5. Kiểm định Hausman cho hàm chi phí biên

Phụ lục 5.2. Mô hình đo lường năng lực cạnh tranh – Chỉ số LERNER MH1
1. Kiểm định hồi quy OLS

2. Kiểm định VIF
Có thể bạn quan tâm!
-
Năng lực cạnh tranh và mức độ ổn định của các ngân hàng thương mại Việt Nam trong bối cảnh tham gia Hiệp định đối tác toàn diện và tiến bộ xuyên Thái Bình Dương - 28 -
Năng lực cạnh tranh và mức độ ổn định của các ngân hàng thương mại Việt Nam trong bối cảnh tham gia Hiệp định đối tác toàn diện và tiến bộ xuyên Thái Bình Dương - 29 -
Hồi Quy Tác Động Cố Đinh Cho Hàm Chi Phí Biên (Fem) -
Năng lực cạnh tranh và mức độ ổn định của các ngân hàng thương mại Việt Nam trong bối cảnh tham gia Hiệp định đối tác toàn diện và tiến bộ xuyên Thái Bình Dương - 32 -
Năng lực cạnh tranh và mức độ ổn định của các ngân hàng thương mại Việt Nam trong bối cảnh tham gia Hiệp định đối tác toàn diện và tiến bộ xuyên Thái Bình Dương - 33
Xem toàn bộ 267 trang tài liệu này.

3. Kiểm định hồi quy REM

4. Kiểm định hồi quy FEM

5. Kiểm định HAUSMAN

6. Kiểm định BREUSCH PAGAR

7. Kiểm định WOOLDRIDGE

8. Kiểm định hồi quy GLS

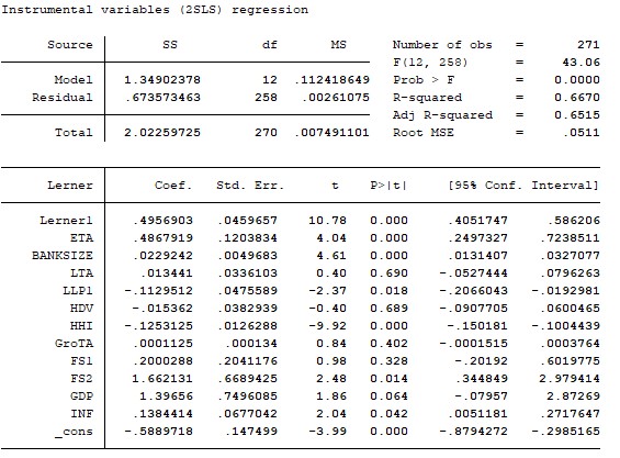
9. Kiểm định Durbin Wu-Hausman

10. Kiểm định hồi quy GMM






