu hiệu hay gặp khi biểu hiện thoát vị đĩa đệm CSTLC. Dấu hiệu thăm khám, vị trí thoát vị đĩa đệm hay gặp, tính chất tổn thương,… Hình ảnh học: CHT cột sống thắt lưng cùng, đánh giá vị trí hay gặp thoát vị đĩa đệm CSTLC. Tuy vậy, nghiên cứu không thăm dò chức năng rễ thần kinh bị tổn thương… [7]. Năm 2010, Nguyễn Bảo Đông và Nhữ Đình Sơn, nghiên cứu biến đổi lâm sàng, một số chỉ số dẫn truyền thần kinh ở bệnh nhân thoát vị đĩa đệm cột sống thắt lưng trước và sau điều trị bảo tồn. Kết quả: tốc độ dẫn truyền sóng F của cả dây thần kinh chày và dây thần kinh mác đều giảm có ý nghĩa ở cả hai nhóm bệnh nhân thoát vị đĩa đệm L4 – L5, L5 – S1 và cả giai đoạn II và IIIa. Các chỉ số phản xạ H của dây thần kinh chày thay đổi có ý nghĩa ở giai đoạn IIIa. Các chỉ số sóng F, phản xạ H của dây thần kinh chày và dây thần kinh mác sau điều trị đều trở về mức gần như bình thường ở tất cả bệnh nhân có cải thiện lâm sàng, so với bên lành sự khác biệt không có ý nghĩa thống kê [57]. Hạn chế của nghiên cứu này là chưa nghiên cứu điện cơ kim có ảnh hưởng thế nào khi tổn thương dây thần kinh do thoát vị đĩa đệm, mới chỉ dừng lại khảo sát dẫn truyền
thần kinh.
Năm 2013, Phan Việt Nga đã nghiên cứu mối liên quan của chỉ số dẫn truyền thần kinh chi dưới với lâm sàng, hình ảnh cộng hưởng từ ở bệnh nhân thoát vị đĩa đệm cột sống thắt lưng. Nghiên cứu đã thực hiện khảo sát chỉ số dẫn truyền thần kinh của dây thần kinh chày, dây thần kinh mác, sóng F và
phản xạ H ở nhóm bệnh nhân thoát vị đĩa đệm cột sống thắt lưng cùng ở độ tuổi trung bình là 46,55 ± 9,64. Tác giả nhận thấy vị trí hay gặp thoát vị đĩa đệm trên CHT là L4 – L5 (43,3%), L5 – S1 chỉ chiếm 18,3%. Đánh giá chi tiết các chỉ số dẫn truyền của sóng F và phản xạ H. Từ đó, tác giả đã đưa ra kết luận: có mối liên quan giữa chỉ số dẫn truyền vận động dây thần kinh mác, sóng F của dây thần kinh mác với giai đoạn bệnh, mức độ hẹp ống sống và mức độ thoát vị đĩa đệm (p<0,05),... Phản xạ H của dây thần kinh mác cũng có mối liên quan với giai đoạn bệnh [8]. Nghiên cứu này tiến hành phân tích rất chi tiết về sóng F và phản xạ H ở bệnh nhân có hẹp ống sống, thoát vị đĩa đệm, tuy nhiên có hạn chế là cũng chưa khảo sát điện cơ kim ở vị trí rễ thần kinh bị tổn thương.
Năm 2013, Nguyễn Văn Chương, Nguyễn Minh Hiện và cộng sự đã thu thập số liệu của 10 năm (2004 – 2013) với 4084 bệnh nhân thoát vị đĩa đệm cột sống thắt lưng tại tại bộ môn - khoa nội thần kinh Bệnh viện 103. Đây là một công trình nghiên cứu công phu, trong khoảng thời gian gần 10 năm. Nghiên cứu thấy độ tuổi từ 20 – 49 chiếm tỷ lệ cao nhất (54,6%), tỷ lệ nam/ nữ là 2,03/1, có đến 40,9% không rõ yếu tố khởi phát bệnh. Đặc điểm đau lan theo rễ thần kinh hông to là 93,87%, cường độ đau là vừa và nặng (theo phân độ đau của thang điểm VAS) chiếm 67,4%. Thể thoát vị đĩa đệm ra sau là đa số (96,06%), vị trí trung tâm chiếm 34,84%, tầng đĩa đệm thoát vị L4 – L5 nhiều nhất (32,2%), thoát vị đĩa đệm đa tầng chiếm nhiều nhất (55,5%) [58]. Đây là một nghiên cứu rất công phu của tác giả Nguyễn Văn Chương và Nguyễn Minh Hiện với quy mô trên 4000 bệnh nhân thoát vị đĩa đệm cột sống thắt lưng trong 10 năm. Mặc dù vậy, nghiên cứu chưa khảo sát dẫn truyền thần kinh, cũng mới dừng ở việc đánh giá lâm sàng và hình ảnh đĩa đệm tổn thương.
Nguyễn Văn Chương và Nguyễn Minh Thu nghiên cứu so sánh một số thang điểm lâm sàng đánh giá mức độ nặng của bệnh lý thoát vị đĩa đệm cột sống thắt lưng cùng, đăng trên tạp chí y học Việt Nam (2013). Tác giả nghiên
cứu 183 bệnh nhân nhận thấy sự tương đồng khi đánh giá mức độ nặng của lâm sàng dựa vào một trong các thang điểm như Owestry, JOA, Quebec, ... Tác giả cũng đưa ra khuyến cáo nên sử dụng một trong những thang điểm này để đánh giá mức độ nặng của bệnh lý TVĐĐ CSTLC [59]. Như vậy, hướng của nghiên cứu là đánh giá vai trò ứng dụng của các thang điểm trên lâm sàng. Tuy nhiên, tác giả chưa nghiên cứu sâu về việc đánh giá chức năng thần kinh bị tổn thương thông qua các thang điểm này nên đây là một hạn chế. Do vậy, đây là một hướng mà đề tài chúng tôi muốn nghiên cứu sâu hơn.
Nguyễn Đình Khánh (2013) nghiên cứu 60 bệnh nhân thoát vị đĩa đệm cột sống thắt lưng có hội chứng thắt lưng hông một bên điều trị nội trú tại khoa Nội thần kinh Bệnh viện 103 từ tháng 12/2012 đến 6/2013. Tác giả nhận thấy, có mối liên quan giữa chỉ số dẫn truyền vận động dây thần kinh mác, sóng F của dây mác và phản xạ H với giai đoạn bệnh, sự khác biệt có ý nghĩa thống kê p<0,05. Ở bệnh nhân thoát vị đĩa đệm L4 – L5 các chỉ số dẫn truyền vận động dây thần kinh mác, thời gian tiềm, tần số sóng F dây thần kinh mác và tần số sóng F dây thần kinh chày bên bệnh khác biệt so với bên lành (p<0,05). Ở bệnh nhân thoát vị đĩa đệm L5 – S1 thời gian tiềm sóng F, tần số sóng F dây thần kinh chầy, tần số sóng F của dây thần kinh mác và thời gian tiềm phản xạ H, biên độ phản xạ H bên bệnh khác biệt so với bên lành (p<0,05) [60]. Nghiên cứu này cũng có hạn chế là không sử dụng điện cơ kim để khảo sát tổn thương rễ thần kinh do thoát vị đĩa đệm.
Năm 2015, Nguyễn Đức Thành và Ngô Tiến Tuấn, nghiên cứu đặc điểm lâm sàng, hình ảnh cộng hưởng từ và một số chỉ số dẫn truyền thần kinh ở bệnh nhân thoát vị đĩa đệm cột sống thắt lưng trên 80 bệnh nhân điều trị nội trú tại bệnh viện Trung ương quân đội 108 từ tháng 12 năm 2014 đến tháng 03 năm 2015. Tác giả nhận thấy có mối liên quan dẫn truyền thần kinh (dây thần kinh mác và dây thần kinh chày) với lâm sàng của bệnh nhân thoát vị đĩa đệm cột
sống thắt lưng và sự khác biệt này có ý nghĩa thống kê (p<0,05) [61]. Trong nghiên cứu này cũng có hạn chế là tác giả cũng không sử dụng điện cơ kim để khảo sát tổn thương rễ thần kinh ở giai đoạn sớm của thoát vị đĩa đệm.
Tác giả An Thành Phú, Nguyễn Văn Thông (2017) đã nghiên cứu đặc điểm lâm sàng, hình ảnh cộng hưởng từ thoát vị đĩa đệm cột sống thắt lưng theo phân loại Hội điện quang Hoa Kỳ ở 117 bệnh nhân điều trị nội trú tại bệnh viện Trung ương quân đội 108. Tác giả nhận thấy hội chứng cột sống thắt lưng chiếm 89,7 – 96,6%, hội chứng rễ thần kinh thắt lưng cùng chiếm 75,2 – 98,3% ở nhóm bệnh nhân nghiên cứu. Vị trí thoát vị đĩa đệm ở L4 – L5, L5 – S1 chiếm tỷ lệ cao (80,8%), ... [62]. Nghiên cứu này tác giả nghiên cứu chủ yếu về vị trí đĩa đệm bị tổn thương trên CHT; bởi vậy, tác giả nghiên cứu về hình ảnh ảnh tổn thương rễ thần kinh, tác giả không có mục tiêu nghiên cứu về chức năng tổn thương rễ thần kinh.
Như vậy ở trong nước, những nghiên cứu tổn thương chức năng rễ, dây thần kinh do thoát vị đĩa đệm cột sống thắt lưng cùng cũng được quan tâm và có nhiều công trình nghiên cứu về vấn đề này. Tuy nhiên những nghiên cứu này chưa đầy đủ: chủ yếu đánh giá hình ảnh học và dẫn truyền thần kinh ở vị trí đó; còn đánh giá về chức năng thần kinh bằng khảo sát điện cơ kim chưa được thực hiện. Đây cũng chính là lý do chúng tôi thực hiện nghiên cứu đề tài này.
CHƯƠNG 2
ĐỐI TƯỢNG VÀ PHƯƠNG PHÁP NGHIÊN CỨU
2.1. Đối tượng nghiên cứu
Tất cả bệnh nhân chẩn đoán là thoát vị đĩa đệm cột sống thắt lưng cùng điều trị nội trú tại Bệnh viện Hữu Nghị Việt Tiệp từ tháng 01/2017 đến 11/2019. Đủ điều kiện tham gia nghiên cứu.
2.1.1. Tiêu chuẩn chọn bệnh nhân
Theo tiêu chuẩn của Hiệp hội cột sống Bắc Mỹ (2012) [33]. Bệnh nhân được chẩn đoán là thoát vị đĩa đệm khi có tiêu chuẩn:
* Về lâm sàng:
- Rối loạn cảm giác theo rễ thần kinh chi phối.
- Dấu hiệu Lasègue dương tính.
- Dấu hiệu chuông bấm dương tính.
- Giảm sức cơ do các rễ thần kinh bị tổn thương chi phối.
* Về cận lâm sàng:
Bệnh nhân được chẩn đoán xác định bằng chụp cộng hưởng từ cột sống thắt lưng cùng. Tiêu chuẩn chẩn đoán thoát vị đĩa đệm cột sống thắt lưng cùng trên phim cộng hưởng từ gồm:
- Hẹp chiều cao khoang gian đốt.
- Giảm tín hiệu đĩa đệm trên xung T2W.
- Nhân nhầy đĩa đệm di lệch khỏi vị trí bình thường: ra phía sau hoặc lệch bên,…
Bệnh nhân được làm chẩn đoán điện, gồm:
- Đo dẫn truyền thần kinh: khảo sát vận động dây thần kinh mác sâu, chày; khảo sát cảm giác dây thần kinh mác nông, thần kinh bắp chân; sóng F và phản xạ H.
- Điện cơ sử dụng điện cực kim (điện cơ đồ) các cơ: cơ cạnh sống, cơ tứ đầu đùi, cơ khép, cơ chày trước, cơ chày sau và cơ bụng chân trong, ...
2.1.2. Tiêu chuẩn loại trừ bệnh nhân
- Bệnh nhân thoát vị đĩa đệm cột sống thắt lưng cùng có tiền sử hoặc đang mắc các bệnh lý thần kinh ảnh hưởng đến dẫn truyền thần kinh như: đái tháo đường, viêm đa dây thần kinh, nghiện rượu, ngộ độc cấp hoặc mạn tính, xơ cột bên teo cơ, ...
- Bệnh nhân thoát vị đĩa đệm cột sống thắt lưng cùng có dùng thuốc ức chế thần kinh như: thuốc gây tê tại chỗ,... hoặc các thuốc có nguy cơ gây biến chứng viêm dây thần kinh như: Isoniazid, Metronidazon, ...
- Bệnh nhân không đồng ý tham gia nghiên cứu.
2.2. Phương pháp nghiên cứu
2.2.1. Thiết kế nghiên cứu
- Mô tả chùm ca bệnh.
* Thiết kế nghiên cứu cho mục tiêu thứ nhất: mô tả đặc điểm lâm sàng, chỉ số dẫn truyền thần kinh và điện cơ đồ ở bệnh nhân thoát vị đĩa đệm cột sống thắt lưng, cùng.
- Các đặc điểm dịch tễ học, đặc điểm lâm sàng (thời gian, hoàn cảnh, khởi phát, đặc điểm đau, vị trí, hướng lan, số lượng rễ thần kinh đau, tính chất rối loạn cảm giác, ...) và đặc điểm cận lâm sàng (vị trí, số tầng, thể thoát vị trên cộng hưởng từ, điện cơ đồ,...) được tính theo tỷ lệ và trung bình các biến số.
- Phân tích bằng kiểm định Fisher Exact ở trong đánh giá mức độ mất chức năng cột sống thắt lưng theo thang điểm Oswestry cho nhóm bệnh nhân nghiên cứu.
- Phân tích bằng kiểm định T-test về chỉ số dẫn truyền thần kinh trên toàn bộ mẫu nghiên cứu ở những dây thần kinh thường khảo sát trên lâm sàng giúp đánh giá sự khác nhau giữa hai bên để xem có sự khác biệt.
* Thiết kế nghiên cứu cho mục tiêu thứ hai: đánh giá sự phù hợp giữa chỉ số dẫn truyền thần kinh, điện cơ đồ và hình ảnh cộng hưởng từ ở bệnh nhân thoát vị đĩa đệm cột sống thắt lưng, cùng.
- Phân tích bằng kiểm định Mann – Whitney ở nhóm thoát vị đĩa đệm một bên trên cộng hưởng để đưa ra được nhận định vị trí rễ thần kinh bị tổn thương.
- Phân tích bằng kiểm định Chi bình phương để xem có sự khác nhau về chỉ số dẫn truyền thần kinh ở nhóm bệnh nhân thoát vị đĩa đệm một bên và ở nhóm bệnh nhân thoát vị đĩa đệm hai bên đều có biểu hiện hẹp ống sống.
- Phân tích độ nhạy và độ đặc hiệu giữa chẩn đoán điện và cộng hưởng từ trên từng vị trí rễ thần kinh bị tổn thương, có lấy mẫu chuẩn là nhóm bệnh nhân có sự phù hợp vị trí rễ thần kinh bị tổn thương trên lâm sàng và cộng hưởng từ làm mốc chuẩn để so sánh. Từ đó, cũng đưa ra được khuyến nghị vị trí khảo sát trong đánh giá tổn thương sớm thoát vị đĩa đệm cột sống thắt lưng cùng.
2.2.2. Kỹ thuật chọn mẫu và cỡ mẫu
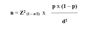
- Cỡ mẫu ước lượng: áp dụng công thức ước lượng một tỷ lệ:

Hình 2.1: Công thức tính cỡ mẫu cho nghiên cứu
Với α: xác suất sai lầm loại I, α = 0,05.
Z: trị số từ phân phối chuẩn, Z0,975 = 1,96.
d: độ chính xác, chọn d = 0,1.
p: tỉ lệ trường hợp chèn ép rễ thần kinh phát hiện bằng chẩn đoán điện (ghi điện cơ), từ nghiên cứu của tác giả Dumitru là 85,6%.
Thay vào công thức trên, tính được n = 47,35. Như vậy, cỡ mẫu tối thiểu của nghiên cứu này là 48 trường hợp (Hình 2.1) [63].
- Cỡ mẫu thực tế: lấy toàn bộ mẫu trong thời gian nghiên cứu.
- Nghiên cứu chúng tôi đã thu nhận được 108 bệnh nhân thỏa mãn tất cả các điều kiện chọn mẫu trên.
2.2.3. Liệt kê và định nghĩa các biến số
- Các nhóm biến số trong nghiên cứu này gồm biến số của lâm sàng và cận lâm sàng (bảng 2.1) [64], [65].
Bảng 2.1: Định nghĩa, phân loại và giá trị các biến số trong nghiên cứu.
Định nghĩa | Loại biến | Giá trị/ Đơn vị | |
Tuổi | Tuổi của bệnh nhân | Định lượng | Năm tuổi |
Giới tính | Giới tính của bệnh nhân | Nhị giá | Nam, nữ |
Nghề nghiệp | Nghề nghiệp của bệnh nhân | Danh định | Lao động chân tay, trí óc |
Thời gian mắc bệnh | Thời gian tổn thương | Định lượng | Tháng |
Hoàn cảnh xuất hiện | Thời điểm xuất hiện tổn thương | Danh định | Tự nhiên, sau sang chấn. |
Cách khởi phát | Tính chất xuất hiện tổn thương | Danh định | Đột ngột, từ từ. |
Vị trí đau | Vị trí tổn thương | Danh định | Bên trái, bên phải, hai bên. |
Hướng lan của đau | Vị trí tổn thương | Danh định | Không, rễ thần kinh L1, L2, L3, L4, L5, S1. |
Tính chất đau | Đặc điểm đau | Danh định | Khi nghỉ, liên tục, vận động |
Mức độ đau | Theo tiêu chuẩn thang điểm đau VAS | Danh định | Không đau, đau nhẹ, vừa |
Có thể bạn quan tâm!
-
Đặc Điểm Lâm Sàng Theo Rễ Thần Kinh Bị Tổn Thương [20]. -
Sự Phân Bố Rễ Thần Kinh Bởi Nhóm Cơ Chính [39], [40]. -
Hình Ảnh Cách Xác Định Vị Trí Đĩa Đệm Bị Thoát Vị [45]. -
Bệnh Nhân Được Hỏi Bệnh Và Thăm Khám Lâm Sàng -
Hình Ảnh Cách Xác Định Thoát Vị Đĩa Đệm Thực Sự [45]. -
Các Thông Số Bình Thường Ghi Nhận Được Trong Khảo Sát Dẫn Truyền Vận Động, Cảm Giác, Sóng F, Phản Xạ H [29].
Xem toàn bộ 224 trang tài liệu này.


![Đặc Điểm Lâm Sàng Theo Rễ Thần Kinh Bị Tổn Thương [20].](https://tailieuthamkhao.com/uploads/2022/05/23/nghien-cuu-dac-diem-lam-sang-chan-doan-dien-va-cong-huong-tu-o-benh-4-120x90.jpg)
![Sự Phân Bố Rễ Thần Kinh Bởi Nhóm Cơ Chính [39], [40].](https://tailieuthamkhao.com/uploads/2022/05/23/nghien-cuu-dac-diem-lam-sang-chan-doan-dien-va-cong-huong-tu-o-benh-5-1-120x90.jpg)
![Hình Ảnh Cách Xác Định Vị Trí Đĩa Đệm Bị Thoát Vị [45].](https://tailieuthamkhao.com/uploads/2022/05/23/nghien-cuu-dac-diem-lam-sang-chan-doan-dien-va-cong-huong-tu-o-benh-6-1-120x90.jpg)

![Hình Ảnh Cách Xác Định Thoát Vị Đĩa Đệm Thực Sự [45].](https://tailieuthamkhao.com/uploads/2022/05/23/nghien-cuu-dac-diem-lam-sang-chan-doan-dien-va-cong-huong-tu-o-benh-9-1-120x90.jpg)
![Các Thông Số Bình Thường Ghi Nhận Được Trong Khảo Sát Dẫn Truyền Vận Động, Cảm Giác, Sóng F, Phản Xạ H [29].](https://tailieuthamkhao.com/uploads/2022/05/23/nghien-cuu-dac-diem-lam-sang-chan-doan-dien-va-cong-huong-tu-o-benh-10-1-120x90.jpg)